6.2. Принципы и методы тестирования физической работоспособности
Определение уровня физической работоспособности у человека осуществляется путем применения тестов с максимальными и субмаксимальными мощностями физических нагрузок. Все тесты, о которых в дальнейшем пойдет речь, хорошо и подробно изложены в специальных пособиях (Карпман В.Л. с соавт., 1988; Аулик И.А., 1990; и др.)
В данном разделе будут изложены лишь общие принципы тестирования и их физиологическая характеристика.
В тестах с максимальными мощностями физических нагрузок испытуемый выполняет работу с прогрессивным увеличением ее мощности до истощения (до отказа). К числу таких проб относят тест Vita Maxima, тест Новакки и др. Применение этих тестов имеет и определенные недостатки: во-первых, пробы небезопасны для испытуемых и потому должны выполняться при обязательном присутствии врача; во-вторых, момент произвольного отказа – критерий очень субъективный и зависит от мотивации испытания и других факторов.
Тесты с субмаксимальной мощностью нагрузок осуществляются с регистрацией физиологических показателей во время работы или после ее окончания. Тесты данной группы технически проще, но их показатели зависят не только от проделанной работы, но и от особенностей восстановительных процессов. К их числу относятся хорошо известные пробы С.П. Летунова, Гарвардский степ-тест, PWC 170, тест Мастера и др. Принципиальная особенность этих проб заключается в том, что между мощностью мышечной работы и длительностью ее выполнения имеется обратно пропорциональная зависимость, и с целью определения физической работоспособности для таких случаев построены специальные номограммы.
Таблица 6
Схема оценки работоспособности

В практике физиологии труда, спорта и спортивной медицины наиболее широкое распространение получило тестирование физической работоспособности по ЧСС. Это объясняется в первую очередь тем, что ЧСС является легко регистрируемым физиологическим параметром. Не менее важно и то, что ЧСС линейно связана с мощностью внешней механической работы, с одной стороны, и количеством потребляемого при нагрузке кислорода, – с другой.
Анализ литературы, посвященной проблеме определения физической работоспособности по ЧСС, позволяет говорить о следующих подходах. Первый, наиболее простой, заключается в измерении ЧСС при выполнении физической работы какой-то определенной мощности (например, 1000 кГм/мин). Идея тестирования физической работоспособности в данном случае состоит в том, что выраженность учащения сердцебиения обратно пропорциональна физической подготовленности человека, т. е. чем чаще сердечный ритм при нагрузке такой мощности, тем ниже работоспособность человека, и наоборот.
Второй подход состоит в определении той мощности мышечной работы, которая необходима для повышения ЧСС до определенного уровня. Такой подход является наиболее перспективным, но он технически более сложен и требует серьезного физиологического обоснования.
Сложности физиологического обоснования такого подхода к тестированию физической работоспособности обусловлены несколькими моментами: возможными предпатологическими изменениями сердечно-сосудистой системы; различными типами кровообращения, при которых одинаковое кровоснабжение мышц может обеспечиваться различной величиной ЧСС; неодинаковой физиологической ценой учащения сердечной деятельности при физических нагрузках, определяемой так называемым законом исходных величин, и т. д.
Среди спортсменов эти различия в значительной степени сглаживаются сходством возраста, хорошим здоровьем, тенденцией к брадикардии в покое, расширением функциональных резервов сердечно-сосудистой системы и возможностей их использования
при физических нагрузках. Это обстоятельство, по-видимому, определило использование в современном спорте теста PWC (PWC – это первые буквы английского термина «физическая работоспособность» – Physical Working Capacity), который ориентирован на достижение определенной ЧСС (170 сердечных сокращений в 1 минуту).
Испытуемому предлагается выполнение на велоэргометре или в степ-тесте двух 5-минутных нагрузок умеренной мощности с интервалом 3 мин, после которых измеряют ЧСС.
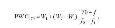
Расчет показателя PWC170 производится по следующей формуле:

