Зеленое живое вещество
§ 46. По сравнению с силой размножения, с геохимической энергией живого вещества, массы его, находящиеся в каждый момент в биосфере, — 1020 - 1021 г — являются небольшими.
Эти массы генетически связаны в своем существовании с зеленым живым веществом, единственным способным захватывать лучистую энергию Солнца.
К сожалению, наши современные знания не позволяют учесть, какую часть всего живого вещества составляет зеленый мир растений. Можно пока дать лишь очень приблизительное понятие о количественной стороне явления.
Нельзя утверждать, что количественно по своей массе зеленое живое вещество преобладает на всей поверхности Земли, но, по-видимому, оно преобладает на суше. В океане обычно считается, что количественно — по массе — преобладает животная жизнь. Если даже животная — гетеротрофная — жизнь преобладает в конце концов в массе всего живого вещества, то это преобладание не может быть очень велико.
Не разделяется ли живое вещество на две половины или почти на две половины по весу: на зеленое автотрофное и на его порождение — гетеротрофное? Ответить на этот вопрос мы не умеем.
Но, во всяком случае, несомненно, что уже одно зеленое живое вещество дает массы того же порядка — 1020 - 1021 г, какие отвечают всему живому веществу.
§ 47. Строение этого зеленого трансформатора солнечной энергии на суше и в море резко различно. На суше преобладает травяная явнобрачная растительность, древесная составляет по весу значительную, может быть близкую ей, часть; зеленые водоросли и другие тайнобрачные, особенно протесты, отходят на задний план. В океане преобладают одноклеточные микроскопические зеленые организмы; травы, как Zostera, и большие водоросли составляют по весу небольшую часть растительной жизни; они сосредоточены у берегов и в более мелких местах, куда проникает солнечный луч; их плавающие скопления, как скопления саргассов в Атлантическом океане, теряются в общей безмерности морских пределов.
Зеленые метафиты преобладают на суше; из них наиболее быстро размножаются — обладают большей геохимической энергией — травы. Скорость передачи жизни древесной растительности, по-видимому, меньше. Зеленые протесты преобладают в океане.
Скорость V для метафитов едва ли превышает сантиметры в секунду, для зеленых протистов она достигает тысяч сантиметров, т. е. превышает в сотни раз силу размножения метафитов.
Это явление резко характеризует различие жизни моря и суши. Хотя в море зеленая жизнь, может быть, и менее господствует, чем та же жизнь суши, но общее количество зеленой жизни в океане благодаря его преобладанию над сушей на нашей планете по массе превышает растительность суши.
Зеленые протисты океана являются главными трансформаторами световой солнечной энергии в химическую энергию нашей планеты.
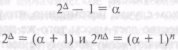
§ 48. Можно выразить разный энергетический характер зеленой растительности суши и моря в точных числах и иначе. Формула 2nD = Nn (§ 32) дает нам приращение организма в сутки (а) при размножении; беря один исходный организм, мы имеем, для него (в первый день, когда n = 1):
Откуда
Величина а есть постоянная для каждого вида; она определяет суточное приращение количества неделимых, сведенное к одному неделимому, т. е. указывает увеличение в каждые сутки одного неделимого.
Величина (a + 1 )n, очевидно, определяет количество неделимых, создаваемое размножением в n-й день: (a + 1)n = Nn
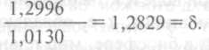
Значение этих чисел видно на следующем примере. По М. Ломану, среднее размножение планктона (учитывая его гибель и поедание) может быть выражено константой а + 1, равной 1,2996. Та же постоянная для среднего урожая пшеницы во Франции равна 1,0130. Эти величины отвечают среднему идеальному суточному значению одного организма пшеницы и планктона после одних суток размножения. Отношение количеств неделимых планктона и пшеницы в первый день от начала размножения равно таким образом:

С каждым следующим днем это отношение будет расти согласно степени 5, т. е. будет в n-й день выражаться величиной 8n.
