2.1. Взрывы

Одними из типов катастроф на промышленных объектах являются взрывы. Под взрывом понимают мгновенное расширение газовоздушной смеси, в результате которого происходит скачок давления или ударная волна. Основное отличие между пожарами и взрывами состоит в скорости выброса энергии. Во время пожара энергия освобождается медленно, в то время как при взрыве происходит одномоментный выброс энергии, обычно в течении микросекунд. В результате взрывов создаются опасные условия для жизни человека и окружающей природной среды. Взрывы часто приводят к частичному или полному разрушению объекта, ранениям или гибели людей.

Различают два типа взрывов: физические взрывы и химические. При физическом взрыве высвобождающаяся энергия является внутренней энергией сжатого или сжиженного газа. Сила таких взрывов зависит от внутреннего давления, а разрушения могут быть вызваны ударной волной от расширяющегося газа или осколками разорвавшегося резервуара. Масса образующихся паров и скорость парообразования при этом определяется по материальным и тепловым балансам двух возможных аварийных ситуаций: 1) тепловыделение с парообразованием происходит при постоянном объеме; 2) за тепловыделением при сохранении объема следует расширение с сохранением теплового равновесия.

К физическим взрывам относят также явления физической детонации, при которых возникает смешение горячей и холодной жидкостей, когда температура одной из них значительно превышает температуру кипения другой (например, вливание расплавленного металла в воду). Физическая детонация сопровождается возникновением ударной волны с избыточным давлением в жидкой фазе, достигающем в некоторых случаях тысяч атмосфер [103].

При химических взрывах энерговыделение обусловлено экзотермической реакцией между горючим и окислителем.

К опасным факторам взрыва (ОФВ), характеризующим его разрушительность, относят [104]:

• давление во фронте ударной волны;

• избыточное давление взрыва;

• среднюю и максимальную скорость нарастания давления при взрыве;

• дробящие или фугасные свойства взрывоопасной среды.

• Основными параметрами, характеризующими поведение процесса взрыва, являются:

• температура окружающей среды;

• давление в окружающей среде;

• состав взрывчатого вещества;

• физические свойства взрывчатого вещества;

• природа источника воспламенения: тип, энергия и длительность;

• геометрия окружающей среды: ограниченная или неограниченная;

• количество горючих материалов;

• время перед воспламенением;

• скорость выброса горючего вещества.

Поведение взрыва очень трудно охарактеризовать. Было принято много подходов к решению этой проблемы, включая теоретические, полуэмпирические и эмпирические исследования. Несмотря на эти попытки, поведение процесса понято еще не полностью. Поэтому в настоящее время используется подход, основанный на использовании экстраполяции результатов и обеспечивающий подходящий «запас безопасности».

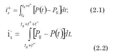
К основным параметрам, характеризующим разрушающую способность взрывной волны, относят избыточное давление и импульс взрыва [77, 103]. В момент прихода взрывных волн ta давление среды повышается до максимального. Затем за время ta+ снижается до давления окружающей среды Рo и продолжает снижаться до величины Рo— Р-s, а потом за общее время t = ta + Т+ + Т возвращается к исходному давлению Рo. Области взрывных волн, давление в которых превышает давление окружающей среды, называют положительными фазами, их продолжительность t+. Области, где давление ниже исходного, называют отрицательными фазами или фазами разряжения с продолжительностью t- и амплитудой Р-s.

Важнейшими параметрами взрывной волны являются положительные i+s и отрицательные i-s удельные импульсы, определяемые как функции времени амплитуд избыточного давления, отнесенного к единице поверхности [77, 103]:

В большинстве случаев определяют параметры взрывной волны, связанные с положительной

фазой. Однако, иногда (например, при взрывах сосудов со сжатыми газами и протяженных источниках взрыва) параметры отрицательной фазы достигают высоких значений и важны при оценке разрушающей способности взрывной волны.

В области положительной фазы используются и такие важные параметры ударных волн, как плотность ? и массовая скорость газа u за волной, скорость ударной волны u, динамическое давление.

Последний показатель наиболее важен для оценки разрушающей способности ударной волны.