где W1 и W2 – мощность первой и второй нагрузки; ?1 и ?2 – ЧСС в конце первой и второй нагрузки.
В настоящее время считается общепринятым, что ЧСС, равная 170 уд./мин, с физиологической точки зрения характеризует собой начало оптимальной рабочей зоны функционирования кардиореспираторной системы, а с методической – начало выраженной нелинейности на кривой зависимости ЧСС от мощности физической работы. Существенным физиологическим доводом в пользу выбора уровня ЧСС в данной пробе служит и тот факт, что при частоте пульса больше 170 уд./мин рост минутного объема крови если и происходит, то уже сопровождается относительным снижением систолического объема крови.
Проба PWCI70 рекомендована Всемирной организацией здравоохранения для оценки физической работоспособности человека. Перспективы использования этой пробы в спорте очень широки, так как принцип ее пригоден для определения как общей, так и специальной работоспособности спортсменов.
Широко распространенной пробой также является разработанный в США Гарвардский степ-тест. Этот тест рассчитан на оценку работоспособности у здоровых молодых людей, так как от исследуемых лиц требуется значительное напряжение. Гарвардский тест заключается в подъемах на ступеньку высотой 50 см для мужчин и 40 см для женщин в течение 5 минут в темпе 30 подъемов в 1 мин (2 шага в 1 с).
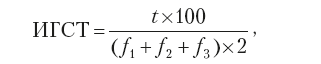
После окончания работы в течение 30 секунд второй минуты восстановления подсчитывают количество ударов пульса и вычисляют индекс Гарвардского степ-теста (ИГСТ) по формуле:

Более точно можно рассчитать ИГСТ, если пульс считать 3 раза – в первые 30 секунд 2-й, 3-й и 4-й минут восстановления; в этом случае ИГСТ вычисляют по формуле:

где t – время восхождения на ступеньку (с); ?1, ?2, ?3 – число пульсовых ударов за 30 секунд 2-й, 3-й и 4-й минут восстановления.
Оценку работоспособности проводят по табл. 7.
Одним из распространенных и точных методов является определение физической работоспособности по величине максимального потребления кислорода (МПК). Этот метод высоко оценивает Международная биологическая программа, которая рекомендует для оценки физической работоспособности использовать информацию о величине аэробной производительности.
Как известно, величина потребляемого мышцами кислорода эквивалентна производимой ими работе. Следовательно, потребление организмом кислорода возрастает пропорционально мощности выполняемой работы. МПК характеризует собой то предельное количество кислорода, которое может быть использовано организмом в единицу времени.
Аэробная возможность (аэробная мощность) человека определяется прежде всего максимальной для него скоростью потребления кислорода. Чем выше МПК, тем больше (при прочих равных условиях) абсолютная мощность максимальной аэробной нагрузки. МПК зависит от двух функциональных систем: кислород-транспортной системы (органы дыхания, кровь, сердечно-сосудистая система) и системы утилизации кислорода, главным образом – мышечной.
Таблица 7
Оценка физической работоспособности но индексу Гарвардского степ-теста (по: И.В. Аулик, 1979)

Максимальное потребление кислорода может быть определено с помощью максимальных проб (прямой метод) и субмаксимальных проб (непрямой метод). Для определения МПК прямым методом используются чаще всего велоэргометр или тредбан и газоанализаторы. При применении прямого метода от испытуемого требуется желание выполнить работу до отказа, что не всегда достижимо. Поэтому было разработано несколько методов непрямого определения МПК, основанных на линейной зависимости МПК и1 ICC при работе определенной мощности. Эта зависимость выражается графически на соответствующих номограммах.
В дальнейшем обнаруженная взаимосвязь была описана простым линейным уравнением, широко используемым с научно-прикладными и учебными целями для нетренированных лиц и спортсменов скоростно-силовых видов спорта:
МПК = 1,7 ?PWC170 + 1240.
Для определения МПК у высококвалифицированных спортсменов циклических видов спорта В.Л. Карпман (1987) предложил следующую формулу:
МПК = 2,2 ? PWC170 +1070.
По мнению автора, и PWC170, и МПК примерно в равной степени характеризуют физическую работоспособность человека: коэффициент корреляции между ними очень высок (0,7–0,9 по данным различных авторов), хотя взаимосвязь этих показателей и не носит строго линейного характера. Тем не менее названные константы могут быть рекомендованы в практических целях для анализа тренировочного процесса.
Более 800 000 книг и аудиокниг! 📚
Получи 2 месяца Литрес Подписки в подарок и наслаждайся неограниченным чтением
ПОЛУЧИТЬ ПОДАРОК