Б. В. Кабельчук Министр природных ресурсов и охраны окружающей среды Ставропольского края, профессор Роль особо охраняемых природных территорий (ООПТ) в сохранении биологического разнообразия на Ставрополье
Аннотация: проведен анализ состояния биологического разнообразия на особо охраняемых природных территориях Ставропольского края. Установлена высокая степень репрезентативности биоты на ООПТ по сравнению с прилегающими к ним территориями.
Ключевые слова: особо охраняемые природные территории, Ставропольский край, биологическое разнообразие, памятники природы, заказники, природоохранная ценность территории, репрезентативнось.
Биологическое разнообразие – главный природный и генетический ресурс биосферы, обеспечивающий возможность ее устойчивого развития. Оно является непреходящей ценностью, имеющей ключевое экологическое, социальное, экономическое и эстетическое значение. Являясь потенциалом самоорганизации биосферы, биологическое разнообразие обеспечивает ее регенерацию, устойчивость к негативным природным и антропогенным воздействиям, ресурсом для компенсации потерь отдельных биотических компонентов (Тишков А.А., 2005).
Сохранение биоразнообразия является не просто новым направлением охраны природы, это – неотъемлемая составная часть концепции перехода человечества на принципы устойчивого развития.
Сохранение отдельного вида возможно лишь при условии охраны его среды обитания со всем комплексом входящих в нее видов, климатических, геофизических и других условий (Кондратьева А. А., 1995, 1999; Лысенко И.О., Шейкина Н.Н., 2009; Пелипенко Ю.Г., Лысенко И.О., 2012).
Поскольку способность экосистем к самовосстановлению обеспечивается отрицательными обратными связями во взаимоотношениях между эволюционно коадаптированными (то есть аборигенными) видами, заполняющими экологические ниши в пределах всей амплитуды условий, то наиболее важной задачей ООПТ следует признать поддержание естественного (нативного) биологического разнообразия.
Ставропольский край по своим климатическим и природным условиям и при минимальной лесистости обладает значительными ресурсами объектов растительного и животного мира.
В биотопах ландшафтных комплексов Ставропольского края можно встретить растительность почти всех природных зон, имеющихся на Европейской территории России – от полупустынных сухих степей до хвойных лесов и альпийских лугов. Флору края составляют более 2400 видов, (без учета мхов, водорослей и грибов).
По флористическому разнообразию край занимает второе место в Российской Федерации после Краснодарского края, и это ставит его в особое положение среди других аналогичных регионов, как одного из самых емких хранителей растительного генетического фонда.
Среди видов растений имеются кормовые, лекарственные, пищевые, декоративные, медоносные, витаминные и др., имеющие незаменимую ценность для выведения новых и улучшения старых сортов. Такое богатство объясняется многими причинами: южным расположением территории, особенностями рельефа, разнообразием геологических отложений и местного климата.
Большая часть территории края относится к степной зоне. Но значительное пространство бывших степей уже занято сельскохозяйственными культурами. Естественная растительность здесь сохранилась лишь по балкам, на крутых склонах, в местах с неглубоким залеганием каменистых пород, на пастбищах (в восточных районах края).
Степи края неоднородны. По мере продвижения в направлении с запада на восток увеличивается засушливость степей, травяной покров становится более разряженным. Северо-восточная и восточная части края заняты полынно-злаковой полупустынной степью. Травянистый покров здесь невысокий и редкий, местами видны участки обнаженной почвы. Для этой части характерно наличие пустынных растений Средней Азии.
К западу от полупустынных степей расположены дерново-злаковые степи. Больше половины территории края принадлежит к равнинно-злаковым степям, которые отличаются густым и высоким травостоем. Здесь появляются более влаголюбивые виды злаков и обильное разнотравье.
Высокие места Ставропольской возвышенности заняты лесостепью, где участки влаголюбивых луговых степей перемешиваются с массивами дубовых лесов.
Предгорная лесостепь схожа с лесостепью Ставропольской возвышенности и отличается от нее появлением других видов растений.
