4.4. Тепловые колонки

При больших открытых пожарах в атмосфере возникают крупномасштабные конвективные движения, способствующие переносу газоаэрозольных продуктов горения и дымления на значительные расстояния. Такие атмосферные образования называют конвективными колонками [17, 27–33]. Конвективные колонки приводят к загрязнению верхних слоев атмосферы большим количеством мелкодисперсного оптически активного аэрозоля и могут вызвать как региональные погодные, так и глобальные климатические изменения. При образовании конвективной колонки над большим площадным пожаром происходит формирование вертикального переноса аэрозолей в верхние слои тропосферы и нижнюю стратосферу.

Распространение продуктов горения от крупных пожаров с помощью метеорологических моделей дождевых облаков исследовалось в [27, 28], в приближении Буссинеска в [29, 30]; с использованием уравнений Навье-Стокса для сжимаемого газа с постоянными эффективными коэффициентами турбулентного переноса — в [31]. Формирование конвективной колонки над пожарами исследовалось в [32], струи метеотрона — в [33].

Представим математическую модель конвективной колонки на основе работы [17], в которой численно исследуется динамика формирования осесимметричной колонки продуктов горения с учетом фазовых переходов, обусловленных наличием влаги в атмосфере.

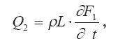
Очаг пожара моделируется объемным источником тепла Ql (Вт/м3) и массы мелкодисперсного инертного аэрозоля Sc (кг/с/м3) с заданным законом их изменения во времени. Предполагается, что величины Qt и Sc постоянны внутри цилиндрической зоны тепловыделения с радиусом R0 и высотой h и равны нулю вне этой зоны. При рассмотрении развития турбулентных конвективных движений вязкого сжимаемого и теплопроводного газа над очагом пожара в неподвижной влажной стратифицированной атмосфере учитывается, что влажный воздух, вовлекаемый конвекцией, в процессе подъема и расширения охлаждается. При достижении условий насыщения водяной пар конденсируется с выделением тепла. Для учета теплоты парообразования в центрах конденсации вводят дополнительные объемные источники тепла [34]:

где L — удельная скрытая теплота конденсации; р — плотность смеси сухого воздуха, пара, сконденсированной влаги и дымового аэрозоля; Fl — удельное содержание сконденсированной влаги, определяемое как разница между удельной влажностью F и насыщающей влажностью Fm; t — время.

Плотность паровоздушной смеси записывается в виде [33]:

р = рв(1–0,608 F + F1 + с),

где с — удельная концентрация дымового аэрозоля.

Плотность сухого воздуха рв удовлетворяет уравнению состояния

где Р — давление, Т — температура, R — газовая постоянная для воздуха.

Удельная влажность Fm, при которой водяной пар в воздухе достигает насыщения, определяется из уравнения:

где

Em(T) — парциальное давление насыщенного водяного пара (Н/м2), определяемое по формуле Магнуса [34]:

Em(T) = 610 ехр ?(Т),

а(Т) =17,27(Т — 273,16)/(T — 35,86).

Формирование и подъем конвективной колонки дымового аэрозоля рассматривается в рамках односкоростной и однотемпературной модели дисперсной среды, применение которой правомерно, так как размеры дисперсных частиц (дым, пар, капли) намного превышают характерные молекулярно-кинетические пробеги, а время их скоростной и температурной релаксации значительно меньше времени развития конвективных движений. Кроме того предполагается малое объемное содержание дисперсной фазы, не учитываются эффекты столкновения частиц, коагуляция, образование дождевых капель и их выпадение.

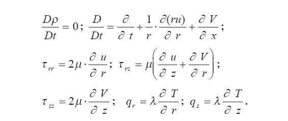
Начало цилиндрической системы координат г, z выбирается в центре пожара на поверхности земли. Тогда система уравнений Навье-Стокса, определяющая развитие конвективных движений среды при пожаре, имеет следующий вид:

В этих соотношениях: u, V — радиальная и вертикальная составляющая скорости; Cv — теплоемкость газа при постоянном объеме; g — ускорение свободного падения; ?, ? — коэффициенты динамической вязкости и теплопроводности.

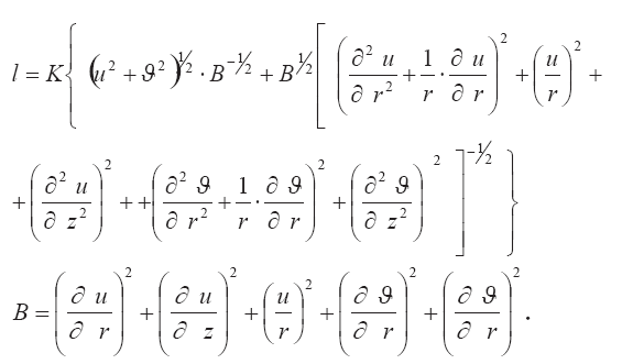
Распространение мелкодисперсного дымового аэрозоля, перенос пара и влаги в виде капель описывается уравнениями турбулентной диффузии

В этих соотношениях: ?е, ?t — коэффициенты ламинарной и турбулентной вязкости; l — длина пути перемешивания; К — эмпирическая константа.

