Амбиция и отцовство
В мире животных сексуальное соперничество самцов встречается на каждом шагу. Даже сладкоголосая песня самца соловья – пример этой тяжелой борьбы. Его песня предупреждает других самцов, чтобы они держались подальше от его территории, и привлекает самок. Формирование территорий – один из способов разграничения прав на продолжение рода; другой такой способ – формирование иерархии. Существует вполне определенная связь между властью и сексом; ни одну социальную организацию невозможно верно понять, не зная сексуальные правила и то, как осуществляется забота о потомстве. Даже такой всем известный краеугольный камень нашего общества, как семья, является, по существу, единицей полового воспроизводства. Зигмунд Фрейд, размышляя об истории этой единицы, придумал «первобытную орду», где наши праотцы подчинялись одному-единственному вождю, который ревниво охранял свои половые права и привилегии, не разделяя их ни с кем другим. Этот ревнивый, но харизматичный мужчина, Отец, был в конечном счете убит своими собственными сыновьями, которые разрезали его на куски. Позже возникла новая форма групповой жизни, во главе которой также стоял мужчина, однако эта новая группа была лишь тенью прежней, поскольку «в ней было много отцов, и каждый был ограничен правами других». По Фрейду, мы так и не сумели до конца избавиться от этого образа всемогущего отца, поэтому он продолжает жить в наших табу и религиях.
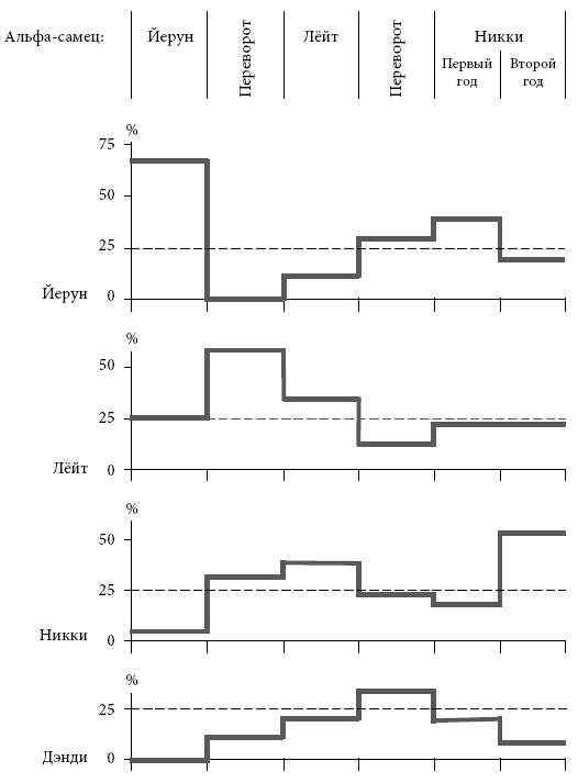
Когда я наблюдаю за шимпанзе в Арнеме, у меня иногда возникает ощущение, что я изучаю первобытную орду Фрейда, словно бы машина времени переместила меня в доисторические времена, чтобы я мог исследовать сельскую жизнь наших предков. Они все еще согласны с droit du seigneur[10] – одним из ныне забытых продуктов западной культуры. Когда Йерун был альфа-самцом, он один отвечал примерно за три четверти всех спариваний. Если не считать половых актов с молодыми самками (которые вызывают не так много соперничества), его доля доходила почти до 100 %. Секс был его монополией в группе. Эта ситуация изменилась, когда Лёйт и Никки восстали против него. Йеруна не разорвали на части, но после этого он уже никогда не смог вернуть себе прежнюю долю половой активности. Кроме того, ни один другой самец не оказался достаточно сильным, чтобы монополизировать самок в течке в той же мере, в какой это удавалось Йеруну в его лучшие времена. С другой стороны, спаривания в период, когда вожаком был Никки, все же не распределялись равномерно между четырьмя самцами группы. Во времена сразу после падения Йеруна сексуальные контакты доставались Никки и прежде всего Лёйту. Доля Йеруна начала расти снова лишь тогда, когда Лёйта сместили (Йерун и Никки), а нового пика она достигла в первый год лидерства Никки; в то время показатель Йеруна был выше, чем у его партнера по коалиции. В следующий год Йеруну пришлось отступить; теперь доля Никки составляла более 50 %. Во все эти годы доля Дэнди оставалась ниже 25 %, если не брать смутных месяцев второго переворота.