Для 20-го дня величина равна 145, 9, а для сотого дня количество неделимых планктона в 6,28 • 1010 раз должно быть больше количества неделимых пшеницы. В годовой оборот, после которого временно замирает развитие пшеницы, эта разница — d365 — достигает астрономической цифры 3,1 • 1039. Конечно, при таком различии темпа размножения разница в весе взрослого травянистого растения суши, весящего сотни граммов, т. е. n • 102 г, и микроскопического организма планктона, весящего немногие многомиллионные доли грамма (n • 10-6 - n • 10-10 г), исчезает.
Зеленое организованное вещество моря достигает этого результата благодаря быстроте оборота своего вещества. Сила, в нем заложенная солнечным лучом, позволила бы ему создать в десятки дней, в 50-70 дней, а может быть и меньше, массу вещества, равную по весу земной коре (§ 44). То же предельное количество вещества могла бы дать травяная растительность суши в несколько лет — Solanum nigrum например в пять лет.
Необходимо иметь в виду, что эти числа не могут быть количественно сравнимы для выражения роли в биосфере зеленой травяной растительности и зеленого планктона.
Для такого сравнения надо их брать в одинаковые промежутки времени от начала процесса, причем различие быстро увеличивается с ходом времени. В то время как Solarium nigrum в пять лет дал бы 2 • 1025 г вещества, зеленый планктон должен был бы дать в этот промежуток времени количества, которые трудно выразить понятными нам числами. В следующий, значительно меньший промежуток времени создания того же количества вещества травяной растительностью зеленый планктон дал бы еще большие, еще менее вообразимые числа.
§ 49. Эта разница между зеленым живым веществом суши и моря не является случайностью. Она производится солнечным лучом, связана с различным его отношением к жидкой прозрачной воде и к твердой непрозрачной земле. Быстро размножающийся, т. е. обладающий несравнимо большей энергией в биосфере, мир планктона характеризует не только океаническую жизнь — он характерен для всякой водной жизни по сравнению с жизнью суши.
Величина dn может дать понятие о различной энергии сравниваемых живых веществ, но геохимически их энергия проявляется еще в массе, в весе создаваемых неделимых. Масса создаваемого живого вещества определяется произведением количества его неделимых на средний их вес р, т. е.

Только в случае, когда мелкие организмы могут реально дать в биосфере большую массу вещества, они будут, согласно общим принципам энергетики, поставлены в ней в более выгодное положение, чем организмы крупные.
Ибо всякая система достигает устойчивого равновесия, когда ее свободная энергия равняется нулю или к нему приближается, становится наименьшей возможной в данных условиях, т. е. когда вся возможная в условиях системы работа произведена. Мы увидим, что все процессы биосферы — и вообще земной коры - и их общий облик обусловливаются условиями равновесия механических систем, к которым они могут быть сведены.
Одну из таких систем представляет солнечный луч (солнечная радиация) в сочетании с живым зеленым веществом биосферы. Эта система будет в биосфере в устойчивом равновесии, когда солнечный луч совершит в ней максимальную работу, создаст наибольшую возможную массу зеленых организмов.
На суше солнечный луч не может глубоко проникать в ее вещество; он всюду встречает непрозрачные для него тела, и слой создаваемого им зеленого живого вещества очень тонок.
Крупные растения — травы и деревья — в таких условиях имеют все преимущества для своего развития перед зелеными протистами.
Они достигают создания большего количества живого вещества, чем протисты, хотя и производят его в большее количество времени. Но эта их работа в условиях среды суши возможна. Одноклеточные организмы достигают через короткое уже время возможного для них предела развития — стационарного состояния (§ 37), и в системе "солнечный луч — суша" являются неустойчивой формой, так как травяная и древесная растительность суши, несмотря на меньший запас энергии своего механизма, может в этих условиях производить большую работу, дать большее количество живого вещества.
