Беседа двенадцатая. Зрячие машины
Существует такой проверенный опытом поколений тезис: "В жизни случается всякое". Как говорят, — бывает.
Например, недавно над одним из аэродромов ФРГ столкнулись в воздухе сразу четыре (!) самолета. Когда оценили вероятность такого события, получилась ничтожно малая величина. И все-таки катастрофа произошла.
Это случилось потому, что воздух над современными большими аэродромами буквально "кишит" самолетами. С земли этого не видно, а диспетчерская служба наблюдает на экранах обзорных радиолокаторов за десятком самолетов сразу.
Радиолокатор показывает только положение самолета в каждый данный момент, а решить, каким оно будет через полминуты, — обязанность оператора. Скорости же современных воздушных лайнеров таковы, что, если два самолета выскочат навстречу друг другу из облаков на расстоянии 1,5 км, они столкнутся прежде, чем летчики успеют что-либо предпринять. Таким образом, безопасность пассажиров и экипажей самолетов в зоне аэропорта зависит от того, насколько четко работает его диспетчерская служба.
Воздушные пути сообщения год от года становятся все оживленнее. И соответственно возрастают требования к четкости работы регулировщиков "воздушного движения" — диспетчеров в аэропортах. Но, к сожалению, даже самый аккуратный диспетчер может ошибиться. А это значит, что могут столкнуться самолеты. И сталкивались не раз и не два и не только над аэродромами ФРГ. Расследование причин аварий постепенно приводило к выводу: диспетчер имел дело со слишком большим количеством разнообразных сведений. В результате он реагировал на второстепенный сигнал, а по самому важному сигналу мер не принимал. Делалось это отнюдь не умышленно и даже не по неопытности, а потому, что способность человека выбирать главное в потоке информации тоже имеет предел.
Надо было искать возможность "обострить внимание". И такая возможность бионикой была найдена.
С некоторых пор на аэродроме города Дайтона за обстановкой в воздухе, которая воспроизводится аэродромным локатором, следят не диспетчеры, а электронное устройство, обязанность которого — предупреждать возникновение опасных ситуаций. Множество взлетающих и садящихся самолетов находится постоянно в поле его зрения, но если они идут установленными курсами, устройство их не замечает. Однако если, скажем, два самолета движутся так, что возникает опасность столкновения, прибор немедленно поднимает тревогу. Это устройство работает несравненно лучше, чем самый внимательный диспетчер, так как зрительный аппарат человека охватывает всю картину сразу и из-за многочисленности отдельных, зачастую второстепенных ее деталей может пропустить то, на что он должен обратить особое внимание.
Это устройство, называемое "жабий глаз", представляет собой техническое воплощение идеи, которая была реализована природой, создавшей зрительный аппарат лягушки.
Жизнь лягушки чрезвычайно сильно зависит от работы ее зрительного аппарата. Глаза помогают ей охотиться. Основная информация, которую перерабатывает мозг лягушки во время охоты, поступает от глаз. Глаза помогают ей спасаться от врагов (при этом лягушка поступает просто: увидев врага, она прыгает туда, где темнее, ведь "в силу земноводности" для нее не важно, вода там или суша).

Рис. 1. Схема обработки информации в глазу лягушки. Глаз лягушки 'выделяет' качественные признаки воспринимаемых им объектов — контуры, их кривизну и т. п. Электронная модель глаза лягушки — одна из первых созданных руками человека истинно бионических систем
Огромные выпуклые глаза лягушки не могут двигаться, как наши, — не могут следить за добычей, наблюдать за подозрительными событиями или отыскивать нужные предметы. Лягушка, по-видимому, не различает неподвижных предметов или по крайней мере не проявляет к ним никакого интереса, и она умрет от голода среди изобилия насекомых, если они не будут двигаться. И в то же время ее легко поймать на кусочек красной фланели качающейся на крючке. Она выбирает добычу только по размерам, характеру движения и расстоянию до нее. Лягушка прыгает, чтобы схватить предмет, имеющий форму насекомого или червя, только если этот предмет движется, как насекомое или червь. Зрительный аппарат лягушки посылает в мозг хозяйки лишь такие сигналы, которые для нее жизненно важны. Скажем, пролетает мимо муха на близком расстоянии — лягушка мгновенно реагирует, а летит муха на таком удалении, что охотиться за ней бесполезно, — животное словно бы и не видит ее. Если глаза лягушки зарегистрируют резкое движение тени, они тотчас извещают об этом свою хозяйку, и она тут же насторожится — уж не хочет ли кто-то ее поймать и съесть? Если же тень ползет медленно, двигаясь вместе с солнцем, то зрительный аппарат лягушки ей об этом не сообщает. Словом, глаз лягушки — превосходная биологическая информационная система, перерабатывающая всю поступающую информацию и выбирающая из нее только ту часть, которая представляет для лягушки интерес.
Зрительный анализатор лягушки устроен очень сложно. В глазу лягушки имеется миллион клеток-рецепторов, воспринимающих световое раздражение.
В глазу лягушки происходят четыре отдельных процесса переработки изображения. Результаты каждого процесса передаются по особым группам волокон, равномерно представленных в сетчатке. Процессы обработки изображения на сетчатке таковы (рис. 1):
обнаружение длительно сохраняющего положение контура;
обнаружение кривизны контура;
обнаружение движущегося контура по изменению его контрастности;
обнаружение изменения освещенности.
Работа глаза лягушки почти не зависит от общей освещенности. Поэтому способность лягушки узнавать свою жертву и моментально обращать на нее внимание не изменяется при изменении внешней обстановки. Так же, как мы можем опознавать образы в очень разнообразных условиях, лягушка способна видеть свою жертву и хватать ее при ярком свете и в сумерках, независимо от того, находится ли она в естественных условиях или в террариуме.
Изображение на сетчатке глаза передается в мозг лягушки по зрительному нерву не как единое целое: в мозг поступают уже кодированные, разделенные по четырем признакам элементы изображения. На рис. 1 показаны четыре предмета, находящиеся в поле зрения лягушки. Верхние предметы движутся к центру, нижний правый — от центра, нижний левый — неподвижен. Когда изображение проектируется на сетчатку, то сначала все контуры выделяются резко (I), затем неподвижный предмет становится невидимым (II), а контуры движущихся тел обозначаются четче и ярче (III и IV).
Каждая группа волокон зрительного нерва служит для передачи одного вида сообщений в соответствующий слой нервных окончаний в мозге. В мозге лягушки имеется четыре таких слоя, соответствующих четырем процессам трансформации изображения. Действия лягушки являются результатом переработки ее мозгом кодированной информации, поступающей от зрительного аппарата.
Техническая система, моделирующая работу зрительного анализатора лягушки, намного больше, чем его прототип, созданный природой. Это ящик объемом в 1,8 м3, в котором находится более 30 000 реле, транзисторов, фотосопротивлений, неоновых ламп и других электронных компонент (рис. 2).

Рис. 2. Внешний вид электронной модели глаза лягушки
Главная часть прибора состоит из одинаковых вычислительных машин, которые расположены одна за другой и воспроизводят функции четырех слоев нервных окончаний в мозге, анализирующих сигналы изображения. Изображение проектируется на экран с 1296 фотоэлементами, выполняющими роль рецепторов сетчатки. Дальше информация передается от слоя к слою и сортируется при этом на нужную и ненужную. Нужная информация переносится от одного слоя к другому световыми лучами неоновых ламп и воспринимается фотосопротивлениями.
Устройство непрерывно анализирует обстановку над аэродромом с точки зрения ее безопасности и в случае создания угрожающего положения, при котором одному из самолетов необходимо дать команду уйти в сторону, решает, кому именно нужно дать такую команду. Летчики и аэродромные диспетчеры считают, что новая система существенно увеличивает безопасность полетов. М. Хершел и Т. Келли, авторы первого варианта функциональной электронной модели глаза лягушки, считают, что устройства такого типа можно с успехом использовать в радиолокационных системах противоракетной обороны (ПРО). В системах ПРО они могут применяться для мгновенного опознавания ракет, что обеспечит уменьшение времени, необходимого в наши дни для вычисления баллистических траекторий.
Интересно, что глаза голубя, которые, как известно, прекрасно воспринимают изображение, обладают той же способностью, что и глаза лягушки: они тоже осуществляют предварительную обработку получаемой информации. Благодаря этому мозг воспринимает уже преобразованное изображение того, что видит глаз. Знание механизмов переработки информации в зрительном анализаторе голубя может оказаться полезным для разработки радиолокационных устройств, в частности сложных устройств для разведки и съемки местности.
Особый интерес представляет способность зрительного анализатора голубя избирать объекты, движущиеся в одном направлении. Это свойство получило название "способности обнаруживать направленное движение". Использовав его, можно построить обзорную радиолокационную систему, обнаруживающую самолеты, летящие в заданном направлении, например в сторону авиабазы, и, следовательно, осуществляющую предварительную обработку информации, близкую по принципу действия к функции биологической системы. Выяснением этого принципа заняты сейчас сотрудники одной из американских фирм, создающие модель глаза голубя.

