2.2. Биологически активные вещества лекарственных растений
Фармакологическое действие лекарственных растений обусловливается содержанием в них комплекса биологически активных веществ (БАВ). Это природные соединения, которые вырабатываются растениями и обладают специфическим действием на живой организм, определяющим основной терапевтический эффект.
Растительный организм из воды и углекислого газа под действием солнечного света способен синтезировать разнообразные химические соединения, зачастую весьма сложные по строению. Это так называемые первичные метаболиты, необходимые растениям как строительный и энергетический материал. К ним относятся углеводы, белки, липиды, нуклеиновые кислоты.
Первичные метаболиты как исходное сырье вовлекаются в сложный биосинтетический процесс, в результате которого возникают новые, существенно различающиеся по химической структуре и свойствам вещества – вторичные метаболиты. Они образуются обычно у малоподвижных организмов – растений, грибов, многих прокариотов; у животных они сравнительно редки. Вторичные метаболиты способны оказывать определенное (положительное или отрицательное) воздействие и на многие жизненные процессы человека и животных.
При использовании растения с лечебной целью далеко не все содержащиеся в нем химические соединения влияют на развитие терапевтического эффекта. В связи с этим среди биологически активных соединений растительного происхождения принято выделять действующие, сопутствующие и балластные вещества.
Действующие вещества – это соединения, обусловливающие терапевтическую ценность данного вида сырья. В большинстве случаев в растениях они являются вторичными метаболитами, реже – первичными. Их можно разделить на две группы.
1. Действующие вещества, обладающие сильно выраженной фармакологической активностью. Они чаще всего в высоких дозах токсичны и могут вызывать негативные побочные явления, а эффект проявляется в очень широких пределах лечебных доз. Яркими их представителями являются алкалоиды и сердечные гликозиды.
2. Действующие вещества, обладающие более слабой фармакологической активностью (витамины, флавоноиды, дубильные вещества и др.). В этом случае достигаемый терапевтический результат является, как правило, комплексным, зависящим от суммы всех действующих веществ, содержащихся в растительном сырье. Фармакологическое действие таких соединений чаще всего проявляется при применении относительно высоких доз, особенно при длительном приеме. Побочные эффекты, как и случаи отравления, при этом довольно редки.
Сопутствующими веществами называют вещества, обладающие определенной фармакологической активностью, но непосредственно не влияющие на достижение конечного терапевтического результата. К ним относятся продукты первичного и (или) вторичного синтеза.
Сопутствующие вещества могут существенно влиять на действие основных БАВ, усиливая или ослабляя их фармакологическую эффективность. В первом случае их роль сводится к пролонгированию, ускорению или усилению эффекта действующих веществ. Например, сапонины, часто встречающиеся в растениях, содержащих сердечные гликозиды, ускоряют всасывание последних в кишечнике, обеспечивая тем самым более быстрый терапевтический эффект; аскорбиновая кислота потенцирует действие флавоноидов, регулирующих сосудистую проницаемость, и т. д. Во втором случае эти вещества могут вызвать негативные явления при лечении. В частности, смолы, сопутствующие антраценпроизводным, вызывают болевые ощущения в кишечнике и тошноту. Дубильные вещества могут препятствовать качественному приготовлению ряда лекарственных форм. От таких сопутствующих веществ, как правило, стремятся освободиться.
Балластные вещества в растениях представлены преимущественно продуктами первичного синтеза, наиболее часто – производными углеводов. В достижении терапевтического эффекта их роль незначительна или сводится к нулю. Нередко они затрудняют изготовление или поддержание стабильности лекарственных форм.
Резкой границы между приведенными группами нет, и это деление в определенной мере условно, поскольку одну и ту же группу веществ иной раз относят к действующим, другой – к сопутствующим, а третий – к балластным (например, клетчатка, крахмал и др.). Среди биологически активных веществ лекарственных растений в настоящее время можно выделить следующие наиболее важные в лечебном плане группы соединений.
Первичные метаболиты
Углеводы. Представляют собой алифатические полиоксикарбонильные соединения и их многочисленные производные. Непосредственное лечебное действие оказывают высокомолекулярные полисахариды. К ним, в частности, относятся:
Клетчатка – высокомолекулярный гомополисахарид, построенный в линейную цепь из остатков глюкозы. Клетчатка набухает в толстом кишечнике, вызывая раздражение рецепторов слизистых оболочек, стимулируя перистальтику и, тем самым, оказывая слабительное действие. Является основой перевязочных материалов.
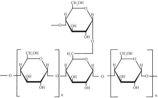
Крахмал – высокомолекулярный гомогликан, мономером которого также является глюкоза. Он не является химически индивидуальным веществом; основные его компоненты – амилоза и амилопектин (рис. 1, 2). В медицинской практике крахмал используется как наполнитель и в качестве присыпок; обладает обволакивающим действием. Источниками крахмала являются картофель, пшеница, рис, кукуруза.
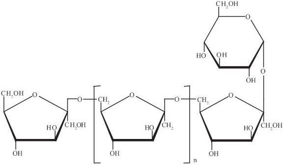
Инулин – полимер фруктозы (рис. 3); оказывает иммуностимулирующее действие, используется при лечении сахарного диабета. Встречается в подземных органах видов семейств сложноцветных (одуванчик, девясил и др.) и колокольчиковых.