На высоте 1200–1500 м предгорные луговые степи переходят в субальпийские высокотравные луга, где отдельные растения достигают высоты 1–2 м. Еще выше располагаются альпийские луга, достигающие снеговой линии.
Площадь лесов Ставропольского края составляет 129,1 тыс. га, в том числе: лесной фонд – 114,1 тыс. га и леса, расположенные на землях городских поселений (городские леса) – 15,0 тыс. га.
Большая часть лесов сосредоточена в регионе Кавказских Минеральных Вод. Относительно крупные лесные массивы расположены на горе Стрижамент, Ставропольской возвышенности. В других частях края преобладают мелкие байрачные леса, растущие в балках, либо пойменные леса в речных долинах.
Причина разнообразия животного мира Ставропольского края – большое многообразие ландшафтов, позволяющих на относительно небольшой территории обитать животным с разными экологическими требованиями к условиям существования.
Наземные позвоночные в Ставропольском крае распределены по классам следующим образом: земноводные – 8 видов, пресмыкающиеся – 22 вида, птицы – 324 вида, млекопитающие – 89 видов. В крае гнездится 220 видов, а на зимовку остается 173 вида птиц. Большое количество птиц мигрирует через территорию Ставропольского края.
Интенсивный характер сельскохозяйственного производства, загрязнение окружающей природной среды, лесные пожары, сельскохозяйственные палы и другие причины оказывают существенное влияние на численность и видовое разнообразие объектов растительного и животного мира.
Одним из путей сохранения биоразнообразия является создание системы особо охраняемых природных территорий (ООПТ), позволяющей вести особый режим хозяйственного использования экосистем, направленный на сохранение природных сообществ (Амельченко В. П. и др., 2009).
На сегодняшний день на территории Ставропольского края существует 112 особо охраняемых природных территорий различного профиля, общая площадь которых составляет 107 тыс. гектаров или 1,6 % от общей площади края.
Созданные на территории Ставропольского края ООПТ служат резерватами с достаточным уровнем репрезентативности естественных ландшафтов и биологического разнообразия. Сохранение биологического разнообразия на ООПТ заключается в определении и изучении редких видов, оценке состояния популяций данных видов, а также разработке и внедрению рекомендаций по их охране.
Неопровержимым доказательством положительной роли ООПТ в сохранении биологического разнообразия, являются результаты сравнительной оценки видовой представленности и показателей численности каждого вида.
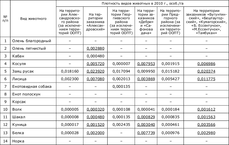
Например, при сравнении видового состава и численности охотничьих животных на всей территории Ставропольского края и непосредственно на ООПТ, становится очевидным, что показатели численности видов животных в заказниках превалируют над таковыми других территорий, табл. 1. Для достоверности информация представлена в относительных величинах. Результаты получены при сравнении показателей плотности видов в охотугодьях края и на территориях заказников.
По данным В.Д. Друп (2012) на территории заказника «Александровский» плотность всех приведенных животных стабильно выше, чем таковая в прилегающих угодьях Александровского района.
На территории заказника плотность (на 1 тыс. га) таких охотничьих видов, как заяц-русак (Lepus europaeus), серая куропатка (Perdix perdix), фазан в среднем выше в 1,5; 8 и 5 раз соответственно.
На наш взгляд, важным является не только определение роли ООПТ в сохранении биологического разнообразия. Необходимо учитывать и то, что само биологическое разнообразие обладает индикационными способностями, которые можно и необходимо использовать для оценки состояния экосистем ООПТ, их мониторинга.
При оценке значения ООПТ в сохранении каждого вида необходимо учитывать: сведения об обитании вида на ООПТ; соответствие местоположения и размера ООПТ, а также установленного для неё режима природопользования условиям сохранения вида; фактическое состояние ООПТ. Основными показателями слабой нарушенности зооценозов ООПТ является присутствие в них популяций охраняемых, редких или уязвимых видов (Лагунов А. В., Смагин А. И., 2007).
