Kortsleht
Alchemilla spp
• KROOKLEHT • KASTEROHI • PISARATELILL• LINNUKAUSI?IED • K?RTSHAIN
Kortsleht on roos?ieliste sugukonda kuuluv mitmeaastane rohttaim, Eestis on teda 23 v?ga sarnast pisiliiki, mille eristamine on j?ukohane vaid spetsialistile. Ravimtaimeks sobivad k?ik liigid.
Kortslehe tugevast risoomist areneb 10–30 cm pikkune sirge, lamav v?i t?usev vars. Alumised lehed on enamasti pika varrega 5–9-h?lmalised ?marad voldilised lehed, mis veidi karvased. Lehe puhkemisel pungast on leht korrap?raselt volditud ehk kroogitud, kasvades l??vad need rohkem lahti, moodustades nagu kausi, milles kastetilgad hommikuti p?rlendavad. Lehe karvakesed hoiavad tilga ?mara ja vihmavesi paistab sellel h?behallina.
?ied on kollakasrohelised, v?ikesed, otsmiste v?i k?lgmiste ebasarikatena. ?iekate on neljatine.
Leida v?ib teda k?ikjalt Eestist niitudelt, h?redatest metsadest, parkidest ja teede ??rest, kus ta kohati katab tihedalt maapinda.
Vanemate nimede j?rgi on kortslehel seos ka piksega, paraku on meil rahvap?rimusest teada vaid lugu kortslehe veekausside kohta. Muistendi j?rgi k?skinud Vanaisa loomadel Emaj?ge kaevata: „K?ik loomad v?tnud kaevamisest osa, ainult vihmakass pole viitsinud minna. Kartnud, et m??rib oma ilusad kollased p?ksid ?ra. Karistuseks ei lubanud vanaisa peoleol enam kunagi j?est oma janu kustutada, vaid k?skis lehtedelt veepiisku juua. Kui kortslehtedel vett ei ole, siis hakkab peoleo nagu kass n?uguma, paludes nii Vanaisalt vihma.”
P?rlendavad veetilgad, mis kortslehel hommikuti n?ha on, on suures aus sakslaste seas, kes peavad neid Odini abikaasa Frigga pisarateks, kui ta meest tolle kaugete k?ikude ajal taga igatses.
Just nende pisarate p?rast oli kortsleht keskajal alkeemikute hulgas hinnatud taim. Seda kasutati tarkade kivi ehk lapis philosophorum’i otsimisel, samuti kulla valmistamisel. Kortslehel leiduvaid kastetilku peeti taevaveeks ning neil arvati olevat salap?rane v?im.
Kortsleht s?ilitab vanarahva arvates noorust. Lehele kogunevate kastetilkadega pesti haigeid silmi ja n?gu. Risoomist valmistatud teega raviti k?lmetust, palavikku, peavalu, k?ha, ?gedat nohu, kurguhaigust, tiisikust, jooksvat, krampe jalgades, k?huvalu, venitust, k?hulahtisust, kehvveresust. Naistehaiguste ja palaviku puhul aitas ka v?rske risoomi n?rimine. Keedist kasutati mitmesuguste nahahaiguste korral, p?letikuliste ja m?da eritavate haavade, sh koeranaelte pesemiseks v?i kompressiks. Vanarahva teadmiste kohaselt aitasid temas sisalduvad m?ruained haavu ravida ja kokku kiskuda. Roosile pandi peale v?rskeid kortslehe lehti.
Ravimtaimede andmebaasist Herba leiab, et kortslehte on kasutatud 25 haiguse v?i vaevuse ravimisel.
? L??ne-Nigula kihelkonnas kasutati kortslehte nahahaiguste raviks: „Kortsleht (Alchemilla vulgaris L.). ?heksanurgiline. Juurte keedist tarvitati sammaspoolikute, „veiser??gatiste” ravimiseks, pestes neid keedisega.” Vilbaste, TN 1, 788 < L??ne-Nigula khk. Oru v. – J. Allpere < mitmelt (1938)
? Pala kandis tunti teda naistehaiguste ravijana: „Valgevooluse korral kortslehe tee 1 klaas 3 korda p?evas paaril p?eval, korras.” RKM II 442, 67 < Kodavere khk., Pala k. – Osvald Kruusa < Leida Elken, 80 a. (1991)
? Riidajal kasutati taime hambap?letiku puhul: „?ks hea hambavalurohi on kortsleht. Suvel ma muud rohtu ei kasuta. Kortsleht panna valutavale hambaigemele ja teist korda enam ei valuta.” RKM II 312, 424 < Helme khk., Riidaja k. – Hilja Kala < Hilja Kala (1973)
Omaaegses v?ljaandes „Eesti NSV ravimtaimed” kortslehte ei tutvustatud, k?ll aga leiab see m?rkimist m?nes farmakop?as ja rahvusvahelises ravimtaimek?siraamatus. Siiski on kortsleht peamiselt traditsioonilise kasutusega taim, mida vaid v?hesel m??ral on ka teaduslikult uuritud.
