Она похожа на оконное стекло

Физики занялись изучением ДНК не только потому, что понимали важность проверки всех деталей ее структуры. Молекула ДНК привлекла их внимание и сама по себе.

В книге Э. Шрёдингера «Что такое жизнь?» есть слова (они взяты эпиграфом к этой главе), оказавшиеся пророческими. ДНК действительно похожа на твердое тело. Пары оснований уложены в ней как в кристалле. Но это кристалл линейный, как бы одномерный – каждая пара оснований имеет только двух соседей. Кристалл ДНК – апериодический, так как последовательность пар оснований нерегулярна, как нерегулярна последовательность букв в осмысленном тексте книги. Но подобно буквам в печатном шрифте, пары оснований А•Т и Г•Ц имеют одинаковые размеры как в ширину, так и в высоту.

Конечно же, кристалл совершенно нового типа, одномерный кристалл ДНК, страшно заинтриговал физиков. Не полупроводник ли он? А может быть, сверхпроводник, да еще при комнатной температуре? ДНК была подвергнута очередному обследованию. Нет, она не полупроводник и уж подавно не сверхпроводник. Она оказалась обыкновенным изолятором, вроде оконного стекла. Да она и прозрачна, как стекло. Водный раствор ДНК (а в воде она растворяется очень хорошо) просто прозрачная жидкость. Этим сходство со стеклом не заканчивается. Обычное стекло, в том числе и оконное, прозрачно для видимого света и очень сильно поглощает ультрафиолетовые лучи. ДНК тоже поглощает в этой части спектра. Но в отличие от стекла, которому ультрафиолетовые лучи не вредны, ДНК к ним очень чувствительна.

Ультрафиолетовые лучи настолько губительны для молекулы ДНК, что клетка выработала в ходе эволюции специальную репарирующую систему, которая залечивает повреждения, нанесенные этими лучами. Что же это за повреждения?

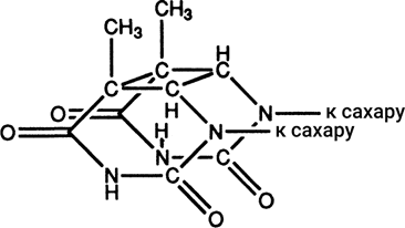
Когда квант ультрафиолетового излучения (фотон) попадает в ДНК, то он передает свою энергию азотистому основанию. Основание оказывается в возбужденном состоянии. Далее события могут развернуться по-разному. Если фотон поглощен пурином (аденином или гуанином), то ничего особенного не произойдет – поглощенная энергия быстро превратится в тепло (как это бывает в оконном стекле), а ДНК останется такой же, какой была. Другое дело, если фотон поглотится пиримидином (тимином или цитозином), причем не любым, а тем, который соседствует в цепи с другим пиримидином. В этом случае поглощенная энергия не успевает еще превратиться в тепло, как два соседних пиримидина вступают в химическую реакцию. Этот процесс особенно эффективен, если по соседству оказываются два тимина. Результат – новое химическое соединение, называемое фотодимером тимина Т?Т (рис. 10).

Рис. 10. Тиминовый димер

Строение димера довольно необычно. В самом деле, углерод обыкновенно бывает либо тетраэдрическим, когда его связи с соседними атомами идут из центра тетраэдра в его вершины, либо треугольным, когда связи лежат в одной плоскости и направлены из центра в вершины правильного треугольника. Но в фотодимере две связи у каждого атома углерода, участвующего в сцеплении тиминов, образуют прямой угол! А все четыре атома углерода образуют квадрат (он носит название циклобутана).

Итак, в ДНК возникло повреждение – вместо двух тиминов образовалось совершенно новое химическое соединение, дойдя до которого ферменты, работающие на ДНК, остановятся. Они знают только четыре буквы: А, Т, Г и Ц, а тут какой-то новый значок Т?Т. Им он не известен. Если эту помарку не выправить, не убрать из текста, то ферменты не смогут ни снять с ДНК копию, ни считать с нее информацию (синтезировать РНК). Вся жизнь клетки остановится, и она погибнет.

Ультрафиолетовые лучи представляют столь серьезную угрозу для молекулы ДНК, что в ходе эволюции клетка выработала специальную систему, чтобы бороться с повреждениями ДНК, вызванные этим излучением. Ферменты этой репарирующей системы приходят на помощь. Сначала фермент УФ-эндонуклеаза узнает тиминовый димер и рвет в этом месте сахарофосфатную цепь. Далее фермент экзонуклеаза расширяет возникший разрыв. В одной из нитей ДНК, там, где образовался тиминовый димер, получается огромная брешь – в несколько тысяч нуклеотидов. При этом оказываются удаленными не только тиминовый димер, но и масса нормальных нуклеотидов, как говорится, на всякий случай. Но это не беда – другая, комплементарная нить остается целой, и по ней специальный фермент, ДНК-полимераза I, надстраивает вторую нить, создавая нормальную двойную спираль, идентичную исходной, неповрежденной ДНК.

Так вот, оказывается, в чем смысл двунитчатости ДНК! Она нужна не только для создания двух идентичных копий генетического материала, но и для того, чтобы информацию, заключенную в ДНК, можно было уберечь от повреждений. Если бы между циклами удвоения ДНК была однонитевой, то ее невозможно было бы починить.

Репарирующие системы есть во всех клетках, от простейших до человека. Это неудивительно – жизнь зародилась под Солнцем. Может показаться странным, что репарирующая система активна даже в таких клетках, которые никогда не испытывают действия солнечного излучения – например, клетки кишечника. Остроумное объяснение этому предложил Г. М. Баренбойм. Он предположил, что ДНК защищается от излучения Вавилова—Черенкова, возникающего в клетках при распаде естественной примеси радиоактивных элементов.

Если же в результате мутации репарирующая система выйдет из строя – это настоящее бедствие. Иногда рождаются дети с дефектом, который называется ксеродерма пигментозум. Они совершенно не могут быть на свету – их кожа покрывается язвами, которые постепенно переходят в злокачественные опухоли. Таких детей не удается спасти, даже тщательно оберегая их от солнца. Вообще, прямыми опытами на животных показано, что тиминовые димеры могут вызывать рак.

Выходит, загорать – это действительно совсем не невинное занятие. Конечно, мы не можем отказать себе в этом удовольствии, но не следует перегружать репарирующую систему. Кроме того, репарация – не вполне безобидная вещь. Считают, что ферменты репарирующей системы, в особенности ДНК-полимераза I, склонны допускать ошибки, так что репарация может приводить к мутациям. А соматические мутации (т. е. происходящие в неполовых клетках тела) также рассматриваются в качестве важного фактора, приводящего к злокачественному перерождению ткани (см. главу 11).

Вот сколько хлопот от того, что ДНК чувствительна к ультрафиолетовым лучам. А ведь эти лучи едва достигают поверхности Земли, основная их часть поглощается в атмосфере. Так что стоит ли сожалеть, что ДНК прозрачна, как оконное стекло, в отношении видимой части спектра?

Более 800 000 книг и аудиокниг! 📚

Получи 2 месяца Литрес Подписки в подарок и наслаждайся неограниченным чтением

ПОЛУЧИТЬ ПОДАРОК