Химические свойства моносахаридов
По своей структуре моносахариды содержат два типа функциональных групп: спиртовые и альдегидные (кетонные), соответственно моносахариды вступают в реакции по этим группам. Моносахариды вступают во многие химические реакции, весьма важные для практического использования и исследования углеводов. Реакции, обсуждаемые в данном разделе, демонстрируют либо наиболее важные свойства углеводов, либо типы реакций, часто встречающиеся в их метаболизме.
Образование эфиров. Это реакция спиртовых групп образуются либо эфиры неорганических кислот, либо органические эфиры (простые со спиртами или галогенидами или сложные с ангидридами кислот). Наиболее активной является полуацетальная спиртовая группа, соответственно она чаще вступает в реакции с образованием эфиров. Эфиры фосфорной и уксусной кислот занимают уникальное место в биохимии и встречаются во многих углеводах и их производных.
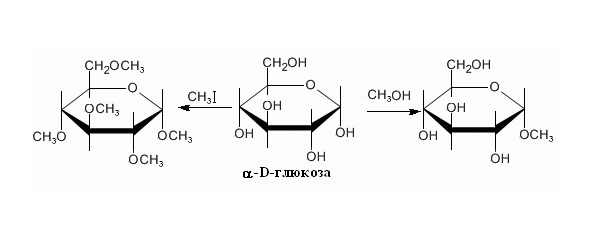
Алкилирование (Рисунок 7)

Рисунок 7. Алкилирование
При взаимодействии со спиртами в реакцию вступает только полуацетальная гидроксильная группа, так как спирты слабо активны, поэтому образуется эфир с полуацетальной гидроксильной группой. Галогениды более реакционно способны, поэтому образуют эфиры со всеми свободными группами моносахарида.
Ацилирование (Рисунок 8)

Рисунок 8. Ацилирование
В реакцию образования сложных эфиров вступают спиртовые и карбоксильные группы, но карбоновые кислоты мало реакционно способны поэтому не вступают в реакцию моносахаридами. В реакции ацилирования используют ангидриды карбоновых кислот, их высокая реакционная способность позволяет модифицировать все свободные гидроксильные группы.
Образование эфиров неорганических кислот (Рисунок 9)

Рисунок 9. Образование эфиров неорганических кислот
Неорганические кислоты бывают сильными и слабыми, это объясняет различия их взаимодействия с моносахаридами. Сильные кислоты, например серная, вступают в реакцию с полуацетальной гидроксильной группой, образуя эфир, слабые кислоты вступают в реакцию только после реакции ацилирования, но модифицируют только эфир образованный полуацетальной группой.
Дегидратация. В сильных минеральных кислотах высокой концентрации происходит дегидратация пентоз и гексоз (Рисунок 10). Образовавшиеся фурфурол и оксиметилфурфурол легко полимеризуются; при этом получается коричневая смола. Они также конденсируются с различными фенолами, образуя характерно окрашенные продукты; многие цветные реакции на углеводы основаны на этом свойстве.

Рисунок 10. Дегидратация
Перегруппировка в щелочной среде. В холодном разбавленном щелочном растворе глюкоза образует маннозу и фруктозу. Механизм реакции, возможно, включает енолизацию, которая сопровождается диссоциацией водорода от атома углерода, примыкающего к карбонильной группе. Так образуются эпимеры – глюкоза и манноза.
Окисление моносахаридов. Окисление моносахаридов, возможно, многими способами.
Мягкое окисление до альдоновых кислот. В горячих щелочных растворах моносахариды реагируют с некоторыми окисляющими агентами, такими, как Cu2+, Ag+ и Fe (CN) -, давая смесь продуктов окисления углевода и изменяя окраску окисляющего агента (Рисунок 11). В данных условиях окисляется альдегидная или кетонная группа. Эти окислительно-восстановительные реакции используются как тесты на восстанавливающие сахара, т. е. на углеводы с незамещенным аномерным альдегидным атомом углерода. D-Глюконовая кислота образуется в виде соли при взаимодействии D-глюкозы с гипоиодитами в щелочной среде. Эта реакция специфична для альдоз и используется для того, чтобы отличить их от кетоз.

Рисунок 11. Мягкое окисление моносахаридов до альдоновых кислот
Более жесткое окисление до альдуроновых кислот, реакция происходит при участии «средних» окислителей, например небольшие концентрации азотной кислоты (Рисунок 12). Данная реакция происходит и в природе, но при других условиях. В результате окисляется гидроксильная группа при последнем атоме углерода.

Рисунок 12. Окисление до альдуроновых кислот
Жесткое окисление до альдаровых кислот, реакция происходит в жестких условиях, например при больших концентрациях сильных кислот, например, азотной. В результате происходит окисление обеих групп – альдегидной и последней спиртовой, в результате образуется дикарбоновая кислота, или альдаровая (Рисунок 13).

Рисунок 13. Окисление до альдаровых кислот
Восстановление моносахаридов. Восстановлению могут подвергаться как альдегидная, так и спиртовые группы
Восстановление альдегидной группы. D-Глюкоза и L-сорбоза восстанавливаются газообразным водородом в присутствии подходящего металлического катализатора, образуя сорбит (Рисунок 14).

Рисунок 14. Восстановление альдегидной группы
Восстановление спиртовой группы. В клетке происходит переход рибозы в дезоксирибозу (Рисунок 15). Эта реакция происходит в природе, но при несколько иных условиях. Это один из основных способов синтеза дезоксисахаров.

Рисунок 15. Восстановление спиртовой групы
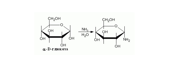
Образование аминосахаров. В природе также происходит синтез аминосахаров, но механизм и атакуемые группы отличаются, в искуственной системе в реакцию вступает полуацетальная группировка как наиболее реакционно способная (Рисунок 16).

Рисунок 16. Образование аминосахаров
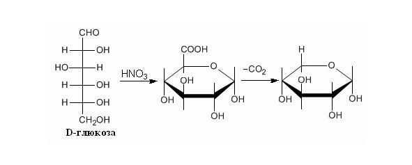
Укорочение цепи. Этот процесс связан с окислением в средних условиях. Карбоксильная группа в последнем положении нестабильна и легко отщепляется от молекулы, в результате углевод становится на один атом короче (Рисунок 17).

Рисунок 17. Укорочение цепи
Удлинение цепи. Это результат реакции с цианидом, затем происходит реакция с водой, в результате образуется кислота. Восстановление карбоксильной группы приводит к образованию моносахарида, но на один атом углерода длиннее (Рисунок 18).

Рисунок 18. Удлинение цепи
Гидролиз поли- и олигосахаридов. Реакция гидролиза это реакция расщепления полимера с участием молекулы воды. В случае гидролиза поли- и олигосахаридов атаке подвергается гликозидная связь. В результате реакции отщепляются мономерные остатки (моносахариды). Реакции гидролиза поли- и олигосахаридов с последующим анализом продуктов гидролиза используются для качественного и количественного определения состава полисахаридов.
Более 800 000 книг и аудиокниг! 📚
Получи 2 месяца Литрес Подписки в подарок и наслаждайся неограниченным чтением
ПОЛУЧИТЬ ПОДАРОКДанный текст является ознакомительным фрагментом.