Несмотря на достаточно обнадеживающие данные, полученные при анализе состояния биологического разнообразия на ООПТ Ставропольского края, на наш взгляд существующая сеть ООПТ не в состоянии обеспечить долговременное сохранение природного разнообразия региона. В настоящее время особо остро стоит задача скорейшего завершения землеустройства существующих ООПТ и продолжения работ по подготовке материалов для создания новых ООПТ регионального значения на территориях, нуждающихся в срочном повышении их природоохранного статуса. Необходимо проектирование системы ООПТ, гарантирующей охрану основных центров биоразнообразия края, которая послужит основой для экологического каркаса. Помимо этого требуется принятие целого комплекса мер по охране живой природы на преобразованных, хозяйственно используемых территориях с целью предотвращения их дальнейшей деградации.
Таблица 1 – Сравнительная оценка плотности популяций животных, обитающих на территории муниципальных районов Ставропольского края и обитающих на территориях заказников, находящихся в пределах этих районов (анализ проведен по данным Министерства природных ресурсов и охраны окружающей среды CK на основании зимнего учета численности охотничьих животных на территории Ставропольского края (2010 г.)


Примечание: данные плотности популяций животных представлены из расчета отношения численности их популяций к площадям муниципальных районов и площадям заказников Ставропольского края. Подчеркнуты показатели плотности популяций тех видов животных, которые превосходят таковые на территориях заказников по сравнению с остальной площадью муниципальных районов Ставропольского края.
Указанные проблемы требуют комплексного решения, основанного на глубокой программной проработке всех вопросов.
Список использованных источников:
1. Амельченко В. П. Колесниченко Сохранение биоразнообразия редких видов растений в составе остепненных сообществ на особо охраняемых природных территориях Юга Тюменской области / В. П. Амельченко, Т. А. Рыбина, Л. И. Герасько, Л. Г. // Вестник Томского государственного педагогического университета, 2009, № 11. С. 132–139.
2. Друп В. Д. Сравнительный анализ биоразнообразия на территории ООПТ «Александровский» и прилегающих к нему охотничьих угодьях // Современные проблемы науки и образования. – 2012. – № 6; URL: www.science-education.ru/106-7500 (дата обращения: 04.02.2013).
3. Исаченко А.Г. Экологическая география России. – СПб.: Изд-во Петерб. ун-та, 2001. – 328 с.
4. Кондратьева А. А. Природно-экологический каркас степной зоны (на примере ландшафтов Ставропольского края): автореф. дис. … канд. геогр. наук. – Ростов-н/Д., 1999. – 18 с.
5. Кондратьева А. А. К разработке природного каркаса Ставрополья//Вестник СПГУ, № 2, 1995. – С. 27–30.
6. Лагунов А. В., Смагин А. И. Восточно-уральский государственный заповедник в системе особо охраняемых природных территорий Челябинской области // Вопросы радиационной безопасности. – 2007. – № S. – С. 45–67.
7. Лысенко И. О., Шейкина Н. Н. Особенности экологического каркаса г. Ставрополя и прилегающих территорий // Вестник Тамбовского ун-та. Серия: Естественные и технические науки. 2009. Т. 14. № 1. —С. 140–142.
6. Лысенко И. О., Емельянов А. В., Зеленская Т. Г. Разработка системы биотехнических мероприятий по содержанию и разведению пятнистого оленя (Сervus nippon) в заказнике “Стрижамент” Ставропольского края // Вестник АПК Ставрополья, 2012. № 1 (5). С. 100–102.
8. Пелипенко Ю. Г., Лысенко И. О. Научный подход в организации экологической тропы на основании расчета индекса си-нантропизации флоры заказника «Александровский» // Вестник АПК Ставрополья. 2012. № 4. – С. 107–110.
9. Тишков А. А. Биосферные функции природных экосистем России. М.: Наука, 2005, 309 с.
Более 800 000 книг и аудиокниг! 📚
Получи 2 месяца Литрес Подписки в подарок и наслаждайся неограниченным чтением
ПОЛУЧИТЬ ПОДАРОКДанный текст является ознакомительным фрагментом.