2.4. Расчеты физических характеристик пожара

а) Пожары пролива или разлития Модель пожара пролива формируется с учетом следующих факторов:

— скорость горения;

— размеры разлития;

— высота пламени;

— наклон и увеличение пламени по направлению ветра;

— мощность излучающей поверхности;

— геометрический фактор;

— атмосферная проводимость;

— тепловой поток, воспринимаемый объектом. Тепловое воздействие на окружающую природную среду при горении различных жидкостей на поверхности разлития рассматривается в работах [106, 115].

В методике МЧС [115] предложен порядок оценки последствий пожара разлития, вызванного аварийными ситуациями на объектах по хранению, переработке и транспортировке горючих жидкостей. Приведем его основные положения.

При разрушении трубопровода объем вытекшей жидкости определяется по формуле:

V = 0,79 D2L, (2.33)

где D — диаметр трубопровода, м;

L — длина отрезка между соседними отсека-телями, м.

При свободном растекании диаметр разлития определяется из соотношения:

где d — диаметр разлития, м; V — объем жидкости, м3.

Величина теплового потока q на заданном расстоянии х от горящего разлития определяется по формуле:

q = 0,8Q0 e?0,33x , (2.35)

где Q0 — тепловой поток на поверхности факела, кВт/м2, значения которого для некоторых веществ приведены в Таблице 2.3,

х — расстояние до фронта пламени, м.

Расстояние х, на котором будет наблюдаться тепловой поток с заданной величиной q, определяется по формуле:

x 33 ln(0,8 Q 0/ q) =. (2.36)

Величина индекса дозы теплового излучения I определяется из соотношения:

I = 60 q4/3, (2.37)

Возможность воспламенения различных материалов представлена в Таблице 2.4 При величине теплового потока более 85 кВт/м2 воспламенение происходит через 3–5 с.

Таблица № 2.3.

Тепловой поток на поверхности факела от горящих разлитий.

Таблица № 2.4.

Тепловые потоки, вызывающие воспламенения некоторых материалов.

Методика расчета характеристик горения, предложенная в работе [106], включает следующие основные предположения и эмпирические соотношения.

1. Горение рассматривается как диффузионное (т. е. непосредственно зависящее от режима эжекции воздуха в зону горения) и происходит с открытой поверхности (в самом резервуаре при срыве перекрытия или при разлитии в пределах защитного ограждения).

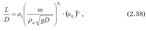
2. Высота (длина — L) видимой части пламени (излучающей определенную долю тепла) определяется гидродинамическими факторами и наиболее достоверно может быть рассчитана по эмпирической формуле Томаса [116] с учетом влияния ветра на скорость сгорания, а следовательно, и на длину пламени

где m — массовая скорость выгорания с поверхности, кг · м -2 · с-1;

ра — плотность воздуха, кгкм-3;

D — эквивалентный диаметр очага горения, м;

W0 — скорость ветра, мкс-1;

р? — плотность паров топлива при температуре поверхности раздела фаз (для кипящих сжиженных газов — температура кипения при атмосферном давлении), кг/м3.

Эмпирические коэффициенты в формулах Томаса (а1 = 55; = 0,67; с1 = -0,21) получены по результатам экспериментов, выполненных для широкого диапазона параметров

применительно к самым различным горючим жидкостям и сжиженным газам.

3. Пламя рассматривается как оптически «серый» монохроматический поверхностный излучатель.

4. При расчете внешнего излучения сложная, изменяющаяся во времени геометрическая форма пламени рассматривается как цилиндрическая поверхность с сохранением реальных значений высоты и (эквивалентного) диаметра основания пламени.

Количество теплоты q, излучаемое факелом в направлении смежного объекта или сооружения [114], рассчитывается по формуле

q = I0 ехр(-?г)?F? /(?г2), (2.40)

где I0 — интенсивность излучения факела, Вт/м2;

Р — коэффициент ослабления среды, м1;

г — расстояние от излучающей поверхности до облучаемого объекта, м;

F?— площадь излучающей поверхности в направлении смежного объекта, м2;

? — коэффициент облученности.

Интенсивность излучающей поверхности факела определяют по закону Стефана — Больцмана. Эта величина сильно зависит от температуры пламени, т. к. теплоизлучение пропорционально температуре в четвертой степени.

Для определения критических расстояний между очагом пожара и окружающими объектами необходимо знать площадь поверхности факела, обращенного в сторону облучаемой поверхности, степень черноты факела, коэффициент облученности, температуру факела, среднюю скорость сгорания материалов, а также критические тепловые потоки.

В Таблице № 2.5 с учетом различных режимов горения приведены значения критических тепловых потоков для некоторых горючих материалов.

Отметим, что площадь поверхности факела, обращенного в сторону облучаемого объекта, приближенно определяют как произведение основания факела на его высоту, делая поправку на форму (очертание) поверхности.

б) Расчет параметров пожара при возникновении огневого шара [106].

Возникновение огневого шара характеризуется совокупностью таких физических процессов, как:

Таблица № 2.5.

Критические тепловые потоки, вызывающие воспламенение и самовоспламенение некоторых материалов.

— взрывное вскипание углеводородных жидкостей в резервуарах высокого давления;

— выброс содержимого резервуара в окружающее пространство с образованием быстро сгорающего аэрозольного облака (огневого шара) и ударной волны;

— разрушение сосуда и разлет его осколков.

Для возникновения огневого шара необходимы следующие предпосылки:

1. жидкость, хранящаяся в герметичном сосуде под давлением, к моменту вскипания (за счет сброса давления) должна быть «термодинамически перегретой» выше некоторого характерного предела относительно состояния насыщения при атмосферном давлении;

2. в результате аварийной разгерметизации несущего корпуса (либо неправильной работы предохранительных клапанов или разрывных мембран) должно произойти резкое падение давления над поверхностью раздела жидкой и паровой фаз.

Тепловая мощность Р сгорания огневого шара [117] массой М может быть найдена из уравнения:

где QH — теплота сгорания, МДж/кг;

? — время существования объекта, с.

Вещества, часто приводящие при авариях к образованию огневого шара, имеют теплоту сгорания QH порядка 45–48 МДж/кг.

Для оценки опасности огневых шаров необходимо уметь предсказывать их размер и время существования. В частности, радиус огневого шара R (м) и время его существования т (с) могут быть найдены по эмпирическим формулам работы [115].

При оценке последствий воздействия огневых шаров было принято, что в диапазоне между нижним и верхним пределами воспламенения в период существования огневого шара находится около 60 % массы газа (пара) в облаке и что эта масса более 1000 кг.

Вероятность поражения людей тепловым потоком зависит от индекса дозы теплового излучения I, который определяется из соотношения:

I = t(Q0R22)4/3 (2.42)

где X — расстояние от центра огневого шара (X > R), м;

Qa — тепловой поток на поверхности огневого шара, кВт/м2, значения которого для наиболее распространенных веществ приведены в Таблице № 2.6.

Воздействия огневых шаров на здания и сооружения, не попадающие в пределы самого огневого шара, определяются наличием возгораемых веществ и величиной теплового потока q, которая определяется по формуле:

q = Q0R2/X2, (2.43)

при этом время жизни огневого шара принято равным 15 с.

Таблица № 2.6.

Значения теплового потока на поверхности огневых шаров различных газов диаметром более 10 м.

Более 800 000 книг и аудиокниг! 📚

Получи 2 месяца Литрес Подписки в подарок и наслаждайся неограниченным чтением

ПОЛУЧИТЬ ПОДАРОК