Рис. 1. Строение амилозы

Рис. 2. Строение амилопектина
Пектиновые вещества – высокомолекулярные гетерополисахариды, главными структурными компонентами которых являются галактуроновая кислота и ее метилированные производные. Пектины обладают кровоостанавливающим, ранозаживляющим, антисклеротическим, гипотензивным и противоязвенным эффектом; снижают токсичность антибиотиков и удлиняют сроки их действия; способствуют выведению из организма радионуклидов и тяжелых металлов (свинца, меди, кобальта и т. д.). Кроме того, пектины угнетают гнилостную микрофлору кишечника, тормозят всасывание холестерина и способствуют выведению его из организма, что имеет большое значение при лечении атеросклероза. Пектинами богаты плоды клюквы, черной смородины, яблони, боярышника, аронии, рябины, барбариса, сливы, крыжовника, околоплодники всех цитрусовых.

Рис. 3. Строение инулина
Слизи и камеди (гумми) – гидрофильные соединения, представляющие собой смеси кислых и нейтральных гомои гетерополисахаридов. В медицинской практике слизесодержащие растения применяют как мягчительные, обволакивающие, противовоспалительные и отхаркивающие средства. Богаты слизями корни алтея, листья подорожника большого, семена льна и подорожника блошного, слоевища морской капусты (ламинарии), клубни орхидных (ятрышника, кокушника и др.), листья мать-и-мачехи, соцветия липы.
Липиды. Эта группа растительных биологически активных веществ представлена преимущественно жидкими маслами – смесями триглицеридов высокомолекулярных жирных кислот. Растительные жиры обладают антисклеротическим, антиоксидантным (кукурузное), слабительным (масло клещевины), ранозаживляющим (льняное), болеутоляющим действием. Оливковое, миндальное, персиковое, абрикосовое масла используются для приготовления инъекционных растворов камфоры и гормональных препаратов.
Белки-ферменты. Препараты на основе ферментов используются при заболеваниях желудочно-кишечного тракта, применяются как ранозаживляющие средства и т. п.
Вторичные метаболиты
Терпеноиды. Это обширный класс органических соединений растительного происхождения, объединяемых общими путями биосинтеза. Исходя из особенностей химической структуры, выделяют следующие группы терпеноидов:
Эфирные масла – летучие многокомпонентные смеси органических веществ, вырабатываемые растениями и обусловливающие их запах. Число компонентов в составе одного эфирного масла может достигать сотни и более. Широко известны, например, ментол, хамазулен, тимол и др. (рис. 4–6).