§ 50. Мы на каждом шагу видим отражение этого явления. Ранней весной, когда жизнь пробуждается в наших степях, степи покрываются в короткое время тонким слоем одноклеточных водорослей, главным образом быстро растущими большими ностоками. Этот зеленый покров быстро исчезает, сменяется медленно растущею, обладающею меньшей геохимической энергией травяною растительностью, так как благодаря свойствам непрозрачного твердого вещества суши трава, а не стоящий впереди нее по геохимической энергии носток является неизбежно в конце концов господствующей. Кора деревьев, камни и почва покрываются всюду чрезвычайно быстро растущими протококками. Во влажные дни они в немного часов дают из весящей миллионные доли грамма клетки дециграммы или граммы вещества. Дальше их развитие не идет даже в самых благоприятных условиях, в странах влажного климата. Так, в платановых рощах Голландии стволы деревьев покрыты постоянным сплошным покровом протококков, находящихся в неизменном равновесии, ибо рост их дальше не идет из-за непроницаемости для света несущего их тела. Совсем в ином положении находятся их водные родичи, свободно развивающиеся в прозрачной среде сотен метров мощностью.
Наши травы и наши деревья суши создали всю свою форму, как увидим, выдвинувшись в прозрачную воздушную среду. Во всем их облике, во всем бесконечном разнообразии их форм мы видим то же самое стремление дать максимум работы, получить максимальную величину живого веса. Они нашли для этого новый путь, захватывая новую среду жизни — тропосферу.
§51. В океане, в воде, условия совершенно другие. Здесь солнечный луч проникает на сотни метров, и с помощью своей большей, чем для зеленых трав и деревьев, геохимической энергии зеленая одноклеточная водоросль имеет возможность создать в один и тот же промежуток времени количества живого вещества, несравненно большие, чем может дать их в это время зеленое вещество суши.
Здесь использование энергии солнечного луча чрезвычайное, и здесь устойчивой формой жизни является мельчайший зеленый организм, а не крупное растение. И в связи с этим — благодаря тем же причинам — здесь наблюдается исключительное обилие животной жизни, быстро поедающей зеленый планктон и позволяющей ему этим путем превращать в живое вещество все большее и большее количество лучистой солнечной энергии.
§ 52. Мы видим, что солнечный луч — носитель космической энергии — не только возбуждает механизм ее превращения в химическую — земную, но и создает саму форму трансформаторов, которая является нам в виде живой природы. Космическая сила придает ей разный вид на суше и в воде, и она же меняет ее структуры, т. е. определяет количественные соотношения, существующие между разными автотрофными и гетеротрофными организмами. Всюду эти явления, подчиненные законам равновесия, неизбежно должны выражаться числами, которые нам едва начинают становиться известными.
Эта космическая сила вызывает давление жизни, которое достигается размножением (§ 27). В нем мы в действительности видим передачу солнечной силы на земной поверхности.
Это давление мы, в сущности, постоянно чувствуем в нашей культурной жизни. Человек, меняя девственный облик природы, освобождая некоторые места поверхности суши от зеленой растительности, должен всюду давлению жизни противопоставлять усилие, тратить энергию, ему равную, нести труд. Как только человек перестал бы тратить на это силы и средства, сейчас бы все его лишенные зеленой растительности сооружения скрылись бы в массе зеленых организмов. И сейчас всюду, где можно, они захватывают отнятую от них человеком площадь.
Это давление сказывается во всюдности жизни. Области, совсем и всегда ее лишенные, нам неизвестны; на самых твердых скалах, в снежных и ледяных полях, в пустынных песчаных и щебневых областях мы всегда встречаемся с проявлением жизни. Механически сносятся туда неподвижные растительные организмы, постоянно зачинается и прекращается микроскопическая жизнь, заходят, живут и останавливаются в них самостоятельно передвигающиеся животные.
Иногда в этих областях мы имеем даже сгущения жизни, богатые ее области, но это не зеленый мир трансформаторов. Птицы, звери, насекомые, паукообразные, бактерии, изредка зеленые протесты составляют население этих кажущихся нам безжизненными областей.
