4.3. Термики

Термики, в отличие от клубов, характеризуются упорядоченным круговым движением вещества относительно направления их движения. Они имеют грибовидную форму с затупленным по полусфере куполом [101] и порождаются в естественных условиях атмосферной конвекцией. Плотность вещества термика меньше плотности окружающей атмосферы, а эффекты турбулентности доминируют над эффектами вязкости.

Первоначально термик представляет собой компактный объем газа или жидкости, плотность которого отличается от плотности невозмущенной среды. Под действием сил плавучести этот объем приходит в движение, и при его обтекании воздухом возникает кольцевой вихрь. Вовлекающийся воздух из области встречного направления распределяется по боковой поверхности вихря и частично входит в него даже в тыловой области.

Следует отметить, что тороидальное вихревое движение термика отличается как от ламинарного вихревого кольца, так и от полностью турбулизованного клуба, являясь некоторым промежуточным между ними образованием. Это объясняется тем, что окружающий воздух, пришедший через близкую к оси термина область, вначале участвует в ламинарном круговом движении, а затем в области вершины термина турбулизуется, смешиваясь с фронтальным вовлекающимся потоком. Таким образом, тыловая часть термина участвует в ламинарном движении, а фронтальная в турбулентном (см. Рис. 4.1).

Возникает конус [101], вершиной которого является воображаемое «начало» термина, а половинный угол при вершине -12°. Окружающий воздух в конусе от 12° до 15° при вершине захватывается тыловой частью термина. Частицы окружающей среды вне этих конусов термином не захватываются. Отметим, что углы этих конусов меняются в зависимости от угла расширения самого термина, который может изменяться от 8° до 26°. Фактически этот диапазон углов расширения термина соответствует степени турбулизации окружающей среды.

Окружающая термин среда является безвихревой. Причем при его движении отсутствует след, возникающий всегда за твердым телом, то есть трение на поверхности движущегося объема газа отсутствует.

Циркуляция  по внешнему контуру термина постоянна при его движении [102]. В этом выражении: V — вектор скорости кругового движения; d s — вектор перемещения по замкнутому контуру.

Отметим, что образования типа терминов возникают при интенсивном «мгновенном» введении вещества иной плотности в среду. Если процесс инжекции затягивается, то турбулизация доминирует над вихреобразованием и возникает клуб — сильно перемешанный компактный объем с практически однородным распределением макроскопических характеристик.

Рис. 4.1. Структура течений среды вне и внутри термина: х — точки торможения; Н— стоки.

Источниками антропогенных терминов являются «мгновенные» взрывы, например, взрывы ядерных зарядов, конденсированных ВВ, взрывоопасных газов, перегретых жидкостей, емкостей с детонационноспособными веществами. Клубы появляются при взрывах слабодетонирующих веществ, когда процесс освобождения внутренней энергии ВВ замедляется.

Массовый характер термиков в форме всплывающих объемов нагретого воздуха проявляется жарким днем над черной пашней. Невидимые в приземном атмосферном слое термики визуализируются в компактные облачка на высоте конденсации паров воды, входящей в их состав (смотри фото). При дальнейшем всплытии эти объемы сливаются, превращаясь в облачные структуры.

Всплывание изолированных объемов газа с дефицитом плотности и их трансформация в вихревые кольца и термики достаточно хорошо изучены [47, 9-15, 30–33, 40].

В качестве математической модели явления в большинстве работ используется полная система нестационарных уравнений Навье-Стокса для сжимаемого теплопроводного газа в цилиндрических координатах r,z [38,47,120] (в отсутствие ветра движение осесимметрично). Газ предполагается совершенным, с уравнением состояния р=АрТ, атмосфера — барометрической (атмосферное давление ра (г) экспоненциально убывает с высотой, а температура Та постоянна).

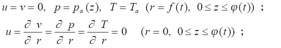
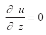
Краевая задача формулируется [47] так. В цилиндрической расчетной области V(t) ={0? r ? f (t),0? z ??(t)} с подвижными правой f(t) и верхней ?(t) границами при t>0 требуется найти решение исходной системы дифференциальных уравнений, удовлетворяющее граничным и начальным условиям:

Здесь:

R0 — радиус термина, a T1 — температура в его центре при t = 0, остальные обозначения — общепринятые.

Отметим, что кроме условия «прилипания» (и = 0) на подстилающей поверхности z = 0 используется также условие «проскальзывания» -.

Подвижные границы располагают достаточно далеко от термина и перемещают так, чтобы значения газодинамических величин на них можно было считать равными соответствующим параметрам невозмущенной атмосферы.

Вводятся характерные масштабы задачи: пространственный — диаметр термина L = 2R0, скоростной — конвективная скорость , временной . Температура и плотность нормируются на соответствующие значения атмосферного воздуха у поверхности земли:

То = Та(0); Р0 = Ра (0); р0=Ар0Т0.

В результате обезразмеривания возникают следующие определяющие параметры задачи:

Преобразованная система дифференциальных уравнений аппроксимируется с помощью разностных схем и решается на ЭВМ.

Анализ результатов расчетов показал, что процесс подъема термиков, как изолированных, так и приповерхностных (после отрыва от плоскости), условно можно разбить на четыре этапа.

Первый этап — разгон с практически постоянным ускорением; второй этап — приблизительно движение с постоянной скоростью; третий этап — подъем в автомодельном режиме (Аг = (А^)12); четвертый этап — размывание термика за счет диссипации до достижения им положения равновесия (зависание и колебание около положения равновесия с постепенным диффузионным «рассасыванием»).

Максимальная приземная скорость, вычисленная по формуле работы [120], для крупномасштабных полусферических термиков

составляет ? 20 м/с, а время отсекания его от поверхности ~2 ? 3 с. Скорость подъема термика, складывающаяся из составляющей сил Архимеда и составляющей собственного вихря, для техногенных термиков не превосходит нескольких десятков метров в секунду.

Более 800 000 книг и аудиокниг! 📚

Получи 2 месяца Литрес Подписки в подарок и наслаждайся неограниченным чтением

ПОЛУЧИТЬ ПОДАРОК