Рис. 4. Строение ментола

Рис. 5. Строение хамазулена

Рис. 6. Строение тимола
Эфирные масла характерны для растений тропиков и сухих субтропиков. Являясь смесями различных химических соединений, эфирные масла имеют очень широкий спектр фармакологического действия. По фармакологическому действию их подразделяют на следующие группы: а) обладающие противовоспалительной, антимикробной и противовирусной активностью; б) разжижающие мокроту и обладающие отхаркивающим действием; в) оказывающие спазмолитический и сосудорасширяющий эффекты; г) стимулирующие деятельность органов пищеварения; д) обладающие седативным и анальгезирующим действием. Эфирные масла содержатся в растениях семейств губоцветных, сложноцветных, зонтичных и др. Образуются они в различных органах – цветках, плодах, листьях, корнях (мята, душица, шалфей, полынь, тысячелистник, ромашка тмин, укроп и т. д.).
Смолы применяются в качестве бактерицидных, ранозаживляющих, противовоспалительных, общеукрепляющих средств. Смолами богаты хвойные растения.
Горечи могут существовать в свободном виде или в виде гликозидов (т. е. соединений, связанных гликозидной связью с сахарным компонентом). Агликонами горечей являются производные циклопентаноидных монотерпеноидов и сесквитерпеноидов. Фармакологический эффект горечей сводится к усилению деятельности органов пищеварения. При этом повышается аппетит, увеличивается секреция желудочного сока, улучшается желчеотделение, усиливается перистальтика кишечника; часть горечей – диуретики. Содержатся эти вещества в траве полыни, тысячелистника, листьях вахты, корнях одуванчика.
Сердечные (кардиотонические) гликозиды – соединения со сложной и весьма лабильной химической структурой, состоящей из стероидного скелета, лактонного кольца и углеводной части. Сердечные гликозиды оказывают выраженный кардиотонический эффект – увеличивают силу и уменьшают частоту сердечных сокращений, улучшают тканевой обмен сердечной мышцы. Пока не найдены равноценные синтетические заменители этих уникальных лекарственных веществ, поэтому растения являются единственным источником их получения для медицинских целей. Следует помнить, что сердечные гликозиды в высоких дозах являются сердечными ядами, и их использование без рекомендации врача абсолютно противопоказано. Их содержат наперстянка крупноцветковая, горицвет весенний, ландыш майский.
Сапонины. Это вещества, обладающие специфическими свойствами – поверхностной активностью и способностью вызывать гемолиз эритроцитов. Для растений, содержащих стероидные сапонины, характерно антисклеротическое действие.
Тритерпеновые сапонины обладают выраженным отхаркивающим действием, усиливая секрецию бронхиальных желез, разжижая мокроту и понижая ее вязкость, проявляют тонизирующую и адаптогенную активность. Некоторые из них (например, сапонины солодки – производные глицирризиновой кислоты) при попадании в организм превращаются в аналоги гормонов коркового слоя надпочечников, оказывая тем самым выраженный противовоспалительный, иммуностимулирующий и гормоносберегающий эффект (рис. 7). Среди уральских растений эти соединения содержат виды солодки, синюха голубая.

Рис. 7. Строение глицирризиновой кислоты
Фитоэкдизоны (экдистероиды) обладают выраженным психостимулирующим и адаптогенным действием, усиливают процессы синтеза белка (могут использоваться как анаболики).
Каротиноиды (тетратерпеноиды), проявляющие витаминную активность.
Фенольные соединения – вещества ароматической природы, которые содержат одну или несколько гидроксильных групп, связанных с атомами углерода ароматического ядра. Этот класс биологически активных веществ, как и предыдущий, выделяется по биогенетическому принципу и включает в себя следующие соединения:
Простые фенолы и их гликозиды. Ассортимент растений, содержащих эти соединения в качестве основных действующих веществ, невелик (толокнянка, брусника, родиола розовая). Большинство из них – типичные сопутствующие вещества, обеспечивающие суммарный эффект растительных препаратов. В то же время следует выделить группу лекарственных растений, содержащих фенологликозиды (арбутин, родиолозид и др.) , обладающих выраженным антисептическим и диуретическим действием (рис. 8, 9).