По отношению к зеленому миру растений они действительно являются азойными. Наряду с ними в этом отношении должны быть поставлены временные прекращения зеленой жизни в областях наших широт, в снежных покровах, зимнем замирании фотосинтеза.
Такие явления существовали на нашей планете во все геологические эпохи. Они всегда имели ограниченные пределы. Всегда их пыталась, но не могла захватить жизнь, приспособиться к существованию в их условиях.
Каждое не занятое жизнью место в живой природе независимо от причин его возникновения с течением времени обязательно заполняется. Часто совсем новая флора и фауна заселяют такие лишенные жизни водоемы или еще не заселенные вновь появившиеся участки суши.
При новых условиях в течение геологических периодов развиваются; ранее неизвестные виды и подвиды организмов.
Интересно и важно, что в новой структуре этих организмов можно узнать структуру и особенности их предков, но в преобразованном виде, как это необходимо для новых специфических условий новой среды (Л. Кэно). Это морфологическое изменение является не чем иным, как проявлением той же геохимической энергии, которая вызывает давление жизни и сказывается во всюдности жизни.
В любой момент существования планеты области азойные или области со скудной растительностью имеют ограниченное распространение, но они все же существуют, и на суше они заметнее, чем в гидросфере.
Едва ли это случайно, но мы не знаем, чем вызвано это ограничение проявления энергии жизни, наблюдаемое только на суше: соотношением ли между земными силами, противодействующими жизни, и силой солнечного луча или неизвестными нам свойствами излучений?
§ 53. Приспособление зеленых растений к улавливанию космической энергии проявляется не только в их размножении. Фотосинтез идет главным образом в мельчайших микроскопических пластидах, более мелких, чем клетки, в которых они находятся. Мириады этих зеленых телец рассеяны в растениях, и они в своей массе дают нам впечатление зеленого цвета.
Всматриваясь в любой зеленый организм, можно ясно видеть — в мелочах и в крупном — приспособляемость его для улавливания всех доступных ему солнечных световых излучений. Площадь зеленых листьев каждого отдельного растительного организма является максимальной, и их распределение в пространстве направлено к тому, чтобы ни один луч света не миновал захватывающего его микроскопического аппарата превращения энергии. Луч, падая на Землю, всюду встречает ловящий его организм. Механизм этот подвижен, и совершенство его превышает механизмы, созданные нашей волей и нашим разумом.
Этим определяется строение окружающей нас растительности. Листовая площадь лесов и лугов превышает в десятки раз площадь насаждений, луговые травы наших широт — в 22 - 38 раз, поле белой люцерны — в 85,5 раза, буковый лес — в 7,5 раза и т. д. В этих исчислениях не принимается во внимание посторонний органический мир, повсюду заполняющий получаемые при росте крупных растений пустые промежутки. В наших лесах замещают деревья зеленая травяная растительность почвы, мхи и лишайники, подымающиеся по стволам, зеленые водоросли влажных областей, их покрывающие, быстро зарождающиеся при сколько-нибудь благоприятных условиях тепла и влажности. В покрывающих большую часть суши культурных полях человек достигает с величайшим трудом и огромной затратой энергии — и очень редко — чистоты посева; в них всюду пробиваются посторонние зеленые травы. До появления человека в девственной природе это строение было выражено особенно резко, и мы можем еще всюду научно наблюдать его остатки. В свободных участках "девственной степи", сохранившихся нетронутыми на юге России, можно было видеть установившееся извека природное равновесие, которое вновь в них возродилось бы в одно-два столетия, если бы исчезло действие воли и разума человека. Такую степь ковыля-тырсы (Stipa capillata) И. К. Пачоский описывал (1903) для Херсонщины: "Это было впечатление моря; никакой растительности — по пояс и выше взрослому человеку, — кроме тырсы, видно не было; совокупность целинной растительности часто почти сплошь покрывала поверхность земли, затеняя ее и тем способствуя сохранению влаги у самой поверхности. Это позволяет между пучками листьев и даже под их прикрытием произрастать лишайникам и мхам, которые бывают зелеными даже в средине лета".
