11.4. Особенности и проблемы сотрудничества Алтая и Монголии
Российско-монгольская граница (ее длина почти 3500 км) – вторая по протяженности на территории Азиатской России. В настоящее время она оборудована 10 пунктами пропуска: 8 автомобильными и 2 железнодорожными. На западном участке 288,7 км приходится на границу между Республикой Алтай и Баян-Ульгийским и Увским аймаками, где в Кош-Агачском районе Республики Алтай расположен КПП «Ташанта– Цаганнуур» – в настоящее время один из самых оборудованных постов на западном участке границы с Монголией.
Первые упоминания о таможне, таможенном пикете на территории Горного Алтая относятся к 1890-м гг. Вплоть до 1917 г. таможня находилась в Кош-Агаче [http://www.mountain.ru/artide/artide_display1.php?article_id=1003].
После революции и Гражданской войны в связи с тяжелой криминогенной обстановкой на Чуйском тракте таможня вынуждена была дислоцироваться в г. Бийске, а затем – в с. Онгудай. Лишь в 1924 г. она возвращается в с. Кош-Агач и размещается в помещениях бывшей царской таможни. 15 мая 1926 г. распоряжением Сибирского районного таможенного инспектора учреждается временный передовой таможенный пункт «Ташанта» с подчинением Кош-Агачской таможне. В августе 1927 г. было заложено строительство здания таможни в урочище Ташанта закончено в 1933 г., таможня из Кош-Агача переводится в Ташанту, где и находилась до ноября 2002 г.
С 1926 г. таможня переименовывается в Ташантинскую, а после перевода в 2002 г. в г. Горно-Алтайск она приобретает статус таможенного поста. В 2002 г. была осуществлена реконструкция пункта пропуска «Ташанта», построен современный комплекс зданий и сооружений МАПП «Ташанта», который осуществляет пропуск людей и груза ежедневно кроме субботы и воскресенья с 09.00 до 18.00.
Дорога от российского пункта пропуска до монгольского проходит через перевал Дурбэт-Даба (2400 м), ширина нейтральной полосы составляет 23 км. На самом перевале установлены пограничные столбы, как старые, еще с советских времен, так и современные, шлагбаум, у которого российские пограничники проверяют документы и останавливают машины, следующие со стороны Монголии, если российский терминал перегружен. Сразу за шлагбаумом асфальтовая дорога заканчивается, и начинается дорога грунтовая.
На КПП существует правило: на нейтральной полосе никто не должен оставаться. Пересечь границу необходимо до закрытия терминалов, в противном случае на следующий день вновь происходит вся процедура оформления документов[15].
Ташантинский пропускной пункт разделяет, вернее, соединяет две муниципальные территории, связанные не только границей, но и достаточно тесными родственными связями. И в Кош-Агачском районе (около 55 % жителей) Республики Алтай, и в аймаке Баян-Ульгий проживают казахи (более 90 %), заселившие эти территории в конце XVIII – начале XIX вв. и до сих пор тесно связанные социокультурными и родственными связями.
Кош-Агачский район (Республика Алтай, Россия)
Расположен в высокогорьях Юго-Восточного Алтая. Площадь территории района составляет 19 845 км2, или 21,31 % от общей площади республики, а численность населения – всего 8,8 %, плотность населения – 0,9 чел./км2. Основную часть населения составляют казахи – 54,7 %, алтайцы-теленгиты – 39,7, русские – 4,7 %. Алтайцы и казахи трудятся главным образом в сельскохозяйственном производстве, русское население занято преимущественно в промышленном секторе и в основных отраслях инфраструктуры.
Это самый высокогорный район Республики Алтай. Большая абсолютная высота рельефа, закрытость горами от проникновения с запада влажных потоков воздуха близость к центру Азиатского антициклона – важнейшие факторы формирования здесь микроклимата. Климат резко континентальный с сильными суточными колебаниями температур и влажности, высокой инсоляцией, коротким вегетационным периодом, низкой увлажненностью.
В почвенном покрове Юго-Восточного Алтая преобладают светлокаштановые почвы опустыненных степей и горно-тундровые почвы. Все почвы маломощные. Крайне ограниченные ресурсы тепла и влаги на территории района создают большие сложности для ее сельскохозяйственного освоения.
Неудивительно, что продукция растениеводства составляет в районе всего 2,3 %, а в общем объеме производства республики – 1 %. Вся продукция растениеводства в Кош-Агачском районе представлена кормовыми культурами – однолетними и многолетними травами.