Эффективные коэффициенты переноса предполагаются связанными соотношением

числа Рейнольдса и Шмидта равны Re=Sc.

Здесь: Сp = ? · Cv; ? — показатель адиабаты.

Начальное состояние атмосферы до пожара считается невозмущенным, т. е. при t = 0:

u = V = 0; T=Ta(z);p=pa(z);F = Fa(z);F1 = C = 0.

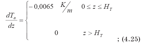
Распределение метеопараметров по высоте определялось в соответствии с моделью международной стандартной атмосферы и уравнением гидростатического равновесия [34]:

В этих соотношениях: pa(z) — плотность невозмущенной атмосферы; Нт — высота тропопаузы (10 ?16 км); F0 — значение удельной влажности у поверхности земли;

а0 = 0,42 ч-0,84 км1.

Пограничные условия на оси течения записываются в соответствии с симметричностью течения, поверхность земли считается адиабатичной и непроницаемой:

при r=0:

На внешних границах расчетной области принимались условия отсутствия градиентов скоростей и давлений; для входящего в область колонки потока считалось, что Т = Ta(z), F = Fa(z), F1 = С = 0; для выходящего потока — градиенты температуры, удельной влажности и концентрации брались нулевыми.

Численное решение изложенной модели показало, что в процессе развития в атмосфере конвективная колонка проходит несколько стадий: формирование, подъем и зависание.

На Рис. 4.2 представлена рассчитанная картина процесса формирования дымового облака над пожаром в последовательные моменты времени (показаны изолинии 4-х различных концентраций аэрозоля: сх, с2, с3, с4).

На начальной стадии формирования колонки (t < 1000 с) движение влажного воздуха происходит без фазовых превращений. На границе пожара возникает интенсивный тороидальный вихрь, способствующий более быстрому подъему аэрозольных частиц по периметру очага горения (Рис. 4.2а).

Рис. 4.2. Динамика формирования облака аэрозольных частиц над пожаром: R = 5 км; qm = 5 104 Вт/м2 в моменты времени: а) 900 с; б) 1800 с; в) 2700 с.

В дальнейшем по мере увеличения мощности тепловыделения формируется устойчивый, направленный к центру пожара поток газа. Окружающий зону пожара воздух втекает в нее, нагревается и вместе с продуктами горения поднимается вверх, образуя вертикально направленный поток — тепловую колонку. Поднимающийся в восходящей струе влажный воздух достигает уровня конденсации (на высотах > 3 км), что приводит к дополнительному подъему аэрозолей (рис. 4.26).

Тороидальный вихрь, образовавшийся при малых временах на периферии пожара, под действием сил плавучести поднимается, формируя характерную грибовидную форму (рис. 4.2в) — стадия зависания колонки.

Расчеты показали, что при мощности пожара qm = 5-104 Вт/м2 наибольшая вертикальная скорость потока (43 м/с) наблюдается на оси симметрии, при этом максимальная величина радиальной скорости у границ очага горения не превышает 17 м/с. Вовлечение холодного воздуха в восходящую струю наблюдается до высоты «4 км. На высотах от 7 до 11 км образуется зона зависания, в которой дымовой аэрозоль и вовлеченный в струю воздух растекаются в горизонтальном направлении от оси симметрии течения. Через 1 час дымовое облако растекается на площади 700 км2, что почти на порядок больше площади очага горения.

Вода, выделяющаяся при конденсации влажного воздуха, в виде дождевых капель, снега и льда может выпасть в виде осадков.

Полученные результаты показывают, что динамика формирования конвективной колонки, высота подъема аэрозоля и характер его распределения в выбросе зависят не только от мощности пожара, но и от влажности атмосферы. Фазовые переходы, вызванные присутствием влаги в атмосфере, существенно влияют на характеристики подъема, зависания и выноса аэрозоля в атмосферу, а также процессы вымывания осадками частиц аэрозоля. В связи с этим при анализе пространственно-временной картины формирования тепловой колонки при пожарах необходим учет влажности и устойчивости атмосферы, а также уровня тропопаузы.

Более 800 000 книг и аудиокниг! 📚

Получи 2 месяца Литрес Подписки в подарок и наслаждайся неограниченным чтением

ПОЛУЧИТЬ ПОДАРОК