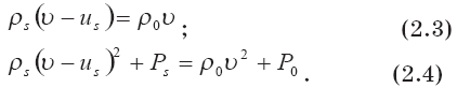
Параметры воздуха (газовой смеси) перед ударной волной и за ней определяются следующими уравнениями:

Здесь индекс «s» относится к параметрам воздуха непосредственно за ударной волной, а абсолютное давление Рs = Р+s + Р0.

Моделирование взрывов основано на закономерностях подобия, в основу которых может быть положен принцип «кубического корня» [1, 103]. Этот принцип заключается в том, что если два заряда одного и того же ВВ одинаковой формы, но разного размера взрываются в одной и той же атмосфере, то подобные взрывные волны будут наблюдаться при одинаковом значении параметров расстояния:

K = R/E1/3 ’ (2.5)

где

R — расстояние от центра заряда, Е — полная энергия взрыва.

Для количественной оценки разрушающей способности ударных волн от взрывов парогазовых сред может использоваться количественный показатель m — масса горючего вещества, приведенная к единой энергии сгорания 46000 кДж/кг, равной удельной теплоте сгорания большинства углеводородов.

На основании результатов исследований последствий крупномасштабных промышленных взрывов паров углеводородов в незамкнутом пространстве для определения безопасного для людей расстояния RB от источника взрыва в виде парового облака массой m выведена формула [1]:

RB=(30–50)m?. (26)

которая соответствует принципу подобия взрывов неорганизованных паровых облаков в области низких давлений.

Разрушающая способность ударных волн в значительной мере зависит от скорости энерговыделения в источнике. Если в сферическую область конечного размера энергия подводится очень медленно по сравнению со временем распространения звука в сфере, то давление не повышается и взрывной волны не будет. Если же энергию подводят очень быстро, то это приводит к росту давления и взрыву. Причем способ и скорость энерговыделения в источнике оказывают существенное влияние на уровень избыточного давления АР и импульс взрыва / [103].

Далее рассматриваются наиболее часто встречающиеся и наиболее разрушительные типы взрывов, описанные в литературных источниках[1, 77, 103, 105, 106, 108].

Взрыв парового облака в ограниченном пространстве

Так характеризуют процесс быстрого химического превращения (горения) газа или пара, происходящий в пространстве, имеющем материальные границы (отдельные аппараты, помещения, здания) и сопровождающийся образованием ударной волны. Причиной взрыва может стать утечка газа, произошедшая внутри здания, или проникновение газового облака, образовавшегося вне здания.

Взрыв парового или газового облака является результатом быстрого выделения энергии в окислительно-восстановительной реакции. При этом газ нагревается, и в условиях ограниченного пространства происходит увеличение давления (в некоторых случаях восьмикратное) [1, 105].

Для взрыва газо-воздушной смеси необходимы следующие условия:

— присутствие горючего газа;

— присутствие кислорода, причем для любого газа существует определенный уровень концентрации кислорода;

— наличие источника инициации химической реакции.

При взрыве возникает фронт пламени, который продвигается под воздействием расширяющихся продуктов сгорания газа. Видимая скорость пламени зависит от геометрии системы, в которой происходит взрыв.

Взрыв парового облака в неограниченном пространстве

Определяется как процесс быстрого химического превращения (горения) облака горючего газа (пара), сопровождающийся возникновением взрывной волны в открытом (неограниченном) воздушном пространстве. Этот тип взрывов происходит, например, при разливе сжиженного горючего газа. Газ рассеивается и смешивается с воздухом, пока не происходит взаимодействие с источником возгорания. Взрывы такого типа происходят довольно редко, так как концентрация взрывоопасных веществ часто находится ниже нижнего предела возгорания из-за разбавления газовоздушной смеси и ее рассеивания. Однако они являются одними из наиболее разрушительных, поскольку в процесс вовлекаются большие объемы газа и большие площади.

Взрыв парового облака в неограниченном пространстве состоит из нескольких последовательных шагов:

1. Внезапный выброс огромного количества воспламеняемого пара. Обычно это происходит при разрушении емкостей, содержащих перегретые жидкости под давлением.

2. Распространение газа по территории и смешивание с воздухом.

3. Возгорание образовавшегося парового облака.

