2.3. Нормирование качества воды
Качество воды – это характеристика ее состава и свойств, определяющая ее пригодность для конкретных видов водопользова ния; при этом показатели качества представляют собой признаки, по которым производится оценка качества воды.
Для загрязняющих воду веществ установлено раздельное нор мирование качества воды. Принцип разделения здесь связан с приоритетным назначением водного объекта, т.е. с категориями водопользования. Категории водопользования принято делить следующим образом:
1) вода питьевая;
2) хозяйственно-бытовое водопользование;
3) культурно-бытовое водопользование;
4) рыбохозяйственное водопользование.
1. Вода питьевая – вода, в которой бактериологические, органолептические показатели и показатели токсичных химических веществ находятся в пределах норм питьевого водоснабжения.
2. Хозяйственно – бытовое водопользование – использование водных объектов в качестве источника хозяйственно – питьевого водоснабжения, а также для водоснабжения предприятий пищевой промышленности.
3. Культурно – бытовое водопользование – использование водных объектов для купания, занятия спортом и отдыха населения.
4. Рыбохозяйственное водопользование – использование вод ных объектов для обитания, размножения и миграции рыб и других водных организмов.
При нормировании качества водных объектов, которые используются для нужд населения, учитываются следующие пока затели:
– Санитарно-токсикологический показатель – характеризует вредное воздействие загрязняющих веществ на организм человека;
– Общесанитарный показатель – определяет влияние загряз – няющего вещества на процессы естественного самоочищения вод за счет биохимических и химических реакций;
– Органолептический показатель – характеризует способность загрязняющего вещества изменять органолептичес кие (цвет, запах, прозрачность, мутность и т.п.) свойства воды;
– Токсикологический показатель – показывает токсичность веществ для живых организмов, населяющих водный объект;
– Рыбохозяйственный показатель – определяет влияние загрязняющих веществ на порчу качеств промысловых рыб.
Питьевая вода должна быть безопасна в эпидемическом и радиационном отношении, безвредна по химическому составу и должна иметь благоприятные органолептические свойства в соответствии с Санитарными правилами и нормами.
При нормировании качества водных объектов культурно-бытового и хозяйственно – питьевого назначения используются санитарно-токсикологический, общесанитарный и органолептический показатели.
При нормировании качества водных объектов рыбохозяйственного назначения учитываются все пять показателей.
При исследовании качества воды определенного водоема важно знать, к какому типу водных объектов будет отнесена данная река, озеро, водохранилище, и использовать для оценки качества соответствующие нормативы.
Для оценки качества природной воды водного объекта в зависимости от категории водопользования используют различные нормативы: предельно допустимая концентрация в воде водоема хозяйственно питьевого и культурно бытового водопользования (ПДКв) и предельно допустимая концентрация в воде водоема, используемого для рыбохозяйственных целей (ПДК ).
Предельно допустимая концентрация в воде водоема хозяйственно-питьевого и культурно-бытового водопользования (ПДКв) – это концентрация вредного вещества в воде, которая не должна ухудшать гигиенические условия водопользования, и не должна оказывать прямого или косвенного влияния на организм человека в течение всей его жизни и на здоровье последующих поколений.
Предельно допустимая концентрация в воде водоема, используемого для рыбохозяйственных целей (ПДКвр) – это концентрация вредного вещества в воде, которая не должна оказывать вредного влияния на популяции рыб, в первую очередь промысловых.
Кроме предельно допустимых концентраций для поддержания чистоты природных водных объектов используется норматив – лимитирующий показатель вредности. Этот норматив не имеет количественной характеристики, но отражает основные требова ния к качеству образцов воды в тех случаях, когда водный объект имеет полуфункциональное назначение.
При рассмотрении качества природных объектов хозяйственно питьевого, коммунально бытового и рыбохозяйственного наз начения оцениваются:
– физические показатели (температуру, содержание взвешенных веществ, прозрачность, мутность, цвет, запах, привкус и др.);
– химические показатели (жесткость, ионный состав, щелочность, перманганатную окисляемость, общее солесодержание, сухой остаток, активную концентрацию ионов водорода (рН), содержание растворенного кислорода, свободной углекислоты, сероводорода, активного хлора и др.);
– санитарно-биологические показатели качества воды (колититр (коли-индекс), общее микробное число, наличие патогенных бактерий и вирусов и др.).