Преобладающим в районе является животноводство. Основное направление – производство мяса – говядины, баранины, а также шерсти, шкур животных, козьего пуха.
Переработка сельскохозяйственной продукции в районе практически отсутствует, основная часть произведенного мяса вывозится за пределы района и республики. Полностью вывозятся шерсть и козий пух, а также шкуры животных.
В конце XX– первые годы XXI в. в с. Кош-Агач было начато строительство мясокомбината ООО «Баян-Кем-Кош» – совместного российско-монгольского предприятия. Были построены забойный и холодильный цеха с морозильной камерой. В настоящее время строительство приостановилось по причине отсутствия инвестиций, комбинат не используется даже для забоя, поскольку здесь не были построены очистные сооружения и не выполнены другие санитарно-эпидемиологические требования Роспотребнадзора. Завершение строительства мясокомбината с полным циклом переработки и строительство предприятия по переработке шерсти в окрестностях с. Курай с привлечением сырья из соседних Улаганского и Онгудайского районов, а также из западных аймаков Монголии позволит существенно усилить экономические позиции Кош– Агачского района и прилегающих территорий.
Переработка молока может быть организована в с. Джазатор благодаря созданию небольшого модуля по производству масла животного и/ или классических сыров.
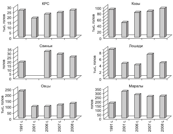
Развитие Кош-Агачского района основано на традиционных подходах к хозяйственному укладу и базируется на мясном скотоводстве (в том числе яководстве), табунном коневодстве и овцеводстве. Эта специализация сохранится и в дальнейшем, но на новом технологическом уровне – предусматривается проведение селекционно-племенной работы, изменение структуры и породного состава стада (рис. 11.7).

Рис. 11.7. Поголовье скота во всех категориях хозяйств Кош-Агачского района Республики Алтай.
В настоящее время можно отметить активизацию горно-рудного производства, полным ходом идет освоение молибден-вольфрамового месторождения «Калгутинское», проводятся (как отмечалось выше, раздел 3) подготовительные мероприятия к освоению Каракольского кобальтового и Асгатского серебряного месторождений. Последнее находится на границе с Монголией, его освоение в перспективе предполагает монгольское участие.
Кош-Агачский район уникален с позиций трансграничности, так как занимает пограничное положение не только с Монголией, но и с Китайской и Казахской республиками. Из сибирских регионов непосредственно граничит с Республикой Тывой. Это самый отдаленный район Республики Алтай, он связан с другими районами республики, сибирскими регионами и с Монголией автодорогой федерального значения – Чуйским трактом. Связь с Тывой осуществляется из Кош-Агачского района неофициальной проселочной дорогой. Соглашением о сотрудничестве между Республиками Алтай и Тыва предусматривается строительство дороги межрегионального значения, в чем весьма заинтересована администрация Монгун-Тайгинского района Республики Тывы, торговые интересы которого ориентируются на с. Кош-Агач.
Перспективы социально-экономического развития Кош-Агачского района достаточно надежные благодаря его геополитическому положению, наличию месторождений полезных ископаемых.
Аймак Баян-Ульгий (Монголия)
Расположен в высокогорных районах Западной Монголии, его территория 45,8 км2. Население в 2006 г. составляло 95,2 тыс. чел., из них 91 % – казахи, здесь проживают также урянхайцы, дербеты, тувинцы и халхинцы. Основная часть населения исповедует ислам, на территории аймака в 2006 г. было расположено 24 мечети и лишь в 2004 г. был открыт буддийский храм. Плотность населения здесь – 2,08 чел./км2, что соответствует средней плотности в Республике Алтай, и в 2,3 раза выше, чем в Кош-Агачском районе. Район образован из 13 сомонов и одного города – г. Улгий (центра аймака).
Здесь находится наивысшая точка Монгольского Алтая – «Пик дружбы», или Табын Богдо Ула – «пять вершин», высота – 4374 м. Пик дружбы находится на пересечении границ Монголии, России и Китая, почитается как «священная гора» у алтайцев, казахов и монголов. Кроме того, на территории аймака расположены такие крупные горные массивы, как Цаст, Цамбогарав, Мунх Хайрхан, Херх серх и др. Климат – резко континентальный, с длительной сухой зимой. Осадков выпадает в среднем около 102,6 мм в год, с летними максимумами, на отдельных высокогорных территориях выпадает до 400–500 мм.