Рис. 3. Грубая анатомическая схема сетчатки глаза голубя (а) и функциональная схема модели его сетчатки (б)
Сетчатка его глаза по существу представляет собой трехслойное устройство (рис. 3, а). Внешний слой содержит колбочки, или фоторецепторы, которые преобразуют воспринимаемые глазом световые сигналы в электрохимические потенциалы и передают последние в промежуточный слой, состоящий из нейронов, или нервных клеток, называемых биполярными или просто биполярами. Биполяры "переводят" сигналы, поступающие из внешнего слоя, и передают их (как принято думать) в виде последовательностей импульсов в третий слой, состоящий из нервных окончаний, выходные импульсы которых направляются в мозг по волокнам зрительного нерва.
Чрезвычайно важным элементом зрительного аппарата голубя является нейрон. Для моделирования его требуется разработать значительно более сложное устройство, чем ранее созданный оптический решающий фильтр[20]. Новый аналоговый нейрон, смоделированный в лаборатории, ближе по своим характеристикам к биологическому. Для биологического нейрона характерно наличие рефрактерного периода[21], по истечении которого нейрон снова приобретает нормальную чувствительность к раздражению. Кроме того, биологический нейрон должен обладать способностью генерировать, выходной сигнал в кодированной импульсной форме, свободной от дихотомии[22], свойственной выходному сигналу ранее сконструированного устройства. Наконец, наиболее важное свойство биологического нейрона — его способность запоминать, каким образом он реагировал на последнее раздражение, что отличает его от обычного логического устройства, работающего по принципу "большинства". Именно эти свойства зрительного анализатора голубя характерны для недавно созданной модели аналогового нейрона и отличают ее от ранее предложенной. Последняя, напомним, была основана на модели нейрона, реализующей пространственное суммирование и пороговую операцию.
Описанная выше схема глаза голубя показана на рис. 3, 6. Для моделирования биполярных и ганглиозных клеток использовались видоизмененные модели Хармона. Колбочки моделируются набором фотодиодов, каждый из которых соединен с эмиттерным повторителем. На выходе повторителя включен биполярный элемент, управляемый перепадом постоянного тока. Разветвляющиеся беспорядочные соединения между колбочками, биполярными и ганглиозными клетками выполнены на коммутационных панелях приборной стойки, на которой размещена большая часть схемы сетчатки.
Для моделирования нейронной структуры глаза голубя в модель Хармона были внесены некоторые изменения. Вместо одного запрещающего входа предусмотрено пять таких входов с тем, чтобы элемент имитировал горизонтальные и амакринные нервные клетки.
Каждый нейрон помещен на отдельной схемной панели, детали которой легко изменить в соответствии с характером поставленной задачи.
Скорость работы модели нейрона соответствует частотам порядка килогерц, т. е. эквивалентна скорости работы биологической системы. Чтобы создать фильтры для радиолокационных систем, основанных на этом принципе, потребуются частоты порядка мегагерц. В связи с этим специалисты создали высокоскоростную модель нейрона на блокинг-генераторе и интеграторе.
В ней содержится рецепторное поле со 110 фотодиодами и отдельной стойкой, на которой размещены эмиттерные повторители и система соединений с 80 биполярными нейронами. В данной модели последние соединены с 6 ганглиозными элементами. При попадании светового сигнала на рецепторное поле выходные импульсы отдельных фотоэлементов преобразуются в звуковые сигналы или подаются на осциллограф.
Пока что эта модель оказалась способной обнаруживать пятна и их края, движущиеся в определенном направлении. Система, однако, не обнаруживает неподвижные пятна или края.
Для создания индикатора пятна, движущегося в определенном направлении, т. е. для создания модели глаза голубя, исследователи намерены дополнительно ввести в созданную ими систему некоторое количество нейронов и расширить рецепторное поле. Последнее будет содержать до 200 фоторецепторов, число биполяров повысится до 150, ганглиозных клеток — до 25. В глазу же голубя число нейронов может достигать миллиона.
Поскольку точное устройство глаза голубя неизвестно, специалисты проводят эксперименты, по-разному соединяя между собой отдельные элементы модели. Для облегчения этой задачи используется коммутационная панель, при помощи которой надеются опытным путем установить, каким образом голубь выбирает определен-
Мое направление полета. Выяснив это, инженеры смогут перейти к изучению способности глаза голубя производить предварительную обработку данных.
Относительно реакции голубя на объект, движущийся в определенном направлении в его поле зрения, известно лишь то, что эта реакция не обусловлена деятельностью мозга, а возникает в результате предварительной обработки информации на участке глаз — мозг. Эта способность голубя, по-видимому, позволяет ему принимать быстрые и правильные решения. Полагают, что результаты изучения процессов переработки информации в глазу голубя внесут большой вклад в теорию и практику построения приборов, воспринимающих информацию. Такие исследования займут, вероятно, немало времени. А пока изобретательные ученые и инженеры нашли оригинальный способ использования совершенного зрительного аппарата живого голубя.
Одна американская фирма, производящая электронное оборудование, в течение довольно длительного времени терпела значительные убытки. Изготавливаемые ею дорогостоящие приборы быстро выходили из строя. Заказчики негодовали и, разумеется, требовали компенсации. Нужно было спасать репутацию фирмы...
Проведя анализ причин, специалисты фирмы выяснили, что приборы приходили в негодность из-за мельчайших трещин в покрытии некоторых деталей. Но и после этого ситуация нисколько не улучшилась — контролеры по-прежнему пропускали брак, так как дефекты покрытия было чрезвычайно трудно различить. Следовало заставить контролеров быть более внимательными, и руководство фирмы обратилось за советом к психологам. В качестве консультанта был приглашен профессор Колумбийского университета Каммингс. Профессору было известно, кто может справиться с такой работой наилучшим образом. В свое время доктор Верхэв из Сан-Франциско решил использовать голубей, обладающих большой остротой зрения, в качестве... контролеров на фармацевтических заводах. Когда голуби обнаруживали, что облатки и пилюли отличаются по размеру или цвету от стандарта, они тут же отбрасывали их. Эти же свойства голубей поставила себе на службу одна южноафриканская фармацевтическая фирма. Голуби не тяготились однообразной работой и оказались способными к длительной сосредоточенности.
И вот у конвейера, по которому двигались капризные детали электронной аппаратуры, поставили клетку с голубем. В ней находились две стеклянные пластинки, соединенные с системой электрической сигнализации. Голубь приступил к исполнению своих "контролерских обязанностей". Взглянув на проплывающую мимо доброкачественную деталь, голубь клевал ту из двух пластинок, которая включала сигнал "все в порядке". Если же на конвейере появлялась деталь, чем-то отличавшаяся от нормальных, птица клевала другую пластинку, указывающую на то, что идет брак. Опыт повторяли сотни раз. Обнаружение бракованных деталей поощряли, как водится, просяными зернами, и постепенно голубь превращался в высококвалифицированного контролера. Сначала он замечал дефекты явные, позже — трудноразличимые и, наконец, совершенно неразличимые человеческим глазом. Обучение, в зависимости от способностей "ученика", продолжалось 50 — 80 час. Профессор подсчитал, что голубь не замечает дефектов только в 1 % случаев,
Об успешном использовании голубей в качестве контролеров на производстве сообщалось совсем недавно и в нашей печати. Инициатором этого нововведения явился заместитель главного технолога одного из московских машиностроительных заводов А. М. Быков. Вместе с товарищами по работе — инженером-конструктором С. К. Лапшиной и начальником лаборатории А. С. Пантелеевым Быков решил использовать голубей для визуального контроля шариков для подшипников. Для обучения птиц выполнению столь ответственной функции инженеры построили специальный стенд, по конструкции очень сходный с описанным выше устройством. Но голубь — чуткая птица, и повозиться с наладкой работы "голубиного ОТК" пришлось, не имея опыта, изрядно. То птицам, рассказывает Быков, не нравился свет, то они не хотели есть из кормушки, подававшей поощрительные зерна. Один голубь клевал сильно, другой — слабо, пришлось подбирать пружинки контактов. В конце концов дело пошло на лад. Голуби научились сортировать шарики для подшипников. Но, приступив к работе, крылатые контролеры уже на другой день стали браковать все шарики подряд, без разбора. Не помогало ни удвоенное вознаграждение, ни улучшенное освещение. Причина оказалась совершенно неожиданной. Голуби замечали даже следы пальцев на зеркальной поверхности и отправляли шарики в брак. Стоило протереть их предварительно тряпочкой, как все стало на свое место и работа наладилась.
Интересно, что голубь, получая вознаграждение только за бракованные детали, никогда не "жульничает", чтобы получить лишнее зернышко. Опыт советских инженеров по применению "голубиного ОТК" показывает, что на первоначальное обучение новичка функциям контролера нужно 3 — 5 дней, а через 2 — 3 недели "квалификация" его значительно повышается и, чем тоньше становятся дефекты в контролируемой продукции, тем бдительнее делается птица. Производительность голубя — 3 — 4 тысячи деталей в час, работать он может несколько часов подряд, не обнаруживая признаков усталости и не снижая качества контроля.
