1.3 Индивидуальное развитие животных (онтогенез)
Онтогенез животных складывается из двух основных процессов: роста и развития. Рост – процесс увеличения массы тела животного и отдельных его органов и тканей, а развитие – процесс усложнения структуры организма, специализации и дифференциации его органов и тканей, т.е. качественные изменения содержимого тканей.
У большинства видов сельскохозяйственных животных весь путь от оплодотворенной яйцеклетки до взрослого состояния делится на два периода: эмбриональный и постэмбриональный.
Эмбриональное (внутриутробное) развитие животного организма включает в себя три фазы: зародышевую, предплодную и плодную. Продолжительность эмбрионального развития у животных разных видов неодинакова. В постэмбриональный период можно выделить следующие фазы: новорожденности, молочного питания, наступления половой зрелости, физиологической зрелости и старения организма.
Таблица 1 – Средний возраст жизни, хозяйственного использования и достижение половой зрелости сельскохозяйственных животных

Живая масса новорожденных животных зависит от их видовых и породных особенностей, пола, условий кормления и живой массы в период беременности, например, новорожденные жеребята имеют массу 40…50 кг, телята – 25…40 кг, ягнята – 3…5 кг, поросята 1,0…1,5 кг. Самцы при рождении весят больше самок на 10…15 %.
Отличительной особенностью развития животных является неравномерность роста не только организма в целом, но и отдельных органов и тканей, особенно скелета. В первую половину утробного периода интенсивнее растет нервная ткань, затем костная; в последующем усиливается рост мышечной ткани и внутренних органов. В постэмбриональный период, от рождения до наступления половой зрелости, наиболее интенсивно растет мышечная ткань, а затем усиливается отложение жира.
Скорость роста животных в разные периоды их жизни неодинакова. Мелкие животные по сравнению с крупными растут с большей относительной скоростью, но продолжительность активного роста у них значительно меньше. Длительность хозяйственного использования животных существенно меньше продолжительности их жизни (таблица 1). Рост определяют по живой массе и промерам.
Скорость роста животных принято выражать в абсолютных и относительных величинах.
Абсолютный прирост – прирост живой массы животного за определенный промежуток времени, выраженный в килограммах.
А = М1? М0,
где А – абсолютный прирост, кг;
М1 – конечная живая масса, кг;
М0 – начальная живая масса, кг.
Абсолютный среднесуточный прирост – прирост живо массы за сутки, вычисляется по формуле где С – среднесуточный прирост, г;
С = (М1? М0) / t ? 1000 ,
М1 – конечная живая масса, кг;
М0 – начальная живая масса, кг;
t – время между двумя взвешиваниями, дней.
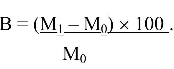
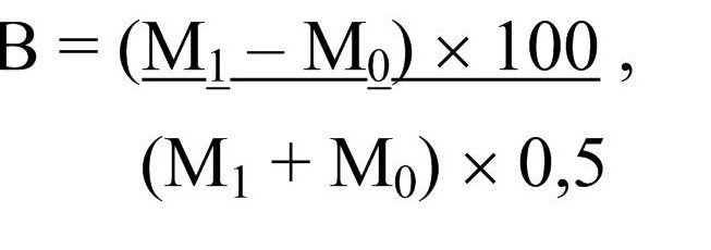
Относительный прирост живой массы показывает энергию роста (его интенсивность), вычисляется по формуле А. Майонота:

по формуле С. Броди:

где В – относительный прирост, проц.;
М1 – конечная живая масса, кг;
М0 – начальная живая масса, кг.
Взвешивание является методом определения и учета прироста живой массы молодняка при выращивании и откорме, который применяется в практике. Первое взвешивание теленка проводят через 2 ч после рождения. До годовалого возраста животных взвешивают ежемесячно, потом – один раз в квартал. При этом допускается ежемесячно проводить контрольное взвешивание.
Если невозможно производить взвешивание животных, то можно определить массу путем измерения. Первый вариант – по формуле Трухановского:
Жив. масса=(Обхват гр. за лопат.? прям. длина туловища? 2) / 100,
где 2 – коэффициент, рассчитанный для молочных пород.
Для молочно-мясных пород берется коэффициент 2,25; для мясных – 2,5. Кроме того, полученную в расчетах массу животных высшей упитанности увеличивают на 5…10 %, а ниже средней – уменьшают на 5…10 %.
Второй вариант – на основании промеров: косая длина туловища (измеряют мерной лентой) и обхват груди за лопатками. Живую массу можно определить по таблице. Способ КлюверШтрауха применяется для взрослых животных, способ Фровейна – для молодняка.
Рост и развитие животных обусловливают такие факторы, как наследственность и условия внешней среды. На ранних стадиях развития животного формируется эндокринная система, которая регулирует впоследствии процессы роста и развития. При этом важную роль играют гипофиз, щитовидная и половые железы. Из факторов внешней среды огромное воздействие на рост и развитие животных оказывают условия кормления и содержания (температура, влажность воздуха, световой режим).
Неблагоприятные условия кормления вызывают недоразвитие животных. Страдают те органы и ткани, в период интенсивного развития которых организм испытывал недостаток питательных веществ. Степень недоразвития животных зависит от продолжительности и степени недокорма. А.А. Малигонов выделил три основных типа недоразвития: эмбрионализм, инфантилизм и неотению («закон недоразвития»). Эмбрионализм (сходство новорожденного животного с эмбрионом ранней стадии развития) – следствие плохого кормления и содержания матери или ранней случки. Инфантилизм выражается в сходстве черт взрослого организма с детским, вследствие длительного недокорма растущих животных. Неотения – преждевременное развитие половых органов животного в юном возрасте (недокорм молодняка и беременных маток).
В процессе роста и развития животных встречаются две формы изменений: обратимая и необратимая. При соответствующих условиях кормления и содержания любое развитие может исправиться, прийти в норму, компенсироваться.
Более 800 000 книг и аудиокниг! 📚
Получи 2 месяца Литрес Подписки в подарок и наслаждайся неограниченным чтением
ПОЛУЧИТЬ ПОДАРОКДанный текст является ознакомительным фрагментом.