На его территории насчитывается около 30 озер, среди них такие крупные, как Хотан, Хорган, Даян-Нур, Хаар-Нур, Толбо и др. Здесь протекает и более 400 рек, ручьев и родников, в том числе обладающих термальными и иными лечебными свойствами. Самой крупной является р. Ховд, имеющая важное народнохозяйственное значение для всей Западной Монголии. Реки и озера аймака характеризуются высоким рыбохозяйственным потенциалом (здесь водятся такие редкие виды рыб, как монгольский хариус и осман). В горах встречаются архары, горные козлы, снежный барс, улар. Такое биоразнообразие привлекает туристов со всех стран мира. В регионе разрешена в ограниченном количестве лицензионная охота на архаров, горных козлов, оленей и медведей; однако фактический отстрел превышает установленную норму, нередкими являются случаи браконьерства. В настоящее время в регионе с помощью WWF и GEF/UNDP разрабатываются и внедряются новые принципы и методы вовлеченности местных жителей в процесс сохранения биоразнообразия, создания альтернативных средств жизнеобеспечения Аймак Баян-Ульгий относится к слаборазвитым территориям Монголии. В табл. 11.2 приведены лишь несколько цифр, отражающих в целом крайне низкий уровень жизни населения аймака (табл. 11.2).
Таблица 11.2 Обеспеченность населения аймака Баян-Ульгий в 2006 г. энергетическими установками и другими средствами механизации (количество единиц на одну семью)

По объему среднедушевого производства ВРП аймак Баян– Ульгий в 2,55 раз уступает средним монгольским показателям.
Динамика данного показателя приведена на рис. 11.8, она отражает продолжающееся отставание аймака по темпам роста ВРП на душу населения. Аймак характеризуется жестко выраженной сельскохозяйственной – животноводческой – специализацией. В сельском хозяйстве производится от 56,8 % в 2002 г. до 71,7 % ВВП – в 2006 г. Около 7 % ВВП производится в сфере образования, растет удельный вес финансовых организаций, в 2006 г. он составил 5,8 % против 1,4–1,6 % в 20042005 гг. Значим, но сокращается удельный вес оптово-розничной торговли, который от 12 % в 2003 г. (max) снизился до 4,5 % (min) в 2006 г.

Рис. 11.8. Динамика среднедушевого показателя ВРП в аймаке Баян-Ульгий (Монголия).
Животноводческая специализация сельского хозяйства в аймаке – это не столько дань ментальности казахов и монголов – скотоводов, сколько результат природообусловленности, здесь преобладают горные территории с сухими степными среднегорными ландшафтами. Основная территория аймака занята пастбищными угодьями, площадь посевных площадей несоизмеримо мала, в 2006 г. составляла 435,3 га, занята преимущественно под выращивание картофеля – 73,8 % пашни и кормовых культур – 24,1 %, а оставшаяся часть пашни – 2,1 % (8,9 га) занята под овощные культуры (рис. 11.9).

Рис. 11.9. Посевные площади в хозяйствах всех категорий аймака Баян-Ульгий (Монголия).
В то же время аймак Баян– Ульгий занимает одно из первых мест в Монголии по поголовью скота, и первое – по его плотности на единицу площади (рис. 11.10).

Рис. 11.10. Динамика численности поголовья скота в аймаке Баян– Ульгий.
Допустимые нормы выпаса на отдельных площадях превышены в 3 раза, что ведет к развитию пастбищной дигрессии, а также к высокому уровню заболеваемости и падежа скота. Животноводство в Монголии крайне не стабильно, суровые зимы 1998, 2000, 2001 и 2002 гг. сопровождались потерями значительного поголовья скота и снижением уровня жизни пастухов. Жаркое лето 2008 г. привело к выгоранию пастбищ и сенокосных угодий, вследствие чего можно с высокой вероятностью предположить снижение поголовья скота, и потерю денежных доходов населением.
Следует отметить, что распад коллективных форм хозяйствования и передача скота в частные руки привели к падению культуры животноводства, отказу или сокращению искусственного осеменения, вакцинации и профилактики заболеваний скота (рис. 11.11).

Рис. 11.11. Динамика производства мяса в аймаке Баян-Ульгий.
Туризм в Монголии еще не стал экономически значимой отраслью экономики, основное число приезжающих – это исследователи природных и археологических комплексов, множество которых сохранилось как на территории Монголии в целом, так и на территории аймака Баян– Ульгий. Данная территория представляет интерес и для природоохранных организаций, здесь давно и успешно работают WWF, UNDP/GEF и другие неправительственные организации.