"А если голубь заснет или перестанет клевать? — спросил журналист у инженера Быкова.
— Блокирующее устройство прекратит подачу деталей.
— А если будет так много брака, что голуби объедятся?
— Тогда надо гнать бракоделов с работы, — смеясь ответил Анатолий Михайлович. — В ближайшее время мы хотим внедрить голубиный контроль на небольшой пуговичной фабрике. Сейчас этим делом там заняты семь женщин.
— Допустим, голубь надежнее человека. Но ведь имеются и контрольные автоматы для разбраковки шариков. Они-то уж абсолютно надежны.
— Пока таких автоматов нет, и вряд ли они скоро появятся. Для этого их нужно обучить распознаванию образов, т. е. решить сложнейшую задачу современной кибернетики, снабдить автоматы высококачественной оптикой с большой разрешающей силой, составить для каждой детали свою программу. А голубь с детали на деталь переходит легко. На переучивание ему достаточно двух-трех часов".
И наконец, еще один интересный аспект предполагаемого использования голубей. Сотрудник Стэнфордского университета доктор Сонтаимер задался целью обучить голубей ... грамоте! Стаи по 26 голубей обучаются грамоте по весьма своеобразной системе: каждый голубь должен запомнить только одну определенную букву алфавита. Такие стаи собираются разместить в отделах всех крупнейших американских банков. Получив чек и "прочитав" фамилию лица, его подписавшего, голуби должны отстучать поочередно все буквы этой фамилии на клавишах специального автомата, который затем переправит чек для оплаты в автоматизированную бухгалтерию.
Конечно, можно заставить сами автоматы различать подписи и совершать требуемые операции, но такие автоматы стоят чрезвычайно дорого. Голуби же почти ничего не стоят, а расходы по их содержанию не идут ни в какое сравнение с зарплатой специалистов-контролеров.
Таким образом, вопрос о том, что, как и чем видит какая-либо особь, в настоящее время, когда могущественная электронная и вычислительная техника позволяет анализировать и моделировать чрезвычайно сложные устройства и функции биологических систем, представляет скорее утилитарный, чем чисто познавательный интерес. Приведенные выше примеры, нам думается, убедительно подтверждают это.
В ряду задач, стоящих перед бионикой, исследование и моделирование процессов зрительного восприятия, конструктивных особенностей зрительного анализатора человека и животных занимают важнейшее место. Дело в том, что более 90% всей информации о внешнем мире поступает в бионическую систему через глаза. Недаром ученые называют глаза "мозгом, вынесенным на периферию".

Рис. 4. Схема строения глаза человека. 1 — ресничная мышца; 2 — радужная оболочка; 3 — водянистая влага; 4 — зрачок; 5 — роговица; 6 — связка, поддерживающая хрусталик; 7 — хрусталик; 8 — стекловидное тело; 9 — сетчатка; 10 — центральная ямка; 11 — слепое пятно; 12 — зрительный нерв. Оптическая ось показана пунктиром
Бионические исследования зрительных анализаторов, созданных природой, — это не просто одно из центральных направлений молодой науки, это одно из тех немногих ее направлений, в котором специалисты ожидают наиболее быстрого выхода результатов научных изысканий в практику. Именно в этой области, где техника испытывает особенно острую нужду в новых идеях конструирования и новых принципах работы систем, живая природа располагает чрезвычайно широкой "номенклатурой" существенно различающихся по сфере деятельности и конструкций устройств, техническое воспроизведение которых, по-видимому, надолго обеспечило бы наши потребности.
Возьмем наш зрительный анализатор (рис. 4). Сетчатка глаза воспринимает зрительную информацию примерно 130 миллионами одновременно работающих рецепторных клеток (125 миллионов палочек и 6,5 миллиона колбочек). В этих клетках под действием света возникает возбуждение, которое по нервным волокнам передается зрительному анализатору, расположенному в коре затылочной доли мозга. Общее число нервных волокон в зрительном нерве достигает 1 миллиона, так что в среднем 1 волокно проводит возбуждения от 130 фоторецепторов. Диапазон чувствительности сетчатки тянется от энергии, равной нескольким квантам света[23], до энергии световых потоков, поступающих в глаз от Солнца. Если учесть, что минимально возможное количество световой энергии равно 1 кванту, а человеческий глаз способен зарегистрировать колебания световой энергии в 5 — 10 квантов, то можно сказать, что чувствительность сетчатки доведена почти до предела. Современная радиоэлектронная аппаратура тоже может регистрировать самые ничтожные колебания интенсивности света. Однако существенная разница заключается здесь в том, что технические системы дают возможность регистрировать такие слабые сигналы при температурах жидкого гелия, т. е. в условиях, когда "тепловой шум" окружающей среды практически равен нулю. Человеческий же глаз имеет такую феноменальную чувствительность при температурах порядка 20 ° Ц, Кроме того, восприятие неподвижных предметов обеспечивается мелкими подергиваниями глаза, которые происходят непрерывно даже в те моменты, когда наблюдатель стремится фиксировать взгляд на какой-либо неподвижной точке. Частоты этих подергиваний лежат в пределах от 1 до 150 гц. Наконец, при рассматривании крупных объектов оба глаза строго синхронно совершают с большой угловой скоростью (до 400 ° в секунду) скачки от одной точки изображения к другой. При этом время рассматривания объекта распределяется следующим образом. На скачки затрачивается около 3% всего времени, а остальные 97% времени взгляд оказывается фиксированным на тех или иных наиболее ярких и важных элементах изображения. При рассматривании движущихся объектов глаза передвигаются с угловой скоростью, равной угловой скорости движения объекта относительно наблюдателя. Такое непрерывное слежение за объектом перемежается периодическими скачкообразными движениями глаза, имеющими своей целью корректировку ошибок. Благодаря бинокулярному зрению мы видим предметы объемно, телесно, можем определять расстояния между ними и их отдаленность. Наконец, наши глаза способны различать оттенки цветов — они воспринимают голубизну морской волны и зарево заката, золото осеннего листа и палитру Левитана.
Мы перечислили далеко не все особенности нашего зрительного анализатора. Но и они при глубоком исследовании могут дать ключ к решению ряда важнейших технических задач.
По аналогии с глазом можно было бы создать системы автоматического управления количеством света, падающим на фоточувствительный прибор, что обеспечило бы равномерную чувствительность системы в широком диапазоне. Представляет интерес также разработка методов кодирования данных о скорости перемещения сканирующего луча в устройствах, воспринимающих изображения. Можно создать и автоматический определитель глубины пространства (скажем, для анализа аэрофотоснимков).

Рис. 5. Муха диопсида с глазами, расположенными на концах длинных 'рогов'
На многовековом пути развития живых существ их органы зрения непрерывно изменялись, совершенствовались. Ястреб и орел, например, способны с большой высоты различать движение даже мелких животных, некоторые другие хищники видят в сумерках. Хорошо развитые глаза имеют многие морские черви. Кальмар и осьминог обладают глазами камерного типа с линзами (хрусталиками), способными устанавливаться на дальнее и ближнее зрение и создавать довольно точные изображения всех окружающих объектов. Несколько лет назад вблизи Орегонского побережья из океанских глубин извлекли неизвестную ранее рыбу. Биологи обратили внимание на ее своеобразные выпученные глаза. Присмотревшись внимательнее, они пришли к удивительному выводу: обитатель глубин, получивший название батилихнопуса, обладал двумя парами глаз. Верхняя пара глаз, как полагают ученые, может обозревать то, что находится над рыбой и за ней, а нижняя пара глаз, обладающих высокой чувствительностью, направлена вниз. Эта дополнительная пара помогает их хищному обладателю охотиться во мраке больших глубин. Вторая пара у батилихнопуса, по-видимому, представляет собой уникальное исключение у позвоночных животных и тесно связана с развитием стереоскопического зрения. Зато в царстве насекомых многоглазие не редкость. У некоторых из них дополнительные глаза представляют собой просто пигментированные пятнышки, у других, например у некоторых пилильщиков, дополнительные глаза покрыты прозрачными линзообразными утолщениями кожи. У третьих поверхность глаз обладает различной кривизной, так что одна пара видит лучше в горизонтальной плоскости, а другая — в вертикальной. Прекрасно развиты глаза у бабочек. Так, ночные бабочки бражники способны различать тонкие оттенки цвета в сумерках при таком слабом освещении, когда человек не может разглядеть даже основные тона. Очень оригинальны глаза у мух диопсид. Эти насекомые с длинными рогами на голове живут у нас в Сибири и на Кавказе. Их глаза расположены на концах "рогов" на вытянутых в стороны длинных стеблях. Глаза диопсид (рис. 5) работают так же, как... артиллерийский дальномер (расположение глаз на стебельках обеспечивает чрезвычайно широкоугольное пространственное зрение и тем самым облегчает ориентировку насекомого в воздухе).