Ту же картину сплошного зеленого покрова дают для первобытных травянистых степей Южной Америки — саванн — старые наблюдатели, например Ф. Азара (1781-1801). Он писал, что растительный покров там такой густой, что земля виднеется только на дорогах, у ручьев или в береговых обрывах.
Эти "девственные", насыщенные зеленым веществом степи, сохранились лишь местами. Их заменили зеленые поля человека.
В наших широтах зеленые травы существуют периодически; их жизнь тесно связана с астрономическим явлением — вращением Земли вокруг Солнца.
§ 54. Всюду в других проявлениях растительной жизни мы наблюдаем ту же картину насыщенности земной поверхности зеленым покровом. Лесные заросли тропиков и субтропических стран, тайга умеренных и северных широт, саванны, тундра — все они, поскольку они не тронуты человеком, являются разным выражением бессменного или периодически повторяющегося зеленого сплошного покрова планеты. Нарушение вносится человеком, но нельзя сказать, уменьшает ли он или только перераспределяет зеленый земной трансформатор энергии.
Всюду и сейчас растительные сообщества и формы отдельных растений приноровлены к тому, чтобы многократно перехватить солнечный луч, не дать ему миновать микроскопические хлорофильные пластиды. Нет сомнения, что в общем всюду, за исключением постоянно или временно лишенных жизни азойных областей, луч света не может попасть на земную поверхность, не пройдя через слой живого вещества, в сотню раз, должно быть, превышающий ту площадь, которую бы он освещал в безжизненной среде косного вещества.
§ 55. Суша составляет меньшую (29,2 %) часть лика Земли. Главная часть занята морем. И в нем сосредоточена главная масса зеленого живого вещества; оно является главным трансформатором световой лучистой солнечной энергии в земную химическую.
Зеленый цвет сосредоточенного в море живого вещества обычно не виден; это вещество распылено на мириады микроскопических, всюду проникающих, зеленых одноклеточных водорослей. Они свободно плавают, иногда сгущаясь, иногда разжижаясь, на всей безбрежной, исчисляемой миллионами квадратных километров поверхности океана. Они проникают всюду, куда проникает солнечный луч, до глубины в 400 м, заносятся течениями, спускаются ниже, но главные массы их сосредоточены на глубинах 20-50 м. Они подымаются и опускаются, находясь в вечном движении. Их размножение меняется в зависимости от температурных и других условий, возрастает или уменьшается в зависимости от обращения планеты вокруг Солнца.
Едва ли можно сомневаться, что и здесь используется целиком все световое лучеиспускание Солнца. Совершенно правильно смещают друг друга по мере углубления зеленые, синие, бурые, красные водоросли; красные багрянки используют последние остатки не поглощенного водою солнечного света — голубую его часть. Как показал В. Энгельман, все эти разноцветные водоросли приспособлены к максимальному фотосинтезу в условиях находящихся в области их нахождения световых излучений.
Такая смена организмов с глубиной наблюдается везде в гидросфере. Местами — у берегов или у мелей или в таких своеобразных образованиях, как Саргассово море Атлантического океана, связанных с геологической историей местности, — невидимый глазом планктон сменяется огромными плавучими полями или лесами водорослей (иногда гигантских) и трав, много более могучими лабораториями химической энергии, чем самые большие лесные массивы суши.
Но площадь, ими занятая, невелика — не превышает нескольких процентов общей площади чистого планктона.
§ 56. В конце концов, на нашей планете поверхность ее покрывается временами зеленым сплошным покровом. Всегда лишенные зеленой растительности места, бедные жизнью, или азойные — безжизненные — пространства едва ли составляют 5-6 % земной поверхности. Если даже мы примем их во внимание, то и в таком случае слой зеленого вещества, покрывающий нашу планету, занимает, по-видимому, всегда площадь, не только много превышающую ее поверхность, но и находящуюся в соотношении с космическими явлениями — с Солнцем.