Особенности нормирования химических веществ в водной среде обусловлены следующими факторами:
1. Гигиеническая оценка – оценивается уровень загрязнения воды, предназначенный для хозяйственно-питьевого и культурно – бытового назначения.
2. При нормировании качества воды, установленные нормативы относятся не ко всему водному объекту, а только на пункты водопользования населения.
3. Следует иметь в виду, что природная вода используется населением не только для питья, личной гигиены, приготовления пищи, но и для хозяйственно бытовых и рекреационных целей. Поэтому при нормировании качества воды учитывается влияние химических загрязнителей на организм (санитарно-токсикологический показатель вредности), а также влияние химических загрязнителей на органолептические свойства воды и процессы самоочищения воды водоёмов (органолептический и общесанитарный показатель вредности).
4. Единые гигиенические нормативы устанавливаются для водных объектов, используемых населением.
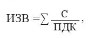
На основании индекса загрязнения воды по гидрохимичес – ким показателям (ИЗВ) проводится оценка уровня загрязнения поверхностных вод, сравнение современного состояния водного объекта и динамики изменения качества вод.
Индекс загрязнения воды (ИЗВ) рассчитывается по формуле:

где С – концентрация і-го показателя; ПДК – предельно допустимая концентрация по і-му показателю.
Индекс загрязнения воды является формальной характеристи кой и рассчитывается усреднением как минимум пяти индивидуальных показателей качества воды. Обязательными при расчете индекса являются следующие показатели: концентрация растворенного кислорода, водородный показатель рН и биологическое потребление кислорода БПК5.
По величине ИЗВ оценивается качество природных вод, критерии приведены в таблице 2.3.
Таблица 2.3
Критерии каче ства поверхностных вод по величине ИЗВ

К веществам, нормируемым по токсикологическому показателю вредности, установлены 4 степени загрязнения (в терминах N – кратного превышения ПДК):
– допустимая (1кратное);
– умеренная (3-кратное);
– высокая (10 – кратное);
– чрезвычайно высокая (100 – кратное).
В соответствии с действующей классификацией, загрязнители водной среды подразделяются на четыре класса опасности. Для соединений I и II классов риск развития неблагоприятных эффектов у человека при превышении установленных ПДК наиболее значителен.
Для поддержания экологически приемлемого состояния поверхностных и подземных вод установлены нормативы предельно допустимых вредных воздействий на водные объекты.
Эти нормативы устанавливаются исходя из:
– предельно допустимой величины антропогенной нагрузки, которая при длительном воздействие не приведёт к изменению экосистемы водного объекта;
– предельно допустимой концентрации вредных веществ, которая может поступать в водный объект;
норм предельно допустимых сбросов (ПДС) вредных веществ в водные объекты.
Согласно ГОСТу, предельно допустимый сброс веществ в водный объект – это масса вещества в сбрасываемых водах, максимально допустимая к отведению с установленным режимом в данном пункте водного объекта в единицу времени с целью обеспечения норм качества воды в контрольном пункте.
Государственный учет поверхностных и подземных вод осу ществляется в целях обеспечения текущего и перспективного планирования рационального использования водных ресурсов, их восстановления и охраны. Он представляет собой систематическое определение и систематизацию количества и качества водных ресурсов данной территории. Государственный учет ведется с целью характеристика степени изученности и использования поверхностных и подземных водных объектов, оценки их состояния по количественным и качественным показателям.
Комплекс стандартов в области охраны природных вод были разработаны и усовершенствованы на основании системного подхода и при использовании методов научно обоснованного прогнозирования. Это позволит:
1) обеспечить население водой необходимого качества и в достаточном количестве согласно установленным нормам;
2) рационально использовать водные ресурсы;
3) сохранить уникальные водные объекты и их экосистемы в состоянии близком к естественному;
4) поддерживать оптимальный уровень воспроизводства биологических ресурсов вод и обеспечить возможность их рационального применения.
Более 800 000 книг и аудиокниг! 📚
Получи 2 месяца Литрес Подписки в подарок и наслаждайся неограниченным чтением
ПОЛУЧИТЬ ПОДАРОКДанный текст является ознакомительным фрагментом.
Маруан Рахметовна Танашева
Просмотр ограничен
Смотрите доступные для ознакомления главы 👉