Рис. 6. Фасеточный глаз в разрезе
Говоря о тех или иных достоинствах устройства глаз, механизма зрения различных животных, нельзя не отметить, что природа особенно много выдумки и изобретательности проявила при создании органов зрения насекомых. И не случайно в бионике уделяется повышенное внимание изучению зрительного анализатора членистоногих. Насекомые обладают так называемыми фасеточными глазами, т. е. сложными глазами (рис. 6), состоящими в среднем из 5 — 10 тысяч зрительных единиц — омматидиев — изолированных друг от друга секторов, каждый из которых воспринимает лучи, идущие только параллельно его оси. Лучи же, падающие под углом к этой оси, поглощаются боковыми стенками. Такой глаз не дает единого изображения, а создает мозаику, в которую каждый элемент глаза вносит отдельное изображение. Результат можно представить себе как нечто довольно похожее на фотографию, отпечатанную на газетной бумаге. Таким образом, насекомые распознают не столько детали объектов, сколько их движение. Поскольку любое движение добычи или врага немедленно улавливается одним из элементов глаза, такого рода орган удивительно соответствует образу жизни членистоногих. Мозаичное зрение облегчает насекомым передвижение по прямой, так как для этого им достаточно сохранять изображение Солнца в одном из омматидиев. Низкую пространственную разрешающую силу фасеточного глаза, обусловленную малым числом рецепторов, в известной мере компенсируют его исключительно высокая разрешающая способность во времени. Так, при прерывистом освещении подвижные, быстро летающие насекомые (стрекозы, мухи, насекомые семейства пчелиных) различают отдельные вспышки при их частоте до 200 — 300 вспышек в секунду, что свидетельствует о малой инерционности фасеточного глаза. Зрительный анализатор насекомых обладает чрезвычайно большой чувствительностью к контрастам. Так, глаз насекомого сигнализирует зрительным центрам о таких малых различиях во внешней обстановке, которые вызывают изменение освещенности зрительных клеток на 1% и даже на 0,5%. Фасеточный глаз, особенно у ночных насекомых, способен к очень сильной адаптации: он изменяет свою чувствительность на 4 — 5 порядков и, следовательно, может функционировать в очень широких пределах освещенности. Фасеточный глаз реагирует не только на изменение интенсивности света, но и на изменение его спектрального состава, т. е. он может осуществлять цветовое зрение. Очень многие насекомые "видят" ультрафиолетовые лучи.

Рис. 7. Пчелиный 'фотометр' (стрелками показаны одиночные глаза на голове пчелы)
Человеческий глаз, как известно, воспринимает электромагнитные колебания в области от 0,4 до 0,8 мк, тогда как у многих насекомых нижняя граница этой области доходит до 0,3 мк. Пчелы, мухи и муравьи воспринимают ультрафиолетовое излучение. Правда, пчелы не "знают", что такое красный цвет. Алые цветы они выделяют среди прочих по другим признакам, например по интенсивности отраженных ультрафиолетовых лучей, так что алая роза или красный мак имеют для пчел "ультрафиолетовую" окраску.
Как ориентируются в своих длинных перелетах пчелы? Каким образом, пролетев очень большие расстояния, они находят дорогу к своему улью? Направление полета пчелы определяет все тот же фасеточный глаз.
У пчел и шмелей, кроме отчетливо видных фасеточных глаз, есть еще три малозаметных простых, одиночных, глаза (рис. 7). Назначение этих глаз до последнего времени объясняли по-разному: либо как вспомогательные органы для видения на расстоянии или фиксирования положения цели, либо как органы, определяющие интенсивность освещения. Недавно получены сведения, подтверждающие последнее предположение.
Опыты показали, что благодаря своим одиночным глазам — прекрасным фотометрам — пчелы различают степень освещенности (в пределах от 1,5 до 5 люксов), по которой они определяют время вылета утром за взятком и возвращения в улей вечером. Пчелы с заклеенными одиночными глазами вылетали позже и возвращались в улей раньше, чем контрольные. Если заклеивался только один одиночный глаз, то вылет и последнее возвращение в улей совершались при освещенности, вдвое большей, а в случае ослепления всех трех глаз — в 4,5 раза большей, чем в контрольном опыте. Выключение этих глаз не влияло на поведение пчел в течение дня. Интересно, что в нормальных условиях эти удивительные существа начинают свой последний вечерний путь в улей при освещенности, несколько превышающей ту, при которой они вылетали из него утром. Пчелы как бы учитывают продолжительность полета домой, чтобы прибыть к улью не позже того момента, после которого им станет трудно ориентироваться из-за недостаточной освещенности.
Одна из интереснейших возможностей зрительного аппарата насекомых — их способность видеть "быстрее", чем многие другие животные. Там, где человек видит какую-то промелькнувшую тень, та же пчела, например, отчетливо различает размеры и форму предмета. Временная разрешающая способность фасеточного глаза выше, чем у глаза человека.
Частота повторения вспышек, при которой они сливаются и создают у человека впечатление непрерывного света — 24 раз в секунду, — известна давно и используется в кино, телевидении, для измерений, основанных на стробоскопическом эффекте, и т. д. Насекомые же — мухи, пчелы, осы — не смогли бы смотреть ни кинофильмы, ни телевизионные передачи. При изучении их зрения оказалось, что частота повторения световых импульсов, при которой они сливаются в непрерывный свет, примерно равна 300, т. е. в 10 с лишним раз больше, чем у человека; поэтому насекомые видели бы на экране совершенно раздельные кадры, не сливающиеся в цельное изображение.

Рис. 8. Схема работы фасеточного глаза. В мозг насекомого поступает сигнал от изображения предмета, находящегося напротив ближайшего омматидия
Чем замечательно это свойство фасеточного глаза? Человек различает форму движущегося тела только в том случае, если изображение задерживается на сетчатке в течение 0,05 сек. Если время экспозиции меньше, то различить контуры отдельного изображения уже не удается, а одинаковые изображения сливаются в одно. У мухи же или у осы это время равно 0,01 сек. Измерение центрального угла омматидия мухи позволяет заключить следующее: если муха летит со скоростью 5 м/сек, то предмет диаметром 1,25 см, находящийся на расстоянии 1 м, будет восприниматься каждым омматидием в течение 0,01 сек, и, следовательно, будет виден очень отчетливо. Человек же увидел бы только промелькнувшую мимо тень. Для насекомого в единице времени больше мгновений! Процессы, кажущиеся человеку очень быстрыми, для насекомых идут гораздо медленнее, представляются расчлененными. С этим связана и чрезвычайно быстрая, непостижимая для человека скорость реакции насекомого.
Ничтожная инерционность зрительного восприятия насекомого в сочетании с одной особенностью фасеточного глаза представляет для бионики особый интерес. Дело в том, что в каждом омматидии, как отмечалось выше, возникает одно изображение предмета, находящегося в поле зрения, а значит, во всем фасеточном глазе — целая серия независимых друг от друга изображений. Однако, несмотря на это, мозг насекомого воспринимает лишь одно изображение — то, которое возникло в ближайшем к предмету омматидии. Изображения в остальных омматидиях блокируются (рис. 8). Любой перемещающийся предмет последовательно попадает в поле зрения различных омматидиев. Таким образом, животное оказывается в состоянии определить скоростьдвижения этого предмета.
Глаз мухи и послужил прототипом для прибора, способного измерять мгновенную скорость самолетов, попадающих в поле его зрения. На рис. 9 изображена упрощенная схема такого прибора, состоящего из двух омматидиев.

Рис. 9. Упрощенная электронная модель двух связанных омматидиев. а — задержка; б — суммирующий каскад; в — импульс с двойной амплитудой; г — два импульса с ординарной амплитудой
Когда самолет движется слева направо, возбуждается сначала первый омматидии. Импульс возбуждения поступает сразу на сумматоры первого (I) и второго (II) омматидиев. Но на сумматор II он попадает сразу, а на сумматор I — через линию задержки. Пока импульс находится в задерживающем устройстве I, самолет успевает переместиться в поле зрения омматидия II. Новый импульс возбуждения (теперь уже от второго омматидия) попадает в сумматор I сразу, а в сумматор II — через линию задержки. Когда второй импульс поступает в сумматор I, он складывается там с первым, который к этому времени прошел линию задержки. В результате сложения импульсов от первого омматидия идет один импульс с двойной амплитудой, от второго — два разных импульса с ординарной амплитудой, так как второй импульс поступает с линии задержки в сумматор II тогда, когда первый импульс уже прошел через него. Если бы самолет двигался в противоположную сторону, то сигнал с двойной амплитудой поступил бы с омматидия II, а два сигнала с ординарной амплитудой каждый — с омматидия I.
Счетно-решающее устройство, моделирующее мозг насекомого (на рисунке не показано), анализирует интервалы между сильными и слабыми сигналами, определяя скорость самолета.

Рис. 10. Линзы фотокамеры 'мушиный глаз'
Два года назад одна американская фирма создала фотокамеру "мушиный глаз" для репродукции особо точных микросхем электронных счетно-решающих машин. Свое название камера получила от объектива, похожего по своей структуре на ячеистую структуру фасеточного глаза мухи. Линза, вернее, 1329 линз, объединенных в один плоский диск (на рис. 10 — в правом нижнем углу), дают множество изображений, что обеспечивает разрешающую способность лучшую, чем 4000 линий на 1 см. Главное достоинство новой камеры "мушиный глаз" — большая скорость съемки, что позволяет получить за кратковременную экспозицию более 1300 изображений одного объекта.