Несомненно, в среднем даже на суше площадь зеленого слоя, захватывающего солнечные лучи, превышает в максимальном его проявлении более чем в 100 раз ее поверхность, покрытую растительностью. В мощном верхнем слое Мирового океана — приблизительно в четыреста метров — зеленая поверхность той же толщины (примерно в толщину листа растения или зеленого слоя наземных зеленых протистов) превысит, несомненно, эту величину во много раз. В конце концов, на пути солнечного луча получается сплошная поверхность микроскопических хлорофильных трансформаторов его энергии, превышающая поверхность самой большой планеты солнечной системы — Юпитера — или к ней близкая. Поверхность Земли равна 5,1 • 108км2, поверхность Юпитера — 6,3 • 1010 км2; если принять, что 5 % поверхности нашей планеты лишено зеленой растительности и что захватывающая солнечный луч площадь ее увеличивается размножением зеленой растительности от 100 до 500 раз, зеленая площадь в максимальном ее проявлении будет соответственно 5,1 • 1010 - 2,55 • 1011 км2.
Едва ли может быть сомнение, что эти числа не случайны и что указанный механизм находится в теснейшей связи с космическим строением биосферы. Он должен находиться в связи с характером и количеством солнечного лучеиспускания.
Поверхность Земли составляет несколько меньше 0, 0001 поверхности Солнца (8,6 • 10-3 %). Зеленая площадь ее трансформационного аппарата дает уже числа иного порядка — она составляет 0,86 - 4,2 % площади Солнца.
§ 57. Невольно бросается в глаза, что порядок этих чисел отвечает порядку той части солнечной энергии, которая улавливается в биосфере живым зеленым веществом.
В связи с этим можно исходить из этого совпадения в исканиях объяснения зеленения Земли.
Захватываемая организмами солнечная энергия составляет небольшую часть той, которая достигает поверхности Земли, получающей, в свою очередь, от Солнца только ничтожную долю всего его излучения. Из всей солнечной энергии, равной 4 • 1030 больших калорий в год, Земля, по С. Аррениусу, получает 1,66 • 1021 больших калорий в год.
Только эта космическая энергия и может быть принимаема во внимание при современной точности наших знаний в этой области. Едва ли радиация всех звезд, достигающая земной поверхности, много превышает 3,1•10-5 % солнечной, как это было уже установлено И. Ньютоном. Принимая во внимание лучеиспускание всех планет и Луны, значительная часть которого отраженная, солнечная, можно считать, что количество энергии, этим путем получаемое Землей, не достигнет и 0,01 всей энергии, получаемой земной поверхностью от Солнца.
Значительная часть этой энергии захватывается верхней земной оболочкой — атмосферой, и только 40 % - 6,7•1020 калорий достигает земной поверхности и находится, таким образом, в распоряжении зеленой растительности.
Из этой энергии главная часть идет на тепловые процессы земной коры и связана с тепловым режимом океана и атмосферы. Несомненно, значительная ее часть захватывается в этом режиме и живым веществом и нами не учитывается в балансе химической работы жизни. Но само собой разумеется, что в создании жизни в биосфере она играет огромную роль. Но она не проявляется непосредственно в создании новых химических соединений, которые одни лишь дают мерку химической работы жизни.
На химическую работу, на создание нестойких в термодинамическом поле биосферы (§ 89) органических соединений, зеленая растительность использует только некоторые определенные излучения в пределах приблизительно 670-735 m? (Danggeard и Desroche, 1910-1911); хотя другие лучи (между 300 и 700 m?) и имеют известное значение, они все же оказывают сравнительно мало заметное действие.