В целом существует вполне определенная связь между рангом самца и его частотой спаривания, хотя она и является не строгим законом, а скорее правилом, из которого могут быть исключения. Дело не в том, что самцы с более высоким рангом мужественнее, а в том, что они невероятно нетерпимы к соперникам с более низким рангом – они отгоняют их от самок в течке. Если они застают какого-то другого самца за спариванием, они тут же вмешиваются, набрасываясь на него или его партнершу. Самки хорошо понимают этот риск. Иногда самка постоянно отклоняет приглашения некоторых самцов, словно бы она ими совсем не интересуется. Но потом, когда вся колония уходит вечером в помещение, внезапно появляются возможности для спокойного спаривания, и тут-то и выясняется, что такая самка совсем не прочь спариться с самцами, на которых она холодно взирала весь день. Мы даже видели самок, которые бегут к клеткам самцов, чтобы быстро спариться с ними через решетку. Это происходит, разумеется, только тогда, когда альфа-самец все еще находится снаружи или отделен от них в другой части системы переходов. Если альфа-самец случайно замечает происходящее, он тут же начинает ухать и запугивать их, но не может вмешаться.
Какова причина такой нетерпимости? Почему самцы не могут оставить друг друга в покое? Ревность – лишь половина истории. Остается еще проблема ее функции. Ревность давно бы исчезла с лица земли, если бы напряжение и риски, вызываемые ею, не имели бы какой-то положительной функции. Биологическое объяснение сексуального соперничества самцов выглядит следующим образом. Самку может оплодотворить только один самец. Удерживая других самцов на расстоянии от нее, самец увеличивает вероятность того, что он будет отцом детеныша. Соответственно, детеныши будут чаще рождаться от ревнивых, а не от толерантных самцов. Если ревность передается по наследству, что предполагается данной теорией, будет рождаться все больше детенышей с этой характеристикой, а потом они сами будут пытаться исключать других членов того же пола из акта воспроизводства.

РИС. 4. Частота спаривания
Если общее количество спариваний было бы равномерно распределено между четырьмя взрослыми самцами, на долю каждого приходилось бы 25 %. На самом деле, в 1974–1979 гг. было три периода, когда на долю одного-единственного самца приходилось более половины всех спариваний: сначала это был Йерун, потом Лёйт, когда он стал претендовать на власть, а потом Никки во второй год своего лидерства
Если самцы борются за право оплодотворить как можно больше самок, для самок ситуация выглядит совершенно иначе. С каким бы количеством самцов она ни совокуплялась – с одним или сотней, это не повлияет на число детенышей, которых она родит. Поэтому ревность среди самок не так выражена. Конкуренция самок возникает почти исключительно у видов с парными связями, например, многих птиц и немногих млекопитающих. В этих случаях самки пытаются завоевать или защитить долгосрочные связи с самцом. Хорошим примером выступает наш собственный вид: исследования Дэвида Басса показали, что если мужчины больше всего расстраиваются при мысли о том, что их жена или подруга занимается сексом с каким-то другим мужчиной, женщинам больше всего не нравится мысль о том, что их муж или партнер на самом деле любит другую женщину, независимо от того, был ли у него с ней секс. Поскольку женщины смотрят на такие вещи с точки зрения отношений, их больше волнует возможная эмоциональная связь между их партнером и другой женщиной.
Самцы сосредоточены на сексе и власти. Их стремление к власти проистекает из того, что иерархия самцов определяет сексуальные приоритеты. Если стремление получить более высокий ранг приводит к большему количеству потомства у данного самца, у него родится больше сыновей с той же самой склонностью. Эта теория, объясняющая происхождение мужских амбиций, проста, логична, а потому привлекательна. Но, чтобы доказать ее, нам надо будет провести еще много исследований. Например, важно выяснить, какие именно спаривания приводят к оплодотворению и какие позиции в иерархии занимал тот или иной самец на протяжении своей карьеры, начиная с юного возраста и заканчивая смертью. Связь между рангом и сексом у бабуинов, макак и диких шимпанзе стала в последние годы предметом интенсивных исследований, и доказательства, поддерживающие эту теорию, достаточно сильны, хотя и не являются совершенно бесспорными. Например, сам акт деторождения – это только полдела; после того как детеныши родились, их надо защищать. У доминирующих самцов более подходящее положение для защиты матери и ее детеныша. Не совсем легко сказать, что это – альтернатива старой теории или ее расширение, но ниже приводится несколько примеров отношения самцов колонии Арнема к маленьким детенышам.
Пример 1
Однажды Джеки, которому меньше месяца, забирает у матери против ее воли его «тетушка» Кром. Мать Джимми с воплями и плачем бежит за ней, однако Кром отказывается отдать Джеки, пока Йерун и Лёйт не замечают, что происходит, не подходят к двум самкам и не встают с угрожающим видом перед Кром, демонстрируя себя. Кром поспешно возвращает Джеки его матери.