Недавно ученые обнаружили, что глаза мечехвоста обладают уникальной способностью усиливать контраст между краем видимого объекта и фоном картины. Сигнал зрительного нерва, создаваемый относительно ярким светом, блокирует сигналы, порождаемые относительно слабым светом. В настоящее время ученые пытаются создать электронное устройство, которое могло бы имитировать механизм глаза мечехвоста. Они рассчитывают использовать это устройство в телевизионной установке, которая "просматривала" бы рентгеновские снимки, пленку, заснятую с воздуха, или, возможно, снимки Луны. Поскольку такое устройство должно усиливать контраст на краях объектов на снимках, телевизионное изображение будет легче изучать и анализировать.
Специалисты другой американской фирмы работают над следующей проблемой бионики. Они изучают "третий глаз" рака — некий светочувствительный орган, находящийся на хвосте животного; этот орган позволяет раку "видеть" то, что происходит позади него, и находить темные места для укрытия.
Природа чрезвычайно изобретательна. Настолько изобретательна, что "принцип действия" многих из созданных ею систем до сих пор не вполне ясен специалистам. Одна из проблем — зрение высших животных и, в частности, цветовое зрение.
Известен такой древний рассказ. Александр Македонский, хмурясь, рассматривал некую картину, на которой он был изображен верхом на своем знаменитом коне Буцефале. Свой портрет полководец весьма одобрял, но вот конь... Александр выразил свое неудовольствие художнику. Последний оскорбился и потребовал, чтобы к картине подвели коня. Историки утверждают, что, увидев свое изображение, Буцефал обрадовался и стал бить копытами, взволнованный своей импозантностью.
Достоверность этой истории весьма сомнительна. Однако здесь интересно другое: видят ли животные формы и краски так же (или почти так же), как люди?
Выяснением этого вопроса занялся немецкий зоолог Б. Гримек. И вот что оказалось. Кони принимают чучело лошади за живое существо, за своего сородича. Этот факт кажется совершенно непонятным, если учесть, что у лошадей высоко развито чувство обоняния.
Результат другого эксперимента еще более удивителен. Нарисовав на большом листе бумаги лошадь в натуральную величину, Гримек прибил эту картину к деревянному щиту и поставил его у стенки. Лошади реагировали на портрет своего сородича очень живо. Они толпились вокруг, старались коснуться мордой головы "лошади" — заводили знакомство. Казалось, их совсем не беспокоило, что от рисунка пахнет лишь бумагой и масляной краской. Эти опыты были проделаны в манеже. А на открытом пространстве лошади просто не замечали портретов.
Львы нападали на чучело зебры и, только принявшись рвать его, обнаруживали ошибку. Когда гепарду показывали фильм об антилопах, он бросался на экран с такой яростью, что если бы он не был привязан, то наверняка изорвал бы экран в клочья.
А как обстоит у животных дело с цветоощущением? Исследования показали, что цветную картину мира, подобную той, которую видим мы, "созерцают" далеко не все живые организмы. Наш глаз можно назвать первоклассной "лейкой", заряженной чрезвычайно чувствительной цветной пленкой; по сравнению с ним, например, глаз кальмара или осьминога — это простая фотокамера с малочувствительной черно-белой пленкой. Собаки и кошки, как показали опыты немецкого ученого Дуэккера, почти не различают цветов, совершенно нечувствительны к ним крысы, хомяки, мыши и кролики. Зрительное восприятие дождевого червя ограничивается в лучшем случае определением направления на светящееся тело. Не только цветного, но и черно-белого изображения для червя не существует. А вот олени отличают серый цвет от других. Кони, овцы, свиньи, серны, белки и куницы различают цвета, но только в некоторых областях спектра. Большинство обезьян различает множество цветов. Особенно велика чувствительность к цвету у шимпанзе. Восприятие цвета зависит от числа и спектральной характеристики приемников, имеющихся в светочувствительных клетках зрительного анализатора того или иного животного. Так, светочувствительные клетки морской свинки обладают одним приемником, поэтому перед ней окружающий мир предстает в виде черно-белой фотографии. У черепахи два приемника, и она смотрит на мир как бы сквозь зеленые очки. Зрение пчел, так же как и человека, трехцветно. Иначе говоря, у них есть приемники, "настроенные" на три разных цвета, и все богатство красок воспринимается как определенная комбинация трех основных цветов. Но если для человека основными являются красный, синий и зеленый, то для пчелы это сине-фиолетовый, желто-зелено-оранжевый и... ультрафиолетовый. Да, именно так. Пчела, как мы уже знаем, "видит" незримые для нас ультрафиолетовые лучи, и это помогает ей различать цвета, неразличимые для человека. Так же, как и у человека, зрительный аппарат пчелы снабжен сложнейшим автоматическим регулятором, обеспечивающим независимость окраски от условий освещения. Именно поэтому пчеле, так же как и нам, желтый предмет кажется желтым даже тогда, когда под действием изменившегося солнечного освещения он будет в основном отражать зеленые лучи. Цветовым зрением обладают жуки, мухи и даже древнейшие насекомые — стрекозы. Огромные ячеистые глаза последних, как это удалось недавно установить, обладают интересными особенностями. Оказывается, нижняя их часть ощущает цвета, а верхняя видит все однотонным, причем с наибольшей чувствительностью в голубой области спектра. Это еще раз свидетельствует о том, что природа формировала зрительные анализаторы живых существ не только весьма "продуманно", но и очень рационально, экономно. Действительно, верхняя часть глаза стрекозы всегда смотрит вверх и ей нужно заметить лишь черную мошку на фоне голубого неба. Поэтому цветовое зрение в верхней части глаза было бы для стрекозы уже излишеством!
Как мы видим, за многие годы кропотливых исследований ученые собрали немало ценных сведений о цветовом зрении живых существ. Но большая часть добытых данных имеет чисто описательный характер. Для того же, чтобы создать модель органа зрения, которая могла бы различать цвета или опознавать образы, необходимо знать, как работает зрительный анализатор. Как удается, например, человеку отличить красный цвет от зеленого или различные оттенки одного цвета? Почему смесь основных цветов воспринимается как белый цвет? Каким образом человек опознает образы — отличает, например, стакан от чашки или узнает своих знакомых?
Исследование этой проблемы имеет первостепенное значение прежде всего для понимания работы мозга. Ведь все наше существование протекает в непрерывном контакте с окружающим миром, и, следовательно, наше поведение определяется им все время, без каких-либо исключений. С другой стороны, поскольку количество информации, доставляемой нам зрительно, по крайней мере в 1000 раз превосходит количество информации, получаемой остальными органами чувств, следовало бы использовать принцип организации зрительной системы человека для построения "видящих" автоматов. В отличие от обычной телевизионной системы, передающей только изображения, такие автоматы должны были бы обнаруживать и опознавать те или иные объекты, выполняя до известной степени те же функции, что и зрительная система. Наши глаза всегда готовы воспринять любую частоту из видимого спектра. Они обладают поистине фантастической способностью различать оттенки цвета независимо от того, к какой области видимого света он относится. Специалисты установили, что глаз человека различает около 17 000 оттенков. Вполне возможно, что даже эта цифра преуменьшена и зрение человека еще чувствительнее. А если учесть, что число различимых оттенков может доходить до... 100 миллионов (одних оттенков красного — почти 8 миллионов!), то не подлежит сомнению, что создание автоматов по образу и подобию нашего зрительного анализатора беспредельно расширило бы возможности современной измерительной техники.
Пока еще сведения о психофизиологии зрения совершенно недостаточны для полного описания процессов цветоощущения и опознавания. Человек обычно не может объяснить, как он распознает образ. Пока физиологам и психологам известны лишь отдельные качественные стороны этого процесса, но не правила и методы, которыми пользуется человек. Не все аспекты зрения человека изучены одинаково подробно, и еще не все здесь достаточно ясно, особенно в отношении механизмов зрительного восприятия. Однако результаты многочисленных экспериментальных исследований, проведенных в последнее время, позволяют все же уже сейчас интерпретировать некоторые особенности этого процесса.
Известно, что в человеческом глазе цветовым зрением ведают клетки сетчатки — колбочки. Известно также, что у человека можно создать ощущение любого цвета, действуя смесью всего трех цветов — красного, зеленого и синего. Свет с длиной волны 0,66 мк — красный, 0,57 мк — желтый. Именно эти цвета и увидит глаз, если его осветить излучением сначала с одной длиной волны, а затем — с другой. Но как только красные и желтые лучи попадут на сетчатку одновременно, мы воспримем это так, словно глаз был освещен единственным источником света с длиной волны... 0,6 мк — оранжевым светом. Но само "смешение сигналов" с разными длинами волн происходит в глазу отнюдь не по тем же законам, на основании которых проектируются супергетеродинные приемники и частотные конверторы. Здесь все несравненно сложнее.
