Тонкое устройство ДНК

Чтобы дальнейшее повествование было более ясным для читателя, рассмотрим сначала подробнее, как же устроена эта странная и загадочная молекула ДНК.

Итак, ДНК состоит из 4-х азотистых оснований, а также сахара (дезоксирибозы) и фосфорной кислоты. Два азотистых основания (сокращенно называемых Ц и Т) относятся к классу так называемых пиримидиновых основания, а два других (А и Г) — к пуриновым основаниям. Такое разделение связано с особенностями их структур, которые показаны на рис. 1.

Рис. 1. Структура азотистых оснований (элементарных «букв»), из которых построена молекула ДНК

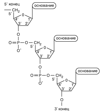
Отдельные основания связаны в цепочке ДНК сахаро-фосфатными связями. Эти связи изображены на следующем рисунке (рис. 2).

Рис. 2. Химическая структура цепи ДНК

Все это известно уже довольно давно. Но детальное устройство молекулы ДНК стало понятно лишь спустя почти 90 лет после знаменитых работ Менделя и открытия Мишера. 25 апреля 1953 г. в английском журнале «Nature» было опубликовано небольшое письмо молодых и тогда еще мало известных ученых Джеймса Уотсона и Френсиса Крика редактору журнала. Оно начиналось словами: «Мы хотели бы предложить свои соображения по поводу структуры соли ДНК. Эта структура имеет новые свойства, которые представляют большой биологический интерес». Статья содержала всего около 900 слов, но — и это не преувеличение — каждое из них оказалось на вес золота.

А началось все так. В 1951 году на симпозиуме в Неаполе американец Джеймс Уотсон встретился с англичанином Морисом Уилкинсом. Конечно же, они тогда не могли себе даже представить, что в результате этой встречи они станут нобелевскими лауреатами. В то время Уилкинс со своей коллегой Розалиндой Франклин проводили в Кембриджском университете рентгеноструктурный анализ ДНК и определили, что молекула ДНК представляет собой, скорее всего, спираль. После разговора с Уилкинсом Уотсон «загорелся» и решил заняться исследованием структуры нуклеиновых кислот. Он перебрался в Кембридж, где познакомился с Френсисом Криком. Ученые решили совместными усилиями попытаться понять, как устроена ДНК. Работа началась не на пустом месте. Исследователи уже знали о существовании двух типов нуклеиновых кислот (ДНК и РНК), знали и то, из чего они состоят. В их распоряжении были фотографии рентгеноструктурного анализа, полученные Р. Франклин. Кроме того, Эрвин Чаргафф сформулировал к тому времени очень важное правило, согласно которому в ДНК число А всегда равно числу Т, а число Г равно числу Ц. А далее сработала «игра ума». Результатом этой «игры» и стала статья в журнале «Nature», в которой Дж. Уотсон и Ф. Крик описали созданную ими теоретически модель строения молекулы ДНК. (Уотсону к этому времени еще не исполнилось и 25 лет, а Крику было 37). Согласно их «научной фантазии», основанной тем не менее на определенных твердо установленных фактах, молекула ДНК должна состоять из двух гигантских полимерных цепочек. Звенья каждого полимера состоят из нуклеотидов: углевода дезоксирибозы, остатка фосфорной кислоты и одного из 4 азотистых оснований (А, Г, Т или Ц). Последовательность звеньев в цепочке может быть любой, но эта последовательность строго связана с последовательностью звеньев в другой (парной) полимерной цепочке: напротив А должно быть Т, напротив Т должно быть А, напротив Ц должно быть Г, а напротив Г должно быть Ц (правило комплементарности) (рис. 3).

Рис. 3. Схема взаимодействия двух комплементарных цепей в молекуле ДНК

Две полимерные цепи закручены в правильную двойную спираль. Они удерживаются вместе посредством водородных связей между парами оснований (А — Т и Г — Ц) подобно ступенькам лестницы. По этой причине говорят, что две цепи ДНК комплементарны. Для природы это не удивительно. Известно множество примеров комплементарности. Комплементарны, например, древнекитайские символы «инь» и «янь», гнезда розетки и штырьки вилки.

Двойная спираль ДНК схематически изображена на рис. 4. Внешне она напоминает веревочную лестницу, завитую в правую спираль. Ступенями в этой лестнице являются пары нуклеотидов, а связывающие их «боковинки» состоят из сахаро-фосфатного остова.

Рис. 4. Знаменитая двойная спираль ДНК а — Рентгенограмма ДНК, полученная Р. Франклин, которая помогла Уотсону и Крику найти ключ к двухспиральной структуре ДНК; б — Схематическое изображение двухспиральной молекулы ДНК

Так была открыта знаменитая «двойная спираль». Если последовательность звеньев (нуклеотидов) в ДНК рассматривать как ее первичную структуру, то двойная спираль — это уже вторичная структура ДНК. Предложенная Уотсоном и Криком модель «двойной спирали» изящно решала не только проблему кодирования информации, но и удвоения (репликации) гена.