Рис. 8. Строение арбутина

Рис. 9. Строение родиолозида
Фенилпропаноиды (гидроксикоричные спирты и кислоты, например, кофейная кислота (рис. 10); их сложные эфиры). Многие их них обладают выраженным иммуномодулирующим действием.
Кумарины и хромоны. Растения, содержащие вещества этой группы, обладают спазмолитической, капилляроукрепляющей, ранозаживляющей антикоагулянтной активностью (рис. 11). Существуют кумарины, повышающие чувствительность кожи к ультрафиолетовым лучам (их используют для лечения лейкодермии). Некоторые фурокумарины тормозят деление клеток и обладают противоопухолевой активностью. Кумарины характерны в основном для видов семейств зонтичных, рутовых и бобовых.

Рис. 10. Строение кофейной кислоты

Рис. 11. Строение кумарина
Лигнаны (сложные фенилпропаноиды) – производные димеров фенилпропанового ряда. Лигнаны довольно широко распространены в растительном мире, и многие из них обладают противоопухолевыми, противомикробными, стимулирующими и адаптогенными свойствами.
Ксантоны обладают широким спектром фармакологического действия, в том числе противовирусной и противотуберкулезной активностью.
Антраценпроизводные – соединения, в основе которых лежит ядро антрацена различной степени окисленности (например, гиперицин из травы зверобоя) (рис. 12). Сырье растений, богатых антраценпроизвод-ными (крушина, жостер, зверобой, щавель), обладает слабительным действием, стимулируя перистальтику толстого кишечника.

Рис. 12. Строение гиперицина
Флавоноиды очень широко распространены в растительном мире. Они могут встречаться в растениях как в свободном виде (кемпферол, кверцетин, лютеолин и др. (рис. 13, 14, 15)), так и в виде гликозидов (рутин (рис. 16)).

Рис. 13. Строение кемпферола

Рис. 14. Строение кверцитина
Растения, содержащие флавоноиды в качестве действующих веществ, представлены преимущественно сырьем аптечного ассортимента. Как правило, они сочетают в себе низкую токсичность с достаточно высоким избирательным терапевтическим действием. Спектр их фармакологического действия очень широк: они обладают противовоспалительным, бактерицидным, кардиотоническим, гипотензивным, противоатеросклеротическим, желчегонным, кровоостанавливающим, диуретическим действием. Некоторые флавоноиды способны уменьшать проницаемость и ломкость капилляров (р-витаминная активность).

Рис. 15. Строение лютеолина

Рис. 16. Строение рутина
Дубильные вещества – высокомолекулярные многоядерные фенольные соединения, их отличительный признак – высокое содержание фенольных гидроксильных групп. В основе многих соединений этой группы лежат производные галловой и эллаговой кислот (рис. 17, 18).

Рис. 17. Строение галловой кислоты

Рис. 18. Строение эллаговой кислоты
Дубильные вещества содержатся почти во всех широко известных растениях, выполняя роль сопутствующих или балластных веществ. Однако при значительной концентрации дубильных веществ и отсутствии каких-либо других соединений, обладающих высокой фармакологической активностью, дубильные вещества переходят в разряд действующих. Они обладают вяжущим, кровоостанавливающим и антисептическим действием, ограничивают воспалительный процесс, используются как антидот при отравлении алкалоидами и солями тяжелых металлов. Дубильные вещества содержатся в коре дуба, траве зверобоя, шалфея, корневищах лапчатки прямостоячей, корнях щавеля конского, плодах черемухи и др.
Алкалоиды – большой класс природных азотсодержащих соединений (гиосциамин, скополамин, морфин, кодеин, папаверин, эфедрин и др.) (рис. 19–24).