Еще в 1802 г. английский ученый Юнг высказал предположение, которое было развито знаменитым немецким естествоиспытателем Гельмгольцем: глаз различает цвета потому, что колбочки сетчатки представляют собой чувствительные элементы, реагирующие на красный, зеленый и синий свет.
Экспериментально были получены кривые зависимости чувствительности "красных", "зеленых" и "синих" элементов сетчатки к излучению разной длины волны. По ним легко определить, какой из элементов будет возбуждаться сильнее, когда на сетчатку падает свет той или другой длины волны, какой — слабее, и выяснить, какой цвет увидит человек при попадании в глаз нескольких лучей разного цвета.
Если подобрать цветные лучи так, что все три чувствительных элемента глаза будут возбуждаться одинаково, человек увидит белый цвет. Другими словами, цветной луч мы видим во всех случаях, когда цветочувствительные элементы — колбочки — возбуждены неодинаково.
А каким образом они возбуждаются? Как мозг узнает о том, какая из колбочек возбуждена — "красная", "зеленая" или "синяя"? Уже много лет существует хорошо аргументированная фотохимическая теория зрения, которая состоит в следующем.
Попадая в глаз, световые лучи вызывают разложение светочувствительных веществ, содержащихся в колбочках, — зрительных пигментов. Освобождающаяся при этом энергия вызывает нервный импульс. Однако полный набор пигментов, находящихся в колбочках, и их природа пока неизвестны. Не вполне ясен пока и механизм возникновения возбуждения и его передачи от колбочек к мозгу. Исследования этих процессов привели к неожиданным результатам.
Возбуждение нервного волокна, связывающего колбочку с соответствующим участком головного мозга, как и любого другого нервного волокна, состоит в изменении электрического потенциала клеток, из которого оно состоит. Электрический потенциал клетки непостоянен. В тот момент, когда она из спокойного состояния переходит в возбужденное, наружная сторона клеточной поверхности становится отрицательно заряженной по отношению к внутренней. Импульс длится одну-две десятитысячные секунды. Затем вновь восстанавливается первоначальное состояние. Возбуждение клетки всегда сопровождается изменением ее потенциала.
М. М. Бонгард и А. С. Смирнов предположили, что информация о цвете, воспринимаемом колбочками, заложена в характере изменения потенциалов нервных волокон зрительного нерва.
Измерения потенциалов нервных клеток проводились с помощью микроэлектродов — миниатюрных стеклянных капилляров, заполненных раствором, хорошо проводящим электрический ток. Прочные стеклянные стенки изолируют электролит вплоть до самого кончика электрода. Такой микроэлектрод погружают в клетку и соединяют с другим, расположенным снаружи, через весьма чувствительный прибор. Таким образом удается с достаточной точностью измерять клеточные потенциалы, но только в том случае, если диаметр кончика электрода не превышает 0,5 мк. Стоит его увеличить до 1 мк — и он будет повреждать клетку при погружении — вскоре после "укола" клетка погибнет. Исследователей интересовало не столько статическое распределение потенциалов по клетке, сколько характер их изменения при облучении глаза разным светом, поэтому в качестве измерительного прибора был использован осциллограф. Экспериментировали с глазами обыкновенной травяной лягушки. Причем сначала ученые даже не знали, умеет ли лягушка различать цвета!
С изменением окраски пучка света, падавшего в глаз, менялись и биотоки сетчатки. Но не всегда. Иногда цвет менялся, а глаз лягушки на это не реагировал. Так удалось выяснить, что у лягушки только два типа цветочувствительных элементов — "голубые" и "красные" — и смесью этих двух цветов у нее можно вызвать ощущение любого цвета. Лягушка видит примерно так же, как и люди-дальтоники, у которых в сетчатке всего два типа цветоприемников. Но тем не менее цветовое зрение у лягушки есть.
Как и предполагали исследователи, оказалось, что при воздействии пучками разного цвета нервные волокна передают разные сигналы — одного вида при красном свете и другого при голубом. На красный свет волокна отвечали короткой серией импульсов, частота повторения которых заметно уменьшалась со временем, а при достаточной длительной экспозиции импульсы пропадали совсем. При облучении глаза синим светом частота импульсов, передаваемых нервным волокном, изменялась медленнее. Итак, различие в характере сигналов, возникающих при облучении глаза светом разного цвета, было установлено экспериментально.
И сразу же возникла идея о способе моделирования цветового зрения. При проведении опытов было замечено, что законы, по которым нарастает ток фотоэлемента при облучении его синим и красным светом, неодинаковы. (С помощью фотоэлемента экспериментаторы контролировали яркость света, которым облучали лягушку.)
Оказалось, что при облучении синим светом скорость нарастания тока фотоэлемента значительно больше, чем при облучении красным. И это наблюдение оказалось весьма полезным. В самом деле, ведь такой прибор можно использовать в качестве цветочувствительного органа, сигналы которого позволят определить, какой цвет он "видит". Для этого следует только подать снимаемые с него импульсы на некоторое устройство, которое могло бы разделять их по крутизне фронтов. Если проходит импульс с крутым фронтом, устройство "решает", что фотоэлемент освещается синим светом; если фронт растянут, значит, свет красный.
Такая модель была создана. И она безошибочно отличала красный свет от синего, но только в том случае, если энергетическая яркость обоих пучков оставалась постоянной. Если же яркость пучка синего света постепенно увеличивалась, то модель ошибалась и называла его красным. И с этим ничего нельзя было сделать: ведь для модели соответствующее такому изменению освещенности медленное нарастание тока фотоэлемента служит признаком именно красного цвета. Попутно выяснилось, что человеческий глаз тоже делает такого рода ошибки. Далее. При длительной экспозиции ток фотоэлемента в весьма короткое время достигает некоторой установившейся величины (время нарастания импульса), и только в этом интервале времени модель может определить, красный ли свет падает на нее или синий. По величине установившегося тока об этом судить нельзя. Но и здесь налицо аналогия с особенностью человеческого зрения. Ведь мы видим неподвижные предметы только благодаря непрерывному подергиванию глазных яблок — тремору. Был проделан такой опыт. Непосредственно к глазному яблоку прикреплялся с помощью присоски небольшой диапозитив. Естественно, что он двигался вместе с глазом и на сетчатку проектировалось его неподвижное изображение. И человек переставал видеть картинку, не говоря уже о ее расцветке.
Почему для зрительного восприятия неподвижных предметов нужен тремор? Фотохимическая теория зрения на этот счет не может дать никаких объяснений. А вот почему фотоэлемент (в котором не происходит химических реакций, но с помощью которого модель тем не менее различает цвета) выдает информацию о цвете только за время установления процесса, это ясно из предыдущего. Кстати, роль мышцы, двигающей глаз и таким образом делающей видимыми неподвижные предметы, может в модели с успехом исполнять, например, обтюратор кинопроекционного аппарата.
Итак, ученым удалось создать устройство, обладающее цветовым зрением, но эта функция моделируется без помощи каких бы то ни было фотохимических реакций. В приборе используется фотоэффект. На этом основании авторами исследования была выдвинута новая, фотоэлектрическая теория зрения. Однако ни старая — фотохимическая, ни новая — фотоэлектрическая теории не могут пока удовлетворительно объяснить ряда экспериментальных данных, касающихся устройства и функционирования органов зрения. Накопление фактов и обобщения делаются во многих лабораториях мира. Результаты не должны заставить себя ждать.
Цветоощущение — это лишь одна сторона проблемы зрения. Другой ее аспект, давно привлекший внимание ученых, — возможность моделирования узнавания, или, как говорят специалисты, работающие в этой области, опознавания образов.
Опознавание образа заключается в выборе одного образа из системы образов, накопленных и классифицированных по определенным признакам. Для человека — это выбор из системы образов, сложившихся в течение его жизни.
Проделаны эксперименты, однозначно подтверждающие первостепенную роль выбора в процессе опознавания. Подсчитано, что число образов типа "печь", "стул", "стол" и т. д. составляет у взрослого человека всего около 1000. Достаточно четкое изображение любого из этих предметов-образов будет с большой долей вероятности (или попросту — почти наверное) опознано человеком. Как нам это удается?
Каждый светочувствительный элемент сетчатки человеческого глаза (палочки и колбочки) воспринимает проектируемое на нее хрусталиком изображение, образуя своеобразное мозаичное панно. Каждый элемент мозаики имеет определенный тон — от черного до белого. В самом деле, ведь палочки и колбочки расположены на некотором расстоянии друг от друга и реагируют на яркость только того участка объекта, который проектируется на каждую из них в отдельности. Поэтому падающее на сетчатку изображение имеет вид густо расположенных точек, отличающихся по яркости, а расстояние между ними соответствует расстоянию между светочувствительными элементами. Такое изображение очень похоже на обыкновенное газетное клише. В нем яркость отдельных элементов не изменяется хаотически, а в основном определяется распределением яркости по объекту. Весьма немногочисленные элементы изображения, соответствующие границе между разными по тону его участками, значительно отличаются по яркости от своих соседей.