В 1962 году Дж. Уотсон, Ф. Крик и Морис Уилкинс получили по достоинству за это достижение Нобелевскую премию. А ДНК была названа самой главной молекулой живой природы. Во всем этом, конечно же, сыграли свою роль точные сведения о строении ДНК, но не в меньшей мере и «провидческие» построения сложной пространственной структуры, что потребовало от исследователей не только логики, но и творческого воображения — качества, присущего художникам, писателям и поэтам. «Здесь, в Кембридже, произошло, быть может, самое выдающееся после книги Дарвина событие в биологии — Уотсон и Крик раскрыли структуру гена!» — писал в то время в Копенгаген Нильсу Бору его бывший ученик М. Дельбрюк. Известный испанский художник Сальвадор Дали после открытия двойной спирали сказал, что это для него явилось доказательством существования Бога, и изобразил ДНК на одной из своих картин.

Итак, интенсивный мозговой штурм, предпринятый учеными, завершился полным успехом! В историческом масштабе открытие структуры ДНК сопоставимо с открытием структуры атома. Если выяснение строения атома привело к появлению квантовой физики, то открытие структуры ДНК дало начало молекулярной биологии.

Каковыми же оказались главные физические параметры ДНК человека — этой главной его молекулы? Диаметр двойной спирали равен 2 нанометрам (1 нм = 10–9 м); расстояние между соседними парами оснований («ступеньками») составляет 0,34 нм; один поворот спирали состоит из 10 пар оснований. Последовательность пар нуклеотидов в ДНК нерегулярна, но сами пары уложены в молекуле как в кристалле. Это дало основание характеризовать молекулу ДНК как линейный апериодический кристалл. Число отдельных молекул ДНК в клетке равно числу хромосом. Длина такой молекулы в наибольшей по размеру хромосоме 1 человека составляет около 8 см. Подобных гигантских полимеров пока не выявлено ни в природе, ни среди искусственно синтезированных химических соединений. У человека длина всех молекул ДНК, содержащихся во всех хромосомах одной клетке, составляет примерно 2 метра. Следовательно, длина молекул ДНК в миллиард раз больше их толщины. Так как организм взрослого человека состоит примерно из 5х1013 — 1014 клеток, то общая длина всех молекул ДНК в организме равна 1011 км (это почти в тысячу раз больше расстояния от Земли до Солнца). Вот такая она, суммарная ДНК всего лишь одного человека!

Когда говорят о размере генома, то подразумевают общее содержание ДНК в единичном наборе хромосом ядра. Такой набор хромосом называют гаплоидным. Дело в том, что большинство клеток нашего организма содержит двойной (диплоидный) набор совершенно одинаковых хромосом (только у мужчин 2 половые хромосомы отличаются). Измерения размера генома приводятся в дальтонах, парах нуклеотидов (п. н.) или пикограммах (пг). Соотношение между этими единицами измерения следующие: 1 пг = 10–9 мг = 0,6х1012 дальтон = 0,9х109 п. н. (далее мы будем использовать в основном п. н.). В гаплоидном геноме человека содержится около 3,2 млрд. п. н., что равно 3,5 пг ДНК. Таким образом, в ядре одной клетки человека содержится около 7 пг ДНК. Если учесть, что средний вес клетки человека равен примерно 1000 пг, то легко рассчитать, что ДНК составляет менее 1 % от веса клетки. И тем не менее, чтобы воспроизвести самым мелким шрифтом (как в телефонных справочниках) ту огромную информацию, которая содержится в молекулах ДНК одной нашей клетки, понадобилось бы тысяча книг по 1000 страниц в каждой! Вот таков полный размер генома человека — Энциклопедии, написанной четырьмя буквами.

Но не следует думать, что геном человека наибольший из всех существующих в природе. Например, у саламандры и лилии длина молекул ДНК, содержащихся в одной клетке, в тридцать раз больше, чем у человека.

Поскольку молекулы ДНК имеют гигантский размер, их можно выделить и увидеть даже в домашних условиях. Вот как описывается эта простая процедура в рекомендации для кружка «Юный генетик». Во-первых, надо взять любые ткани животных или растительных организмов (например, яблоко или кусок курицы). Затем надо нарезать ткань на кусочки и положить 100 г в обычный миксер. После добавления 1/8 чайной ложки соли и 200 мл холодной воды вся смесь взбивается на миксере в течение 15 секунд. Далее взбитая смесь процеживается через ситечко. В полученную мякоть надо добавить 1/6 от ее количества (это будет примерно 2 столовые ложки) моющего средства (для посуды, например) и хорошо размешать. Через 5–10 минут жидкость разливается по пробиркам или любым другим стеклянным емкостям, чтобы в каждой из них было заполнено не больше трети объема. Затем к ней добавляется по чуть-чуть либо сок, выжатый из ананаса, либо раствор, используемый для хранения контактных линз. Все содержимое встряхивается. Делать это надо весьма осторожно, так как если трясти слишком сильно, то гигантские молекулы ДНК поломаются и после этого ничего нельзя будет увидеть глазами. Далее в пробирку медленно вливается равный объем этилового спирта, чтобы он образовал слой поверх смеси. Если после этого покрутить в пробирке стеклянной палочкой, на нее «намотается» вязкая и почти бесцветная масса, которая и представляет собой препарат ДНК.

Более 800 000 книг и аудиокниг! 📚

Получи 2 месяца Литрес Подписки в подарок и наслаждайся неограниченным чтением

ПОЛУЧИТЬ ПОДАРОК