Kasutatakse kortslehe?rti (Alchemillae herba), mida kogutakse kuiva ilmaga, olgu tegu kortslehe mis tahes liigiga. Droogina leiavad kasutamist v?rske ?rt v?i v?rsked ja kuivatatud lehed (Alchemillae folium). Kuivatatakse ?hukese kihina toatemperatuuril p?ikese eest varjatult v?i temperatuuril mitte ?le 50 °C. S?ilitatakse kuivas ja pimedas k?ige kauem 2 aastat.
Euroopa farmakop?a n?eb ette kortslehe kuivatatud ?rdi kasutamise, mis peab sisaldama v?hemalt 6% tanniine arvutatuna p?rogalloolile ning milles tohib olla kuni 10% niiskust, ?ldtuha sisaldus v?ib olla k?ige rohkem 12%. Prantsuse farmakop?a j?rgi kasutatakse v?rsket kortslehe?rti hom?opaatias nn ematinktuuri tegemiseks, mis valmistatakse 45% etanooliga. Droog kogutakse ?itsemise ajal ja see v?ib sisaldada kuni 5% v??rlisandeid ning k?ige rohkem 60% vett.
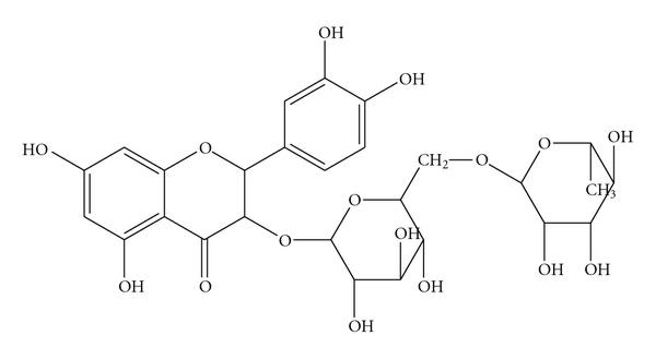
Kortsleht sisaldab tanniine (5–8%), mille hulka kuuluvad taimedes suhteliselt haruldased agrimoniini ja laevigatiini dimeerid. Teine t?htis toimeainer?hm on flavonoidid (2–2,5%, kvertsetiini gl?kosiidid, sh rutiin).

Rutiin
Tanniinid annavad kortslehele n?rga kootava toime ja on aluseks allergilisi nahakahjustusi v?hendavale m?jule, mida kinnitavad ka m?ningad teadusuuringud. T?en?oliselt flavonoididega seletub kortslehe kasutatavus m?ningate naistehaiguste korral, mis vajab aga l?hemat uurimist. ?ks varasem uurimus (Petcu et al., 1979) kinnitab, et kortslehe alkoholt?mmis v?hendab liigset regulaarset ja ebaregulaarset emakaverejooksu ning v?hendab tervetel naistel menstruatsiooniverejooksu; seejuures ei ole k?rvaltoimeid t?heldatud ja preparaati v?ib pidada ohutuks.
Kuigi teaduslikult pole kortslehte veel piisavalt uuritud, soovitatakse seda kasutada kerge k?hulahtisuse ja liigse emakaverejooksu korral. V?lispidi sobib kortslehetee kootavaks ja kergelt p?letikuvastaseks kompressiks haavade korral, samuti suu loputamiseks haavandite ja limaskestap?letiku korral ning kompresside ja vanni tegemiseks, et leevendada allergilisi nahakahjustusi.
K?rval- ja koostoimed ning vastun?idustused kortslehel teadaolevalt puuduvad, tema kasutamist ka raseduse ja rinnaga toitmise ajal ei ole toimeainetest tulenevalt p?hjust piirata.
RETSEPT 1 spl peenestatud droogi valada ?le 1 kl keeva veega, j?tta 10 minutiks seisma, kurnata. Juuakse 1 kl 3 korda p?evas allergiliste nahakahjustuste korral. Samamoodi valmistatud t?mmist v?ib tee joomisele lisaks (mitte selle asemel) tarvitada m?histe ja kompresside tegemiseks v?i lisada vanniveele. ?genenud allergilise nahap?letiku korral v?tta t?mmist 1 spl iga 2 tunni tagant.
Данный текст является ознакомительным фрагментом.