Классическим примером взрыва парового облака в неограниченном пространстве может служить авария в Фликсборо (Великобритания) [1, 103]. Внезапный разрыв трубопровода между реакторами привел к выбросу 30 тонн циклогексана. Паровое облако распространилось по территории завода и было подожжено неизвестным источником через 45 секунд после выброса. Завод был полностью разрушен, погибло 28 человек и еще 89 получили ранения.

Взрыв парового облака очень трудно охарактеризовать. В первую очередь из-за огромного числа параметров, необходимых для описания этого события. Аварии происходили при неконтролируемых обстоятельствах. Данные, собранные от различных аварий, большей частью ненадежны и плохо сопоставимы [1, 103, 105–108].

Некоторыми величинами, влияющими на поведение взрыва парового облака, являются:

• количество утекшего вещества,

• доля испарившегося вещества,

• вероятность возгорания облака,

• расстояние, которое прошло облако до возгорания,

• время задержки до возгорания облака,

• существование порогового количества вещества,

• эффективность взрыва,

• расположение источника возгорания по отношению к месту утечки.

Качественные исследования показали, что вероятность возгорания увеличивается с увеличением размера парового облака; паровое облако приводит к пожару намного чаще, чем ко взрыву; эффективность взрыва обычно мала — приблизительно 2 % энергии сгорания переходит в ударную волну; турбулентное перемешивание парового облака с воздухом и возгорание облака в точке, удаленной от места утечки, увеличивает влияние взрыва.

Почти не существует данных об уровне избыточного давления любого взрыва парового облака, полученных при помощи аппаратуры. Однако в ряде литературных источников доказывается, что хотя величина избыточного давления может быть невелика, но разрушающее воздействие ударной волны, по сравнению с взрывом обычного взрывчатого вещества, характеризующимся той же величиной избыточного давления, будет намного больше из-за гораздо большей длительности взрыва (или величины импульса).

Взрыв расширяющихся паров вскипающей жидкости

Это явление, происходящее при внезапном разрушении резервуара со сжиженным горючим газом и наличии источника воспламенения. Резкое падение давления (при разрушении резервуара) вызывает вскипание жидкости с образованием воздушной ударной волны, приводящей к разрушениям и появлению осколочного поля. Мгновенное воспламенение парового облака приводит к возникновению огневого шара.

Очень часто взрыв расширяющихся паров вскипающей жидкости происходит во время пожара и состоит из следующих стадий [105]:

1. Рядом с сосудом, содержащим сжиженный газ, начинается пожар.

2. Пламя накаляет стенки резервуара.

3. Стенки резервуара ниже уровня жидкости охлаждаются жидкостью, происходит увеличение температуры жидкости и давления в резервуаре.

4. Если пламя достигает стенок или крышки резервуара в том месте, где присутствует только газовая фракция и нет жидкости для отвода тепла, то происходит нагрев стенок сосуда, при котором происходит потеря их прочности.

5. Стенки сосуда разрушаются, происходит выброс сжиженного газа, который тут же испаряется.

6. Пары от мгновенного испарения жидкости зажигаются и образуют огневой шар.

Если взрыв паров расширяющейся жидкости произошел не в результате пожара, то после испарения сжиженного газа может произойти взрыв парового облака в неограниченном пространстве.

Объемный пылевой взрыв

Обычно возникает при воспламенении пылевоздушных смесей, содержащих мелкие горючие частички твердых веществ. Известны объемные взрывы на мукомольных, деревообрабатывающих, горнорудных предприятиях [1, 103, 105].

Для того, чтобы произошел взрыв пылевого облака внутри зданий и в оборудовании необходимо инициирующее внешнее воздействие при достаточно высокой, непереносимой человеком, концентрации пыли; эти объемы обычно непрозрачны. Такие облака могут сохранятся довольно длительное время внутри оборудования (например, элеватора и механизмов дробления), однако, они не могут существовать в течении длительного промежутка времени внутри зданий.

Взрывы пылевого облака опасны тем, что первоначальный инициирующий взрыв способствует возмущению и турбулизации пыли, что приводит к последующему более мощному взрыву. Поэтому взрыв, произошедший в оборудовании, может привести ко вторичному взрыву, который охватит все здание и вызовет намного больший ущерб.

