Как бороться с радиоактивными изотопами, попавшими внутрь организма
Если источник ионизирующей радиации проник внутрь организма, против него оказываются совершенно непригодными те методы борьбы, которые подробно рассмотрены выше и эффективны по отношению к внешнему облучению. Физическая защита от изотопов, попавших внутрь организма, невозможна. Наука не знает также и химических способов, с помощью которых можно было бы нейтрализовать изотопы, прекратить радиоактивный распад их ядер. Поэтому борьба против опасности внутреннего облучения организма строится на принципиально иных основах, чем защита от внешнего облучения. Наилучшие результаты, разумеется, дают те методы, которые предупреждают опасность поступления изотопов в организм или по крайней мере ее ослабляют.
Что же это за методы? Прежде всего важное значение имеют получение, хранение и работа с изотопами в условиях, исключающих возможность заражения ими. Для этого необходимо герметизировать источники излучения, использовать "механические руки" - дистанционные микроманипуляторы, которые помогают избежать соприкосновения с изотопом; хранить радиоактивные отходы атомной промышленности в специальных закрытых бетонированных хранилищах в условиях, обеспечивающих защиту почвы, воздуха, грунтовых вод от опасности радиоактивного загрязнения.
Однако все эти мероприятия не могут полностью предотвратить опасности радиоактивного заражения. Эта опасность реальна не только для работников атомной промышленности и научно-исследовательских радиоизотопных лабораторий, где не исключена возможность аварии, технической неисправности оборудования, ошибки управления и т. п. Радиоактивные изотопы необычайно широко используют в самых различных отраслях народного хозяйства: в геологоразведочных и геофизических исследованиях (так называемый нейтронный и гамма-каротаж); в металлургической, металлообрабатывающей, машиностроительной и других отраслях промышленности (в форме радиоактивных средств регулирования и контроля ряда производственных процессов); с целью гамма-дефектоскопии; для "холодной" стерилизации и пастеризации пищевых продуктов; для измерения массы, толщины, уровня материалов и т. п.
В перспективе следует ожидать еще большего расширения сферы применения радиоактивных изотопов. Следовательно, с каждым годом все больше людей будет соприкасаться с изотопами, г. е. будет увеличиваться опасность радиоактивного заражения людей в результате нарушения технических норм и правил, вследствие ошибок и аварий. А такие явления, как выпадение радиоактивных осадков при атомных испытаниях, вообще не поддаются контролю и оказывают влияние (пусть пока не ощутимое) на все человечество.
В 1959 г. вышла в свет книга известного американского ученого и писателя Ральфа Лэппа "Рейс "Счастливого дракона"", в которой подробно рассказано о судьбе японских рыбаков, ставших жертвами взрыва американской водородной бомбы в 1954 г. Описанный в ней факт, разумеется, исключителен, но разница между японскими рыбаками и миллионами людей, проживающих в сфере выпадения радиоактивных осадков, не качественная, а только количественная.
Что же можно сделать для уменьшения вредоносного действия изотопов, попавших внутрь живого организма? Обычные защитные препараты, применяемые при внешнем облучении, в данном случае малоэффективны, так как их кратковременное противолучевое действие не может оказать существенного влияния на размер поражений, вызываемых длительным внутренним облучением организма. Кроме того, особенностью действия большинства изотопов является преимущественное накопление в отдельных органах (и преимущественное их поражение). Противолучевой эффект может быть достигнут лишь в том случае, если защитный препарат тоже обладает свойством избирательного накопления в том же органе и действует также длительно, как изотоп. Такими препаратами наука пока не располагает.
Можно наметить два основных мероприятия, с помощью которых удастся ослабить вредное действие внутреннего облучения. Первое из этих мероприятий имеет в виду проникновение изотопов в организм через рот и исходит из того, что всасывание изотопов из пищеварительного аппарата в кровь представляет собой процесс, длящийся во времени. Если в этот промежуток времени в пищеварительный тракт зараженного организма ввести вещества, которые сами не всасываются, но зато способны задерживать находящиеся в кишечнике изотопы, то всасывание последних в кровь затруднится, и размер внутреннего облучения уменьшится. Для этой цели особенно пригодны высокомолекулярные индифферентные вещества - адсорбенты, в том числе некоторые ионообменные смолы. Эффективны и некоторые низкомолекулярные вещества (сернокислый барий и др.).
Этот путь особенно пригоден при заражении изотопами, сравнительно медленно всасывающимися из пищеварительного тракта и легко адсорбирующимися (радиоактивные изотопы церия, иттрия, циркония, рутения, прометия, а также радий, торий, плутоний).
Второе мероприятие можно осуществлять тогда, когда изотопы проникли в кровь и способны в связи с этим распределяться по различным внутренним органам, фиксироваться в некоторых из них. В этом случае весьма целесообразно применять вещества, которые ускоряют выведение из организма изотопа, т. е. вытесняют его или образуют с ним хорошо растворимые и легко выводимые из организма комплексы.
Веществами-комплексообразователями могут быть препараты относительно низкомолекулярные, хорошо всасывающиеся, легко растворимые в жидкостях организма. Они не должны вступать в химические реакции с веществами организма, т. е. быть "чуждыми" его обменным процессам, быстро образовывать прочные и хорошо растворимые комплексы с ионами изотопов и в таком виде свободно выводиться из организма с мочой или калом.