Такие элементы образуют контурные линии, и именно с ними связана наибольшая часть информации. В этом легко убедиться, если вспомнить, например, как легко по шаржу, дающему очень неполное представление об оригинале, узнать человека.
При опознавании сложного образа не требуется его расчленение на все простейшие конфигурации, из которых состоит сам образ, хотя, если это потребуется, зрительная система может детально проанализировать изображение, подобно тому как это делается в передающих телевизионных трубках. (Такая аналогия, разумеется, весьма поверхностна. Речь идет о том, чтобы просмотреть изображение "все как есть".)
Однако такое подробное рассмотрение изображения было бы избыточным. Для опознания образа необходимо выделить в его изображении лишь главное, первостепенное, устранив избыточность, которую создают детали, имеющие малую информационную ценность.
Избыточность может быть устранена путем исключения многократно повторяющихся сигналов от "статичной", не меняющейся информации — ведь не видят же лягушки неподвижных предметов. Кроме того, информация об образе кодируется. Применительно к зрительной системе (как и к любой другой системе обработки информации) кодирование представляет собой наиболее экономный способ описания образа.
Таким образом, зрительная система не просто переносит в наш мозг информацию о распределении яркости на отдельных участках сетчатки, а уже с момента, когда на ней появляется изображение, выделяет его характерные элементы, признаки, "не обращая внимания" на те его участки, которые не несут информации об увиденном. Мозг получает эту информацию и удерживает ее — человек запоминает образ.
Дальнейшее как будто несложно. В нашей памяти хранятся признаки некоторого количества образов, накопленные в процессе "обучения", т. е. попросту за время, прошедшее с тех пор, когда мы в раннем детстве стали "опознавать" окружающие нас предметы. Мозг, воспринимающий какой-либо образ, сравнивает признаки последнего с соответствующими признаками, хранящимися в памяти, и в случае обнаружения их сходства решает, что именно видит человек.
Однако на самом деле, для того чтобы облегчить опознавание, мозг еще раз обрабатывает информацию, поступающую от зрительного анализатора, — человек формализует образ. Мозг продолжает работу, начатую органами зрения, — он выделяет из всех признаков, о которых в каждом случае сообщает глаз, лишь наиболее существенные, характерные для данного образа или группы образов. На основании этих сведений человек, видевший, например, овчарку и бульдога, с уверенностью скажет, что такса — собака, несмотря на то что животные этих трех пород несколько отличаются друг от друга по внешности. Или, скажем, для ребенка, видевшего лошадь только лежащей или стоящей, не составит труда опознать ее, если она будет бежать.
В умении человека отвлекаться от несущественного заложена основа нормальной деятельности его мозга. Ведь если бы зрительный анализатор человека был подобен телевизионной системе, не сортирующей передаваемую информацию по степени важности, то многообразие впечатлений внешнего мира быстро переполнило бы его мозг. В самом деле, зрительный нерв состоит примерно из 1 миллиона волокон. По ним с сетчатки в течение 0,1 сек поступает в мозг такое же количество сведений об элементах изображения, а за несколько минут эта цифра возрастет до десятков миллиардов и превысит общее число нейронов в коре больших полушарий. Таким образом, емкость всего мозга, а не только его зрительных отделов, была бы израсходована в течение нескольких минут.
Так в чем же состоит трудность моделирования процесса опознавания? Ведь уже теперь существуют машины с памятью огромной емкости, которые могли бы запомнить колоссальное количество признаков и сравнивать по ним образы, подлежащие опознаванию. Что же касается избыточности информации в образах, то конструктор мог бы, вероятно, придумать некое устройство, которое устраняло бы ее. Так и поступают, когда создается машина, которая должна решать какую-либо одну задачу или узкую совокупность задач. Однако наличие у машины большой памяти нисколько не может помочь при моделировании опознавания по той причине, что для работы любой вычислительной машины нужно составить программу, в которой задача опознавания была бы полностью формализована. Таким образом, едва ли не самую важную часть "работы по опознаванию" должен проделать в этом случае сам программист.
Далее, ограничивая объем поступающей в машину информации, исключая все "ненужное", мы опять-таки выполняем за нее часть работы и при этом ограничиваем ее возможности. Ведь то, что в одной ситуации несущественно, в другой может оказаться весьма существенным.
Итак, для моделирования процесса опознавания необходимо создать машину, которая сама составляла бы для себя программу, сама определяла бы, что существенно для решения данной задачи, и не обращала бы внимания на избыточную (для данной задачи) информацию. Иными словами, конструировать обучающуюся машину следует так, чтобы она могла, подобно человеку, накапливать в процессе обучения некоторый опыт и в соответствии с ним самостоятельно выбирать линию поведения и сортировать получаемую информацию по степени ее важности. Устройство, справляющееся с такими обязанностями, будет весьма близко к мозгу человека.
Однако моделирование психической деятельности человека — чрезвычайно трудная задача. Дело в том, что люди сами не знают достаточно подробно — а в этом случае именно подробности определяют успех дела, — как они учатся, как приобретают опыт, каким образом и какие именно признаки образов, хранящиеся в памяти человека, используются в процессе опознавания, как протекает этот процесс и т. д. Мозг функционирует "сам по себе", "автоматически", его работа проходит мимо нашего сознания, и ее очень трудно анализировать. Для того чтобы разобраться в деятельности мозга, необходимы обстоятельные физиологические и психологические исследования. Но уже тех сведений самого общего характера, которыми располагают специалисты сегодня, оказалось достаточно для создания первых, еще очень несовершенных, но тем не менее действующих обучающихся машин, которые могут опознавать образы. У нас и за рубежом уже построены машины, которые по окончании курса обучения могут уверенно опознавать рукописные знаки и простые геометрические фигуры, например круг и прямоугольник.

Рис. 11. Упрощенная схема перцептрона, поясняющая принцип его действия. Р — рецепторные (чувствительные) ячейки; A — ассоциирующие ячейки; Э — эффекторная ячейка
Одна из первых систем для опознавания геометрических образов была создана в США группой ученых под руководством доктора Розенблата. Система была названа перцептроном (от английского "perception" — восприятие), а ее первая модель — "Марк-1". Очень упрощенная схема модели представлена на рис. 11.
Электроннооптические преобразователи системы, воспринимающие световые сигналы от изображения и преобразующие их в электрические сигналы (эта часть системы воспроизводит функции светочувствительных элементов глаза — рецепторов), образуют матрицу из 400 рецепторов (фотоэлементов), каждый из которых имеет два выхода. При освещении фотоэлемента на одном из его выходов появляется положительный, а на другом — отрицательный сигнал. Каждый выход рецептора соединен с несколькими ассоциирующими ячейками (ячейками памяти), которых в системе 512. Эти соединения имеют совершенно случайный, беспорядочный характер: ведь физиологи, как известно, считают, что связи между ассоциирующими клетками мозга также организованы без определенной системы, случайно.
Таким образом, сигнал от одного рецептора, скажем Рз, возбуждает не отдельный ассоциирующий элемент, в котором накапливается определенная информация, а, как видно из рис. 11, большинство элементов памяти. Если алгебраическая сумма сигналов, поступающих в какую-либо ассоциирующую ячейку от рецепторных, больше нуля и превышает некоторую пороговую величину (в простейшем случае — положительное напряжение, снимаемое с соответствующего выхода рецептора), то такая ассоциирующая ячейка возбуждается и посылает сигнал в эффекторную (реагирующую) ячейку. Суммарная величина сигналов, поступающих в эффекторную ячейку, сравнивается в ней с заранее установленным пороговым значением, и, если она оказывается больше порога, эффекторная ячейка срабатывает.
При этом может произойти ложное срабатывание (учитывая случайный характер монтажных соединений, оно вполне возможно), т. е. эффекторная ячейка может сработать, когда предъявленный перцептрону объект не должен опознаваться. Тогда оператор, занимающийся "обучением" перцептрона, изменяет параметры ассоциирующих ячеек (служащих аналогами нейронов) и добивается от устройства правильной реакции. Таким же методом вырабатывается правильная реакция перцептрона и в противоположном случае, когда подлежащий опознаванию объект остается неопознанным. После некоторого периода "обучения" перцептрон в дальнейшем "самостоятельно" принимает правильные решения. Блок-схема перцептрона приведена на рис. 12.

Рис. 12. Блок-схема перцептрона. 1 — поле рецепторов; 2 — случайные соединения; 3 — блок ассоциирующих ячеек; 4 — эффекторные ячейки
Американские военные проявили к новой машине живейший интерес. По заданию Управления исследований ВМФ США ее эффективность проверяли при расшифровке фотоснимков. Эксперименты показали, что перцептрон обеспечивает надежное опознавание "одиночных целей и целей, окруженных другими по форме объектами". Было отмечено, в частности, что опыты по опознаванию самолетов и ангаров оказались весьма успешными (100% случаев опознавания ангаров и 92% случаев опознавания самолетов в укрытиях). Исследования были проведены с целью повышения эффективности использования фотоснимков, сделанных с метеорологических и разведывательных спутников — "воздушных шпионов". Дело здесь в том, что в настоящее время для расшифровки фотографий, сделанных за один час работы аппаратуры разведывательного спутника "Самос", требуется затратить десятки тысяч человеко-часов. Поэтому результаты, подтвердившие эффективность первого перцептрона, были должным образом оценены и спустя некоторое время была начата разработка новой его модели "Марк-2"; число фоторецепторов в ней было увеличено в 10 раз, а емкость памяти — в 20 раз. Предполагается, что это должно значительно увеличить опознавательные способности перцептрона.
