Мир кислот
Следующий интересный класс веществ – карбоновые кислоты (см. рис. 1.7). Это соединения, в состав которых входит группа – CO – OH (она называется карбоксильной). Любая карбоновая кислота по общему виду формулы похожа на альдегид, но отличается от него “лишним” атомом кислорода, который и превращает альдегидную группу (–CO – H) в карбоксильную (–CO – O–H). Общая формула карбоновой кислоты: R – COOH, где R – любая углеводородная цепочка или просто атом водорода.

Простейшая карбоновая кислота – муравьиная (HCOOH). Следующая по сложности – уксусная (CH3COOH), затем – пропионовая (C2H5COOH), масляная (C3H7COOH) и т. д. Бывают и гораздо более экзотично выглядящие карбоновые кислоты: например, щавелевая, молекула которой представляет собой две карбоксильные группы, соединенные встык (HOOC–COOH). Она действительно есть в щавеле, а также в ревене и некоторых других растениях. Или бензойная кислота, имеющая в качестве радикала ароматическое ядро (C6H5COOH). Она тоже содержится во многих растениях, например в бруснике и клюкве, а еще служит широко распространенным консервантом (пищевая добавка E210).
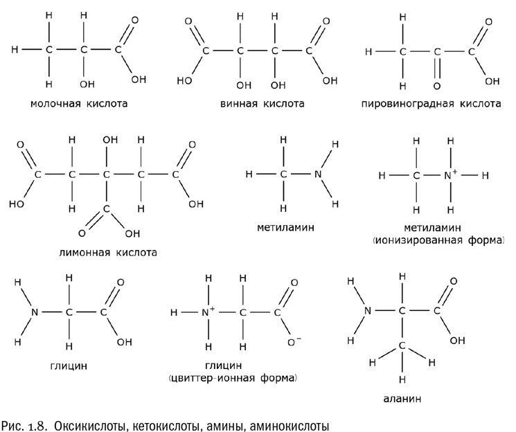
Более того, молекула карбоновой кислоты вполне может включать в себя и другие группы, кроме карбоксильной. Например, в некоторых кислотах помимо карбоксильных групп есть гидроксильные (см. рис. 1.8). Такие соединения, по определению, являются одновременно кислотами и спиртами. Их называют спиртокислотами или (чаще) оксикислотами. Именно к этому классу относится важный промежуточный продукт нашего обмена веществ – молочная кислота, молекула которой включает три атома углерода, одну карбоксильную группу и одну гидроксильную (CH3–CHOH – COOH). Винная кислота, химию которой в свое время изучал великий Луи Пастер, устроена чуть сложнее: четыре атома углерода, две карбоксильные группы и две гидроксильные (HOOC–CHOH – CHOH – COOH). Она действительно есть в вине, а иногда добавляется и в еду, например в кондитерские изделия (пищевая добавка Е334). Заметим, что пугаться таких добавок не стоит: очень часто они, как в данном случае, представляют собой безобидные вещества, с тем же успехом изобилующие в самых что ни на есть натуральных продуктах. Винной кислоты, например, много в винограде и яблоках.

Бывают и такие кислоты, которые одновременно являются альдегидами или кетонами. Тут достаточно одного примера: пировиноградная кислота – простейшая кетокислота с формулой CH3–CO – COOH. Эта молекула тоже играет огромную роль в нашем обмене веществ (см. главу 11).
И еще несколько слов о спиртах. Карбоновая кислота и спирт могут вступить между собой в реакцию, при которой от карбоксильной группы отщепляется – OH, а от спиртовой – H. Эти отщепленные фрагменты тут же образуют воду (формула которой H – O–H или H2O). А остатки кислоты и спирта соединяются в сложный эфир – молекулу с общей формулой R1–CO – O–R2. Надо учитывать, что сложные эфиры и уже знакомые нам простые эфиры – это совершенно разные классы соединений, которые ни в коем случае нельзя путать. По-английски, например, они обозначаются разными корнями, соответственно ester (сложный эфир) и ether (простой эфир). Среди биологически активных веществ есть и те и другие, но сложных эфиров там в целом больше. Без знания того, что это такое, невозможно разобраться, например, в устройстве клеточной мембраны.
Более 800 000 книг и аудиокниг! 📚
Получи 2 месяца Литрес Подписки в подарок и наслаждайся неограниченным чтением
ПОЛУЧИТЬ ПОДАРОКДанный текст является ознакомительным фрагментом.