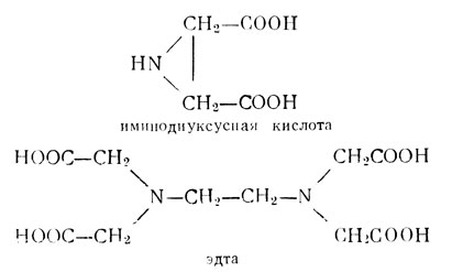
В качестве таких соединений наиболее пригодны по-лиаминокарбоновые кислоты, подробно изученные швейцарским ученым Г. Шварценбахом и получившие в литературе название клешневидных (хелатных) соединений, или комплексонов. Простейший представитель этой группы соединений - иминодиуксусная кислота, а наиболее широкое применение в качестве комплексона приобрела этилендиаминотетрауксусная кислота (ЭДТА):

Способностью образовывать комплексы обладают также и другие органические кислоты (щавелевая, лимонная), унитиол, пентацин, оксатиол и некоторые новые, менее токсичные и более эффективные препараты. Обширные исследования в направлении поисков более эффективных комплексных соединений и разработки методов ускорения выведения из организма радиоактивных изотопов ведутся сейчас во всем мире. В нашей стране известные в этой области достижения получены коллективами сотрудников, руководимыми А. А. Городецким и В. С. Балабухой.
Эффективность тех или иных комплексных соединений в каждом отдельном случае во многом зависит от свойств радиоактивного изотопа. Особенно легко образуют растворимые комплексы многовалентные изотопы церия, циркония, прометия, иттрия, плутония и других, т. е. как раз те самые изотопы, которые плохо всасываются из желудочно-кишечного тракта и которые можно связать и вывести из организма еще до момента их всасывания в кровь. Таким образом, по отношению к этой группе долгоживущих радиоактивных изотопов уже существуют достаточно эффективные и надежные методы борьбы. К сожалению, этого пока нельзя сказать о наиболее опасных изотопах, таких как цезий - 137 и стронций - 90. Эти изотопы, образующиеся в значительном количестве в результате ядерных испытаний, вследствие близости к стабильным элементам - калию и кальцию, легко переходят в растительные и животные организмы. Обладая хорошей растворимостью, они очень быстро (в течение 30 - 60 мин.) всасываются в кровь. В связи с этим первый путь воздействия на них малоэффективен из-за краткости времени, в течение которого возможна адсорбция изотопов в пищеварительном тракте.
Поступивший в кровь цезий - 137, подобно калию и натрию, к которым он химически чрезвычайно близок, довольно равномерно распределяется по всему организму. В крови он, так же как и калий, сосредоточивается главным образом в эритроцитах, а из всех тканей тела в наибольшем количестве накапливается в мышечной ткани.
Стронций - 90, подобно кальцию, не образует в крови более или менее устойчивых соединений и довольно быстро, в течение первых четырех суток, фиксируется в депо кальция, т. е. в костях. Депонированный стронций с большим трудом и то лишь в незначительном количестве может быть прижизненно извлечен из костей и удален из организма. Поэтому все мероприятия, направленные на ускорение выведения из живого тела этого изотопа, должны проводиться в течение первых нескольких суток после его попадания в организм, пока стронций-90 еще не осел полностью в костях. Когда этот процесс завершается, современными методами почти ничего сделать не удается. Длительность процесса распада стронция-90 (период его полураспада равняется 27,7 года) обеспечивает внутреннее облучение организма до конца его жизни.
Сложность борьбы с опасностью внутреннего облучения этими изотопами состоит в том, что против стронция - 90 и цезия - 137 пока малоэффективны мероприятия не только первого, но и второго типа. Эти изотопы крайне неохотно образуют комплексные соединения. Для ускорения выведения этих изотопов предлагались другие методы. Так, Э. Б. Курляндская предложила вводить в организм в большом количестве стабильные нерадиоактивные изотопы цезия и стронция. Однако этот метод успеха не имел. Очевидно, радиоактивного изотопа в жидкостях организма бывает относительно мало по сравнению с возможными размерами его растворения. Однако в применении к другим изотопам этот метод дал хорошие результаты. Например, Т. И. Сиваченко установила, что введение фосфатов в виде инъекций, а также питание продуктами, богатыми фосфором (например, куриными яйцами), значительно ускоряет выведение из организма радиоактивного изотопа - фосфора - 32.
Гораздо лучшие результаты дает применение нагрузки калием при отравлении радиоактивным цезием. В опыте на мышах этот метод приводит к значительному ускорению выведения цезия; натрий, примененный с той же целью, дал значительно худшие результаты. В течение первых дней после попадания в организм стронция некоторый эффект дает кальциевая нагрузка. Э. 3. Рябовой удалось несколько ускорить выведение из организма цезия-137 с помощью таких комплексооб-разователей, как щавелевая и лимонная кислоты, а также глюконат кальция.
По данным А. Н. Марея и В. А. Книжникова, некоторые виды пищи и питьевая вода, обогащенные кальцием и фтором, достоверно препятствуют всасыванию в организм некоторых радиоактивных изотопов и уменьшают их поражающее действие.
Что же касается методов борьбы со стронцием-90, то до сегодняшнего дня наиболее эффективными остаются методы его адсорбции в пищеварительном тракте. Борьба со стронцием, всосавшимся в кровь и особенно с осевшим в костях, весьма трудна. Как показали многочисленные исследования, с помощью нагрузки стабильным стронцием и кальцием удается достичь лишь весьма незначительного эффекта.
Таким образом, знакомство с основными достижениями в области борьбы с вредным действием внутреннего облучения организма убеждает нас в том, что и в этой области защиты организма от действия ионизирующей радиации имеются значительные успехи. Большие исследования, ведущиеся в разных странах, внушают серьезные надежды на то, что проблема выведения из организма стронция - 90 в ближайшие годы получит более полное разрешение.
Более 800 000 книг и аудиокниг! 📚
Получи 2 месяца Литрес Подписки в подарок и наслаждайся неограниченным чтением
ПОЛУЧИТЬ ПОДАРОК