Пример 2
В другом схожем инциденте Тарзана похищает его «тетушка» Пёйст. Тарзану около года, он устроился на спине Пёйст. Внезапно она взбирается на дерево с детенышем, который что есть сил держится за нее. Когда Пёйст добирается до самой вершины, Тарзана охватывает паника и он начинает кричать, так что наверх бросается и его мать Тепел. Сама она, однако, не решается забраться так высоко, но становится крайне агрессивной. Когда Пёйст снова спускается вниз, и Тепел получает невредимого Тарзана обратно, она набрасывается на гораздо более крупную и доминантную самку. Йерун спешит к ним, обхватывает Пёйст вокруг груди и оттаскивает ее на несколько метров.
Это вмешательство особенно интересно тем, что в других случаях Йерун всегда выступал на стороне Пёйст. Но на этот раз он согласился, если можно так сказать, с протестами матери и сменил обычные для себя предпочтения.
Пример 3
Прежде чем начать эксперимент по усыновлению с Гориллой и Розье, мы решили показать Розье колонии через окно на нашей смотровой площадке. Розье не было в течение шести недель. Вся колония взрывается криками и собирается под окном. Наиболее ожесточенную реакцию мы получаем от Йеруна, который обычно вообще не реагирует на наши действия. Он возбужденно прыгает и бросает в нас песок и палки. В течение трех недель он продолжает проявлять агрессию по отношению к Монике, киперу, независимо от того, с Розье она или без. Йерун – единственный член группы, который так себя ведет. Как только мы вручаем малышку Горилле, он снова становится дружелюбным. Мы делаем вывод, что Йерун был против того, чтобы мы, люди, держали младенца шимпанзе.

Лёйт (справа) сидел рядом с привлекательной самкой (слева), но теперь, когда его отогнал Никки, заняв его место, он принялся пристально изучать свои ногти
Пример 4
Через несколько месяцев, когда мы запускаем Гориллу и ее приемного детеныша в колонию, мы сначала проводим ее утром мимо клеток, перед тем как выпустить шимпанзе из их спальных помещений, чтобы оценить реакции отдельных членов группы. Агрессивно реагирует не только Кром, биологическая мать Розье, но и Никки. Проблему с Кром мы решаем тем, что пускаем к ней Маму; ее присутствие тут же успокаивает ее. С Никки ситуация сложнее. Прежде всего мы выпускаем всю группу, кроме Никки. Этот этап внедрения проходит без проблем. Когда чуть позже выпускают Никки, Йерун и Лёйт объединяют силы, обхватив друг друга за плечи, и формируют барьер между Никки и Гориллой. Никки, являющегося к этому времени альфа-самцом, прогоняет временная коалиция двух других самцов. Никки с криками бежит к Маме, а затем обнимает Гориллу и целует Розье. Вполне возможно, что этот самец представлял смертельную угрозу для младенца, если судить по тому, что нам известно сегодня (двадцать лет спустя) о детоубийстве у разных видов: иногда взрослые самцы убивают новорожденных[11].
Эти примеры иллюстрируют то, что самцы придают безопасности маленьких детенышей огромное значение. Эта установка на защиту больше выражена у двух более старых самцов, чем у двух более молодых. И это может опять же объясняться тем, что у старых самцов больше потомства. Они не знают, какие дети их, однако предоставляемая ими защита увеличивает шансы на выживание для всех их возможных отпрысков.
Но остается одна проблема. Если бы я должен был определить, какой из самцов наиболее амбициозен и ревнив, я бы сказал, что это Йерун. А если вопрос в способности и желании защищать, я, выбирая между Йеруном и Лёйтом, снова назвал бы Йеруна. Предполагается, что эти характеристики связаны с успешным воспроизводством. А потому весьма примечательно, что Йерун выигрывает по обоим этим показателям, хотя, как мы знаем, несмотря на частые совокупления (нередко заканчивающиеся эякуляцией), он из-за своего физического недостатка вообще не может оплодотворять самок. Все его усилия тщетны.
На первый взгляд может показаться, что его случай опровергает нашу теорию.
Но на самом деле это не так, поскольку Йеруну не известна окончательная цель отцовства. Он не знает, что самцы могут воспроизводиться, поскольку животные не осознают связь между сексом и деторождением. Они спариваются только ради удовольствия, и они проявляют амбиции, ревность и способности защитников, не понимая, что все это может послужить их потомству. Даже если функция их поведения и причина его эволюционного развития заключается в помощи их потомству, они сами признают лишь некоторые подцели: высокий ранг; большее число спариваний, чем у других членов группы; безопасную среду для всех детенышей группы. Бессознательно они служат главной цели всех живых существ. То, что даже такой импотентный самец, как Йерун, делает все это, иллюстрирует слепоту влечения к воспроизводству.
Более 800 000 книг и аудиокниг! 📚
Получи 2 месяца Литрес Подписки в подарок и наслаждайся неограниченным чтением
ПОЛУЧИТЬ ПОДАРОК