Интеграционные связи Кош-Агачского района (Республика Алтай, Россия) и аймака Баян-Ульгий (Монголия)
Одним из приоритетов социально-экономического развития Кош– Агачского района России и аймака Баян-Ульгий Монголии может стать использование ими своего геополитического положения.
Социокультурные связи. Мы уже отмечали, что между населением Кош-Агачского района Республики Алтай и аймаком Баян-Ульгий существуют тесные родственные связи. Для их жителей установлена упрощенная процедура прохождения границы, наличие местной прописки является достаточным основанием для ее безвизового пересечения. Но пока эти связи осуществляются преимущественно на культурно-бытовом уровне. Проводятся совместные фестивали, конкурсы, люди приезжают друг к другу в гости. Между муниципальными образованиями двух стран достигнуты соглашения о сотрудничестве, однако дальше подписания этих документов и дружественных обменов сотрудничество практически не осуществляется.
Торгово-экономические связи. Начатый проект совместного освоения Асгатского серебряного месторождения пока не реализован. Экономические связи между рассматриваемыми регионами остаются преимущественно на уровне намерений, хотя реконструкция Ташантинского погранично-таможенного пункта пропуска и придание ему статуса международного послужили некоторым стимулом для активизации международной торговли между сибирскими регионами Российской Федерации, МНР и КНР, но это в основном на региональном, а не локальном уровне.
Вместе с тем сегодня можно отметить некоторое экономическое оживление грузопотоков в Монголию и в обратном направлении, что оказывает положительное влияние на развитие придорожной торговли и сферы обслуживания в с. Кош-Агач и других селах, расположенных по Чуйскому тракту. Вероятность дальнейшего развития международной торговли достаточно высока, если учесть, что Правительством МНР принято решение о строительстве дороги от приграничного пункта Цаган-нур через аймаки Баян-Ульгий и Ховд до погранично-таможенного пункта Булган на монгольско-китайской границе. В 2008 г. в Монголии запланирован ввод в строй более 1500 км автомобильных дорог с твердым покрытием, в том числе автодороги Цаган-Нур-Баян-Ульгий (40 км) [http://www.montsame.mn]. Имеются предложения Казахстана о строительстве автодороги через территорию России для расширения торгово-экономических связей с Монголией [http://www.inform.kz].
Строительство международной автомагистрали в Китай
Решение о начале строительства международной автомагистрали из китайского г. Алтай до г. Баян-Ульгий (Монголия), а затем к российской федеральной трассе М-52 до КПП «Ташанта» было принято в июне 2008 г. на рабочей встрече делегаций аймака Баян-Ульгий Монголии и Синьцзян-Уйгурского автономного района (СУАР) КНР на погранпункте «Даян улан уул» на монголо-китайской границе. На X заседании российско-китайского Координационного совета по межрегиональному торгово-экономическому сотрудничеству летом 2008 г. стороны договорились о развитии транспортной инфраструктуры и строительстве «зеленого коридора» через Монголию. Однако несмотря на достигнутые договоренности и начало строительства «зеленого коридора», китайская сторона по– прежнему настойчиво поднимает вопрос о строительстве прямого транспортного сообщения [http://www.altaiinter.info//vn.ru], вопрос о котором неоднократно поднимался между правительствами Российской Федерации и Китайской Народной Республики, начиная с 1990-х гг. Отношение России к данному проекту скорее негативное, и этому есть ряд объективных и субъективных причин.
Прямые международные связи намного выгоднее, чем через третьи страны, с учетом сокращения трансакций и времени движения товаров и услуг к потребителю. По экспертным оценкам, нижняя граница казахского реэкспорта российских товаров в 2000 г. составляла 435 млн дол. США (весом 758 тыс. т), упущенная Россией таможенная пошлина – около 15 млн руб., и это без учета реимпорта [Ковалева, 2002]. В последующие годы объемы ВТО России и Китая возросли, значит, увеличился и размер упущенной таможенной пошлины.