Пылевые взрывы наиболее трудно классифицировать и привести к общей характеристике. Частички пыли сильно отличаются по величине и их размеры на несколько порядков больше, чем у молекул газа. К тому же на поведение частичек пыли большое влияние оказывает электростатическое притяжение.

Экспериментально установлено, что для того чтобы вызвать взрыв, пылевая взвесь должна обладать следующими характеристиками:

• частицы должны быть меньше определенного минимального размера (в литературе дается значение 76 мкм [105]);

• концентрация пыли должна находится в определенных границах. Верхние концентрационные пределы распространения пламени (ВКПР) обычно достаточно велики, и достичь их в производственных помещениях практически невозможно. Поэтому наиболее важен нижний предел, а также более высокие концентрации, при которых достигается максимальная объемная плотность энерговыделения;

• пыль должна быть примерно однородна.

Для большинства пылевых облаков нижний предел концентрации взрыва находится между 20 и 60 г/м3, а верхний предел между 2 и 6 кг/м3 [105].

Взрывы могут протекать в режиме детонации или в режиме дефлаграции; различие основано на скорости ударной волны, возникающей в результате взрыва. Если скорость распространения ударной волны выше, чем скорость звука в непрореагировавшей среде, то это детонация. Если же ниже, то — дефлаграция.

Взаимоотношения между фронтом ударной волны и фронтом реакции определяются режимом взрыва. При дефлаграции давление обычно увеличивается на несколько атмосфер. При детонации давление увеличивается в десятки раз. Существенно различаются и импульсные характеристики взрыва.

Существует два механизма, приводящих к детонации. В первом механизме — тепловом — происходит увеличение температуры реакционной смеси, приводящее к самоускорению скорости реакции. Во втором механизме — цепном разветвленном — происходит быстрое увеличение количества реагирующих свободных радикалов. Обычно этот процесс происходит, если в результате реакции от одного свободного радикала получается два.

Дефлаграция может переродится в детонацию. Это часто происходит в трубопроводах, но маловероятно в сосудах и на открытом пространстве.

В настоящее время не создана модель, позволяющая однозначно предсказать скорость взрывного превращения. В [106] рекомендуется для инженерной оценки использовать специальную экспертную таблицу института Химической Физики РАН.

В этой таблице представлены топлива, способные к образованию горючих смесей с воздухом, которые разделены на классы по чувствительности к инициированию взрывных процессов. Геометрические характеристики окружающего пространства также разделены на несколько классов в зависимости от степени их потенциальной опасности (степени загроможденности). В зависимости от типа вещества и степени загроможденности пространства можно определить наиболее вероятный режим взрывного превращения смеси.

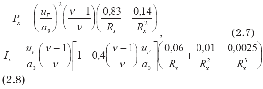
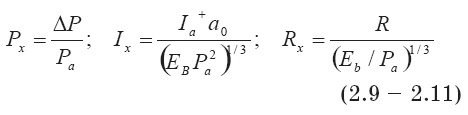
Используя обобщенные экспериментальные исследования по взрыву определенных объемов газовоздушных смесей, как правило стехиометрического или близкого к нему состава, однородного по объему, с исходной геометрией, близкой к сферической и, в основном, с центральным поджиганием, получены [106] зависимости величины избыточного давления и импульса фазы сжатия для режима дефлаграции. Они записываются так:

где UF — скорость фронта пламени, v — степень расширения продуктов сгорания, а0 — скорость звука в воздухе.

EB — энергия взрывного превращения (количество реагирующего вещества умноженное на теплоту сгорания),

Ра — атмосферное давление,

R — расстояние от эпицентра взрыва,

I+а — импульс положительной фазы,

?Р — избыточное давление.

Отметим, что использование этих данных для прогнозов эффектов поражения и разрушения при воспламенении плоских вытянутых углеводородных облаков и аварий на магистральных трубопроводах требует значительного уточнения.

Более 800 000 книг и аудиокниг! 📚

Получи 2 месяца Литрес Подписки в подарок и наслаждайся неограниченным чтением

ПОЛУЧИТЬ ПОДАРОК