Но вернемся к модели "Марк-1". Она оказалась способной опознавать любую букву после того, как последняя была показана устройству 15 раз; после каждого верного ответа перцептрон получал "подтверждение" от эффекторов в ассоциирующие ячейки (за этим следил оператор, обучавший машину).
Читающие машины типа "перцептрон" до недавнего времени успешно справлялись только с печатными буквами или с буквами, написанными от руки, но печатным, очень четким шрифтом. При этом текст оказывался "по плечу" машине, если каждая буква или цифра была отделена от соседних промежутком. В противном случае перцептрон "терялся".
Это ограничение возможностей машины, вытекающее из несовершенства ее конструкции, уже преодолено: создана машина, способная читать обычный рукописный текст, в котором одна буква непосредственно переходит в следующую. Машина читает слова, написанные любым почерком, лишь бы он был разборчив. Интересен принцип построения, позволивший создать такую машину.
Следящий штифт воспринимающего устройства как бы сам собой, а на самом деле с помощью весьма сложной автоматики, следует за темной линией, образующей букву. Электронное устройство учитывает, анализирует и ненадолго запоминает движения штифта. Далее машина сравнивает длину, высоту и кривизну отдельных элементов букв, а также расстояние между ними и порядок их следования с соответствующими элементами, которые она запомнила в процессе обучения, и, наконец, опознает буквы, читает их одну за другой.
Интересно, что при чтении рукописных текстов успех дела очень часто зависит от способности читающего угадать смысл небрежно написанного слова из связи с предыдущими и последующими, а угадывать приходится из-за одной-двух непонятных букв в слове. Машина справляется и с этой задачей. Когда читающее устройство сообщает о том, что написана некая буква, которая лишает слово смысла, другое устройство, которое следит за порядком в словах, заставляет штифт вернуться и прочесть ее заново. При чтении русского текста это устройство стало бы принимать меры, если бы ему было сообщено о слове, начинающемся с буквы "ь", сочетаниях типа "врж", "счп" и т. д.
Перцептроны представляют собой новый класс "интеллигентных" машин. Это определение может вызвать сомнения, но тем не менее оно отражает существо дела. Новые машины обучаются. При этом они запоминают, "усваивают" не все подряд, а только то, что необходимо для успеха дальнейшей "деятельности". Они анализируют, сопоставляют, обобщают. А это и есть то самое мышление, которое "выводит всеобщее из отдельных вещей", как говорил великий Авиценна. Машины, опознающие буквы и цифры, отличающие круги от треугольников, "мыслят", но еще в очень скромных масштабах.

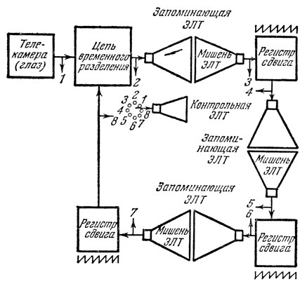
Рис. 13. Блок-схема электронной модели глаза
По последним сообщениям американской печати, в Лаборатории применения вычислительных методов в биологии Иллинойского университета разрабатывается электроннооптическая модель нервной сети человеческого глаза. В основу создаваемой модели будет положен метод параллельного счета, воспроизводящий особенности передачи информации от ганглиозных узлов сетчатки в соответствующие нервные центры коры больших полушарий головного мозга. Однако в настоящее время на первом этапе исследований отрабатывается экспериментальный образец последовательной модели нервной сети глаза, состоящей из ряда запоминающих электроннолучевых трубок (ЭЛТ) (рис. 13). Информация от соседних элементов изображения, попадающих в поле зрения телекамеры, будет считываться двухкоординатным сканирующим устройством и накапливаться на мишенях запоминающих ЭЛТ. С мишени предыдущей трубки она будет налагаться на мишень последующей трубки системы. Таким образом, на мишени последней трубки будет накоплена вся информация, соответствующая характеристике контура в целом. Идея параллельной модели нервной сети человеческого глаза заключается в одновременной параллельной обработке элементарной информации, на основе которой накапливаются уже исчерпывающие сведения, необходимые для опознавания. По словам руководителя работ доктора Форстера, в дальнейшем предполагается создать еще и компактные усовершенствованные образцы систем, обрабатывающих информацию за очень короткий срок (примерно за 10-9сек). Такие модели будут занимать объем обычной пишущей машинки. По быстродействию эти системы превзойдут возможности человеческого глаза, опознающего объект за время порядка 10 мксек.
Предполагается, что запоминающие возможности ЭЛТ, снабженных электронной системой сканирования мишени по двум координатам, позволят осуществить тот качественный скачок в моделировании нервной системы глаза, которого можно достичь только при развитии параллельных вычислительных систем, предлагаемых доктором Форстером. Безусловно, эти системы будут чрезвычайно сложны. Так, в первой модели системы, разрабатываемой в лаборатории под руководством Гассела, запоминающие возможности ЭЛТ использованы только на 64% (растр разложения трубки состоит из 400 строк по 400 точек в каждой). В экспериментальной системе матрица разложения состояла всего из 256 строк по 256 точек в каждой. Но и тогда общее число чувствительных элементов уже составляло 65 536. (В центральной ямке сетчатки глаза содержится всего 30 000 чувствительных элементов.) Конечно, такие сверхсложные системы могут создаваться только на основе новых твердотельных устройств и микроминиатюрной электронно-оптической техники. Но даже в таком случае электронная модель глаза, очевидно, не сможет воспринимать информацию, связанную с изменениями направления движения, яркости и цвета предметов. Пока она способна узнавать только двумерный образ предмета. Однако в дальнейшем параллельная вычислительная система, снабженная уже двумя передающими камерами, сможет моделировать и объемное зрение. По утверждению разработчиков, создание такой системы будет способствовать развитию вычислительного устройства "Numa Rete", считывающего со скоростью 20 000 предметов в секунду случайные объекты независимо от их размера, места расположения, формы и освещенности. Каждый считываемый предмет имеет определенные границы (края). Устройство "Numa Rete" содержит плоскую матрицу из 400 фотоэлементов и, по существу, считывает именно края, фиксируя границы предметов. В этом смысле его можно назвать "детектором границ". Этот принцип в настоящее время положен в основу работы электронных моделей зрительных анализаторов и получил название "логики близости" (Neighborhood Logic). Д-р Форстер пояснил существо логики такого типа следующим образом. Каждый одномерный линейный объект представляет собой препятствие для света и имеет два "конца". Если путь света на "детектор границ" преграждает N объектов, то возбуждаются 2N нервных волокон. Следовательно, общее число объектов, находящихся в поле зрения сетчатки, равно половине возбужденных нервных волокон.
В параллельной вычислительной системе сканирование ведется по двум координатам и фиксируется не только общее число объектов N, но и отдельно число объектов Nc, ограниченных изогнутыми поверхностями. В такой системе осуществляется электронное сканирование реального изображения, запечатленного на мишени запоминающей трубки. Этот метод позволяет моделировать процесс восприятия контура изображения, опознавания предмета и относительной оценки его особенностей на основе постепенного исследования степени контрастности соседних элементов черно-белого изображения и интервалов яркости цветного изображения, а не на основе восприятия всего предмета в целом. В этом и проявляется логика близости. Использование логики близости в вычислительных системах позволит со временем опознавать такие особенности зрительных образов, как форма, топологическая связь, движения образа, мерцания и т. д.
Сейчас еще трудно сказать, насколько сложной будет работа, которую смогут выполнять будущие системы, построенные по образу и подобию зрительного анализатора человека. Их можно будет научить быстро отыскивать нужную фотографию и выделять в ней по неуловимым для человека признакам интересующую его информацию, безошибочно диагностировать болезни по рентгенограммам, определять характер "событий", следы которых фотографируют с экранов осциллографов или в пузырьковых камерах. Они смогут выполнять функции операторов у пультов управления, им можно будет поручать ввод данных в вычислительную машину, определение глубины залегания полезного геологического слоя, наведение беспилотных аппаратов, астронавигацию, сортировку почтовой корреспонденции, наблюдение за уличным и железнодорожным движением и многое другое. Одна машина, будучи обучена выполнению тех или иных функций, сможет научить всему, что умеет сама, сколько угодно других. "Зрячие" машины совершат в технике революцию, которая будет равноценна появлению самих электронных машин.
Более 800 000 книг и аудиокниг! 📚
Получи 2 месяца Литрес Подписки в подарок и наслаждайся неограниченным чтением
ПОЛУЧИТЬ ПОДАРОК