СУАР – сегодня одна из наиболее динамично развивающихся провинций Китая, за январь-август 2008 г. по сравнению с аналогичным периодом 2007 г. объем промышленного производства увеличился на 15,3 %, растет и доля экспорта СУАР, удвоился прирост объема экспорта продукции машиностроения, электротехнической промышленности, транспортных средств, медтехники и т. д. [http://www.vn.ru]. Китайские партнеры и не скрывают своей однозначной заинтересованности в сибирских рынках сырья, труда, готовой продукции, только при покупке леса 30 % цены добавлено в Казахстане. Например, заместитель начальника департамента коммерции провинции Хэйлунцзян Чжао Вэньхуа заявил, что «уже имеющиеся многочисленные предприятия с китайскими инвестициями в РФ, занимающиеся, прежде всего, лесопереработкой, строительством и выращиванием овощей, испытывают острую нехватку рабочих рук. Если российская сторона хочет привлечения китайских капиталовложений, необходимо увеличить квоту для китайской стороны, а также упростить и удешевить процедуру оформления документов». Но контраргументом данному заявлению являются оценки международного партнерства с китайским бизнесом, данные начальником управления внешнеэкономических связей и торговли Амурской области Александром Кивалом, отметившим, что в настоящее время на территории области зарегистрировано более сотни предприятий с китайскими инвестициями, но доля их капиталовложений составляет менее 3 % от общего объема иностранного капитала: «Практика показывает, что китайские партнеры очень быстро утрачивают интерес к совместным инвестиционным проектам». Он считает, что главными причинами такого положения дел является, например, неготовность китайской стороны исполнять требования экологических норм, откровенная ориентация на вывоз сырья, а не на его переработку в России [Там же]. Вряд ли есть основания полагать, что экономическое поведение китайских партнеров в Западной Сибири будет заметно отличаться от дальневосточных стереотипов. И тут очень важен этап заключения контрактов, полнота оговоренных условий и санкций за их несоблюдение. Одним из правовых оснований для регулирования транспортных потоков может служить двустороннее соглашение между Китаем и Россией (распоряжение от 29.05.2001 № 746 о перевозке грузов в рамках взаимной договоренности до установленных пунктов).
С экологических позиций вопрос также не однозначен. С одной стороны, строительство прямого сообщения возможно лишь при обязательном пересечении, как минимум, объекта мирового природного наследия – Зоны покоя «Укок», расположенного на крайнем юге Кош– Агачского района у границы с Китаем, Монголией и Казахстаном. Площадь зоны покоя – 2549,04 км2, создана она в 1994 г. Она выполняет функцию сохранения значительной части генофонда редких видов животных и растений Республики Алтай, что требует контроля за режимом природопользования в данном регионе. Статус ОВПН, конечно, ограничивает, вернее регламентирует, хозяйственную деятельность на территории объекта, но не запрещает ее. Другое дело, что любое новое привнесенное воздействие необходимо согласовывать с ЮНЕСКО, но объект мирового природного наследия функционирует в рамках правового поля своей страны, это во-первых, а Зона покоя «Укок» до недавнего времени имела весьма неопределенный статус временной особо охраняемой природной территории, лишь в 2005 г. здесь был учрежден природный парк с одноименным названием и с вытекающими из этого статуса функциями. Одной из целей его создания является сохранение генофонда редких видов животных и растений Республики Алтай (в том числе снежного барса, алтайского горного барана и др.). Однако статус данной охраняемой территории, в отличие от заповедников, допускает осуществление и таких видов деятельности, как экологический туризм, традиционное пастбищное животноводство и т. д. На территории парка сконцентрированы археологические памятники различных эпох, начиная от палеолита (одной из наиболее известных находок является захоронение «Алтайской принцессы»), они посещаются не только учеными, но и любителями экстремальных видов туризма.
В мировой практике имеются примеры строительства автомобильных дорог через объекты природного наследия (в частности, в Северной и Южной Америке, других регионах). Инженерное решение такого строительства вполне реально, но его целесообразность и социально-экономическое обоснование будет зависеть от политической воли стран-участниц.
Строительство дороги, с одной стороны, откроет доступ к природным и археологическим достопримечательностям Укока, а с другой – позволит регламентировать транспортные потоки и ограничить браконьерство в этих труднодоступных местах. В настоящее время уникальные низменные ландшафты между моренными комплексами Укока и хребтами Южного Алтая покрыты, как шрамами, следами тяжелых машин и тракторов. Строительство автодороги напрямую связано с проектом прокладки газопровода «Алтай», который активно обсуждается в последние два-три года и не вызывает резкого неприятия ни у экологической, ни у политической элиты Республики Алтай, хотя обязательным элементом сопровождения газопровода является дорога, как правило, 4-й категории. Кроме того, строительство газопровода, на наш взгляд, – это лишь трасса для перетока газа, оно еще не влечет инфраструктурного обустройства прилегающих территорий, как это было бы возможно в случае создания современного транспортного коридора, обеспечивающего перевозку грузов и пассажиров, логистического и придорожного сервиса.
Более 800 000 книг и аудиокниг! 📚
Получи 2 месяца Литрес Подписки в подарок и наслаждайся неограниченным чтением
ПОЛУЧИТЬ ПОДАРОК