4.6. Взрывной разлет твердых и жидких частиц

Жидкие и твердофазные выбросы являются важной загрязняющей компонентой при авариях на промышленных объектах. Сносящий ветровой поток приводит к переносу частиц на большие удаления от места аварии и загрязнению обширных ареалов.

Исследованию процессов разлета частиц и фрагментов взрываемых объектов разного размера, а также изучению загрязнения атмосферного воздуха и поверхности земли твердофазными и жидкими продуктами взрыва посвящено большое количество работ [71–72,74-85], основная часть которых описывает возникновение и разлет частиц и осколков при взрывах емкостей, снаряженных газами и конденсированными твердыми топливами.

Авторы большинства работ ограничиваются рассмотрением движения массивных тел по баллистическим траекториям в пренебрежении воздействия ветра. Согласно упрощенному анализу [74] движение тела предполагается в одной плоскости, причем допускается, что оно может вращаться вокруг продольной оси, что придает осколку необходимую устойчивость и позволяет считать, что тело не сносится ветром.

В действительности фрагменты разрушенного объекта, жидкие и твердые частицы при их взрывном разлете в ветровом потоке заметно отклоняются от первоначальной плоскости. Причем эти отклонения тем больше, чем мельче частицы. Пространственный характер движения частиц при наличии возмущающего воздействия внешних сил может быть учтен в предположении независимости их движения в горизонтальной плоскости и в плоскости разлета [87,76].

Запишем соотношения, позволяющие сравнительно просто определять динамические и траекторные характеристики жидкой или твердой частицы, а также фрагмента изделия или куска грунта, вылетающего из взрывного очага и продолжающего движение по баллистической траектории при наличии ветра. На частицы, движущиеся после взрыва в атмосфере по инерции, действуют сила полного аэродинамического сопротивления и сила тяжести.

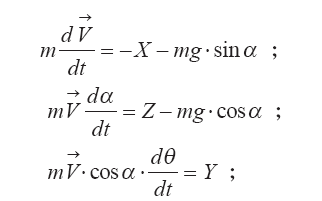
При известной системе внешних сил Ft, действующих на объект, векторное уравнение движения его центра масс записывается в виде [62,76,70,87]:

Как показано в работе [70], абсолютное ускорение в левой части этого уравнения определяется относительным (в лабораторной системе координат) ускорением , а переносным и кориолисовым ускорениями можно пренебречь. Если землю считать неподвижной, то скорость взрывного разлета частиц является практически абсолютной их скоростью.

Отметим, что в систему уравнений для описания пространственного движения частицы при ее взрывном разлете кроме проекций уравнения движения (4.28) на координатные оси в лабораторной (стартовой) системе координат должны входить уравнения для нахождения ее координат. Такими уравнениями являются кинематические соотношения, устанавливающие зависимости проекций  на оси лабораторной системы координат от величины этой скорости и углов в вертикальной ? и горизонтальной ? плоскостях. Соотношения, связывающие пространственные координаты частицы x,y,z с ее скоростью записываются так

Эти соотношения дополняют систему скалярных уравнений движения центра масс частицы:

где X,?,Z — проекции вектора полной (с учетом соответствующих составляющих скорости ветра) аэродинамической силы на координатные оси; g — ускорение силы тяжести.

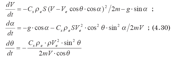
В окончательном виде дифференциальные уравнения движения частицы, вылетающей из взрывного очага в сносящий ветровой поток, имеют следующий вид [62,73]:

Здесь Ve — скорость ветра; pe — плотность воздуха; S — площадь миделева сечения частицы; Сх — коэффициент аэродинамического ее сопротивления, зависящий от режима движения в атмосфере.

Системы уравнений (4.29) и (4.30) позволяют сложное пространственное движение центра масс частицы, движущейся после вылета из очага взрыва в ветровом потоке, представить в виде суперпозиции двух простых: продольного (в плоскости разлета) и бокового (в плоскости горизонта). При этом продольное движение оказывается независящим от бокового.

Более 800 000 книг и аудиокниг! 📚

Получи 2 месяца Литрес Подписки в подарок и наслаждайся неограниченным чтением

ПОЛУЧИТЬ ПОДАРОК