В связи с этим, а не в связи с несовершенством аппарата трансформации зеленое растение использует лишь небольшую часть солнечной радиации, его достигающей. По Ж. Буссенго, зеленое культурное поле может захватить 1 % солнечной падающей энергии, превращая ее в органическое горючее вещество. С. Аррениус думает, что в интенсивной культуре эта величина может быть поднята до 2 %. По Т. Броуну и Р. Эскомбу, она для зеленого листа достигает, по непосредственным наблюдениям, 0,72 %. Лесная площадь едва ли использует 0,33 % (исходя в вычислениях из древесины).
§ 58. Эти числа, несомненно, являются минимальными, а не максимальными. В исчислении Ж. Буссенго даже с поправкой С. Аррениуса принята во внимание растительность суши, притом при предположении, что культурой мы действительно увеличиваем плодородие почвы, а не создаем благоприятные условия для определенного культурного растения, погашая жизнь других, нам ненужных. Эти исчисления неизбежно не принимают во внимание жизни зеленой "сорной" и микроскопической растительности, пользующейся благоприятными условиями удобрения и обработки. Помимо полей, и на суше мы имеем богатые жизнью зеленые сгущения — болота, влажные леса и влажные луга, превышающие по количеству жизни насаждения человека (§ 150).
По-видимому, в среднем количество зеленой растительности на единицу площади моря (гектар), где сосредоточена главная ее зеленая масса, дает числа того же порядка, как для единицы суши. Большее годовое количество создаваемого в море живого вещества объясняется более быстрым темпом его размножения (§ 49). Растительное вещество столь же быстро поглощается животным миром, как оно создается размножением. Этим путем в планктоне и бентосе океана создаются такие скопления животной бесхлорофильной жизни, которые лишь изредка наблюдаются (если наблюдаются) на суше.
Но как бы ни пришлось увеличить минимальное число Аррениуса, можно и сейчас принять, что порядок явления им указан верно.
Зеленое вещество усваивает немногие проценты достигающей его солнечной лучевой энергии, по-видимому больше двух ее процентов.
Эти два и больше процентов вполне попадают в пределы 0,8 - 4,2 % солнечной поверхности, которой отвечает зеленая трансформационная площадь биосферы (§ 56). До растения достигает 40 % всей солнечной энергии, охватывающей нашу планету (§ 57). 2 %, используемых растением, отвечают 0, 8 % всей доходящей до Земли солнечной энергии.
§ 59. Можно понять это совпадение только при наличности в механизме биосферы аппарата, использующего нацело, до конца определенную часть солнечной энергии. Трансформационная зеленая площадь Земли, созданная энергией солнечной радиации, будет отвечать в таком случае той ее
части, количеству тех определенной длины волны лучей, в ней находящихся, которые способны производить на Земле химическую работу. Мы можем светящуюся поверхность быстро вращающегося Солнца, непрерывно освещающего Землю, принять за некоторую светящуюся площадь размера АВ (см. рис.). Из этой площади непрерывно, из каждой ее точки падают на поверхность Земли световые колебания, только m % которых — определенной длины волны лучей — могут с помощью зеленого живого вещества переходить в действенную химическую энергию биосферы.
Поверхность быстро и непрерывно вращающейся Земли может быть также заменена равною ей по величине освещаемой площадью. При огромных размерах диаметра Солнца по сравнению с диаметром Земли и большом расстоянии от него Земли эта площадь, очевидно, на рисунке выразится точкой Т. Она будет как бы фокусом лучей, исходящих из светящегося Солнца АВ. Зеленый трансформационный аппарат биосферы состоит из тончайшего слоя мельчайших пылинок — хлорофильных пластид. Их действие пропорционально их поверхности, так как чрезвычайно быстро слой хлорофильного вещества становится непрозрачным для химических лучей, им превращаемых. Заменим и здесь поверхность освещаемых пластид их площадью. В этом случае максимальная трансформация зелеными растениями солнечной энергии будет происходить тогда, когда на Земле будет существовать приемник света, площадь которого равна т % светящейся площади Солнца или больше ее. В таком случае все нужные для Земли лучи будут захвачены хлорофильным аппаратом.