Рис. 19. Строение гиосциамина

Рис. 20. Строение скополамина

Рис. 21. Строение морфина

Рис. 22. Строение кодеина

Рис. 23. Строение папаверина

Рис. 24. Строение эфедрина
Они часто обладают сильным фармакологическим действием; терапевтические дозы многих алкалоидов близки к токсическим или же вызывают побочные эффекты. В связи с чрезвычайно разнообразным химическим строением этой группы БАВ фармакологические свойства алкалоидов очень разнообразны. В частности, это гипо- или гипертензивные эффекты, седативное, болеутоляющее, спазмолитическое, желчегонное, отхаркивающее действие и т. д. Важно помнить, что большинство алкалоидов относятся к сильнодействующим, ядовитым и наркотическим средствам, поэтому применение растений, их содержащих, требует внимания, осторожности и согласования с врачом. Алкалоидами богаты виды семейств маковых, пасленовых, бобовых, кутровых, сложноцветных и др.
Витамины – органические вещества различной химической природы, в малых количествах необходимые для нормального функционирования организма. Растениями синтезируются практически все витамины, за исключением витамина А и витаминов группы D, которые образуются в организме животных из растительных предшественников. Те или иные витамины или группы витаминов содержатся в любом растении, но в некоторых их содержание достигает значительной величины. В связи с этим выделяют лекарственные растения, обладающие поливитаминной активностью (рябина, земляника); содержащие в большом количестве витамин С – шиповник, смородина (рис. 25); витамин К – пастушья сумка, крапива (рис. 26); каротиноиды, в частности, ?-каротин (рис. 27), из которого в организме животных и человека образуется витамин А (рис. 28) – календула, облепиха и т. д.

Рис. 25. Строение витамина С (аскорбиновой кислоты)

Рис. 26. Строение витамина К

Рис. 27. Строение ?-каротина

Рис. 28. Строение витамина А
Минеральные элементы подразделяются на макроэлементы, микроэлементы и ультрамикроэлементы. Содержание макроэлементов (Ca, K, Mg, Na, P, S, Si, Cl) составляет более 0,01 %. Микроэлементы (Fe, Mn, B, Cu, Zn, Al, Co, Li, Ba, Br, Ni, Cr и др.) в растениях содержатся в количествах 10?2– 10?5 %. Ультрамикроэлементы накапливаются в клетках в концентрации менее 10?6 % (As, Mo, I, Pb, Ag, Au, Ra и др.). Некоторые растения способны избирательно концентрировать определенные минеральные элементы. Например, морские водоросли (ламинария) – бром и йод, кукуруза – золото, астрагалы – селен, сфагнум – серебро, вересковые и брусничные – марганец, лагохилус – кальций и т. д.
Отличительной особенностью минеральных комплексов, содержащихся в растениях, является то, что они представляют собой естественную комбинацию, свойственную живой природе в целом, прошедшую через своеобразный биологический фильтр и вследствие этого отличающуюся наиболее благоприятным для организма соотношением основных компонентов. Существенным преимуществом растений является и то, что микроэлементы в них находятся в органически связанной, т. е. наиболее доступной и усвояемой форме. Активность любого минерального элемента в органическом комплексе во много раз превосходит таковую в неорганических солях. Минеральные элементы входят в состав или активируют до 300 ферментов. Вопрос о целевом использовании микроэлементов, содержащихся в растениях, к настоящему времени остается открытым и недостаточно исследованным, хотя их терапевтическая ценность очень велика, особенно при состояниях, сопровождающихся нарушениями в организме человека микроэлементного равновесия.
Более 800 000 книг и аудиокниг! 📚
Получи 2 месяца Литрес Подписки в подарок и наслаждайся неограниченным чтением
ПОЛУЧИТЬ ПОДАРОКДанный текст является ознакомительным фрагментом.