На рисунке CD обозначает диаметр той окружности, которая отвечает 2 % солнечной светящейся площади[9]. Весь чертеж отнесен к диаметрам кругов, площади которых отвечают светящейся поверхности Солнца (АВ) и принимающей свет поверхности Земли (T и CD).
Вероятно, между радиацией Солнца, ее характером (процент лучей т), площадью зеленой растительности (и азойными промежутками?) есть числовые соотношения, нам теперь неизвестные.
Космический характер биосферы должен глубоко сказываться и в ее дальнейшем с этим связанном строении.
§ 60. Живое вещество часть получаемой им лучистой энергии держит непрерывно в своем веществе, в живых организмах. Это величина, отвечающая количеству организмов. Все указывает нам, как мы это увидим, что количество жизни на земной поверхности не только мало меняется в короткие промежутки времени, но почти неизменно или неизменно[10] и в геологические периоды (начиная с археозоя и до настоящего времени). Тесная зависимость количества жизни от лучистой энергии Солнца делает это эмпирическое обобщение особенно важным, так как оно связывает ее с такой величиной, как солнечное лучеиспускание, неизменность которого в геологическое время — за время существования солнечной системы в ее современном виде — едва ли может возбуждать серьезные сомнения. Тесная зависимость основной части жизни — зеленого живого вещества — от солнечных лучеиспускании определенной длины волны и открывающийся нам механизм биосферы, связанный с полным их использованием зеленой растительностью, дают еще новое указание на постоянство количества живого вещества в биосфере.
§61. Количество энергии, ежесекундно находящейся в форме живого вещества, может быть учтено. По исчислениям С. Аррениуса, зеленая растительность в форме своих горючих соединений заключает 0,024 % всей солнечной энергии, достигающей биосферы, т. е. 1,6 • 1017 больших калорий.
Это огромное — планетное — число; оно, мне кажется, однако, очень преуменьшено. В другом месте[11] я пытался выяснить, что число Аррениуса должно быть увеличено по крайней мере в 10 раз, а может быть, еще больше. Вероятно, больше 0,25 % солнечной энергии, получаемой Землей, находится все время в запасе — в живом веществе — в форме соединений, находящихся в особом термодинамическом поле, отличном от термодинамического поля косной материи биосферы.
Несмотря на огромные количества вещества, постоянно во время жизни проходящего через организмы, большие количества, например, создаваемого ими свободного кислорода (около 1,5•1021 г), энергетический годовой эффект жизни выражается в меньших числах, чем создаваемые ею, постоянно восстановляющиеся размножением и постоянно умирающие существа. Там, как указывалось (§ 45), в течение года передвигаются массы элементов, много раз превышающие вес земной коры до 16 км мощностью, многократные числа порядка 1025 г.
Насколько мы можем сейчас его учесть, энергетический привнос живого вещества в биосферу в течение года не так уже много превосходит ту энергию, которую живое вещество держит в своем термодинамическом поле сотни миллионов лет. Она сохраняет в себе в форме горючих своих соединений не менее 1 • 1018 больших калорий, и она использует в год на связанную с их новым созданием и восстановлением истраченного работу не менее 2 % падающей на поверхность Земли и океана энергии, т. е. не менее 1,5•1019 больших калорий. Если это число и будет при дальнейшем изучении увеличено, едва ли порядок 1019 калорий изменится.
Так как количество живого вещества остается незыблемым в течение всего геологического времени, связанная с его горючей частью энергия может считаться всегда присущей жизни. В таком случае n • 1019 больших калорий в год выразит энергию, ежегодно передающуюся жизнью в биосферу.
Более 800 000 книг и аудиокниг! 📚
Получи 2 месяца Литрес Подписки в подарок и наслаждайся неограниченным чтением
ПОЛУЧИТЬ ПОДАРОК