3.11. Рассеивание примесей из вторичных источников

Формирование вторичного атмосферного источника имеет важное значение в проблеме загрязнения окружающей среды антропогенными выбросами. Это связано с тем, что от геометрических характеристик (размеров, конфигурации и высоты над подстилающей поверхностью) сформировавшегося источника существенно зависит приземная концентрация загрязняющей примеси.

При проведении расчетов по прогнозам радиационной и химической обстановок до настоящего времени применяется упрощенный подход, при котором используется понятие точечного наземного или приподнятого источника с рассеиванием на высоте, равной геометрической или эффективной высоте выброса. Такой подход зачастую используется даже в том случае, когда низкотемпературный аварийный выброс происходит на крыше здания и радиоактивные или токсические вещества поступают в зону аэродинамической тени аварийного объекта, формируя фактически объемный источник [26].

В ряде других случаев, в частности при пожарах и взрывах, требуется введение достаточно сложного композиционного источника. Для описания поля рассеяния примеси от такого источника (особенно в ближней зоне) использование стандартных моделей рассеяния может привести к большим погрешностям как при прогнозировании локальной радиационной или токсической обстановки, так и при решении обратной задачи по восстановлению наиболее вероятного сценария аварии.

Формирование вторичного источника выбросов существенно зависит от сценария аварии, метеоусловий в момент выброса, длительности выброса, дисперсности аэрозольных частиц, геометрии выходного отверстия и теплофизических свойств газовоздушного потока — носителя загрязняющих веществ.

При возникновении аварийной ситуации, связанной с повышенным выбросом загрязняющих веществ через неповрежденную систему газоочистки и неповрежденную вентиляционную трубу, аварийный выброс приведет к формированию струи, приземные концентрации от которой могут быть достаточно хорошо описаны с помощью стандартных моделей рассеяния примеси. Метеорологические условия в момент такой аварии могут повлиять на эффективную высоту подъема примеси, что позволяет использовать для расчета полей концентраций либо методику ОНД-86 [74], либо методику МАГАТЭ [81] (кроме случаев аномальных метеоусловий — штилей, инверсий, осадков).

При аварийных ситуациях, характерных для взрывов, в состав выброса может поступить большое количество разнодисперсных аэрозолей, способных создать динамическую систему, на которую будут влиять и фронт ударной волны и тепловой подъем. При этом вторичный источник может быть представлен либо в виде вертикального цилиндра или линейного источника, сферы или трехмерного гауссиана. Введение его в модель рассеяния примеси достаточно просто реализуется при использовании методики [74] применительно к множеству элементарных одиночных источников, на которые разбивается объемный вторичный источник.

В случае аварии, отягощенной пожаром, при которой в струю вовлекается большая масса токсичных или радиоактивных продуктов, из-за интенсивного теплового подъема эти вещества могут быть заброшены на высоту до 2–4 км. Такая физическая картина наблюдалась с радионуклидами при аварии на Чернобыльской атомной электростанции. Достигнутая при этом инциденте большая высота подъема должна была привести к существенному снижению приземной концентрации полютантов, пропорциональной обратной величине квадрата высоты выброса. В этом случае, однако, не исключен был и интенсивный перенос радиоактивных продуктов на большие расстояния в связи с возможностью вовлечения радионуклидов в струйные атмосферные течения. Это могло привести к последующему образованию на поверхности земли «горячих» пятен за счет осадков и нисходящих потоков.

Особые условия для прогнозирования радиационной или химической аварийной обстановки могут возникнуть в случае длительного истечения «холодных» загрязнителей, когда выбросы будут попадать в аэродинамическую тень аварийного здания. В этом случае картина загрязнений может существенно усугубиться как на промплощадке, так и на больших удалениях от неё за счет высоких значений полей приземных концентраций и увеличенной скорости выпадения при формирования интенсивного аэрозольного следа.

Для аварийных ситуаций, обусловленных проливами транспортируемых по железной или автомобильной дороге жидких токсичных продуктов или испарением тритиевой воды с поверхности водоемов-хранилищ жидких радиоактивных отходов, вторичный атмосферный источник может быть представлен в виде площадки. В этом случае расчет приземных концентраций от площадного выброса (истечения) можно выполнить, используя Методику ОНД-86 или аналогичную ей [104,115,148,153].

Рассмотрим специфику и особенности распространения загрязняющих примесей из источников разного типа и некоторые методы решения этой проблемы, широко представленной в литературных источниках. На сегодняшний день существует огромное количество научных подходов, описывающих процессы диффузионного загрязнения природных сред разными источниками при разных начальных и граничных условиях, обзор которых представляет собой самостоятельный и довольно громоздкий труд. Представленный ниже материал не ставит в рамках нашей книги такой цели, поэтому он имеет иллюстративный и фрагментарный характер.

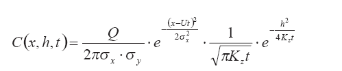
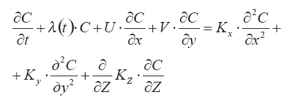
Во многих работах расчет распространения радиоактивных и химически активных продуктов в атмосфере осуществлен на основе полуэмпирической теории атмосферной диффузии. В рамках этой теории концентрация примеси С описывается уравнением:

где U,V — проекции вектора скорости ветра на оси Ох и Оу, соответственно; ?(t) — функция, описывающая изменение концентрации примеси за счет радиоактивного распада или химических реакций;

Кху, Kz — коэффициенты турбулентной диффузии по соответствующим осям.

Начальные условия для этого уравнения принимаются в виде:

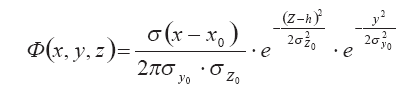
C/t = 0 = Q0(0)·?(x)·?(y)·?(Z-h)

где Q0 — начальное количество примеси; ?(i) — дельта-функция; h — эффективная высота источника загрязнений.

Краевое условие на поверхности земли учитывает осаждение примеси на подступающую поверхность

где ? — параметр осаждения примеси, являющийся исходным данным задачи.

На больших расстояниях концентрация примесей стремится к нулю, что является еще одним краевым условием:

Решение этого уравнения представляет собой исключительно сложную математическую задачу, для решения которой в общем виде не существует эффективных методов. На практике широкое распространение получили различные приближенные методы. Одним из них является метод, основным на предположении о гауссовом распределении примеси в выбросе.

Тогда концентрация примеси, поступившая в атмосферу из мгновенного источника малых размеров, описываются следующим выражением:

здесь Q0 — количество загрязняющих продуктов, поступивших в атмосферу к моменту времени t;

G(z,h,t) — высотное распределение примеси; х0.?0 — координаты центра выброса в проекции на горизонтальную плоскость; ?2x, ?2y — дисперсии вдоль соответствующих осей.

Для определения концентрации от выброса конечной длительности используется интеграл — свертка, записываемая так:

где l(t — ?) — функция, описывающая изменение мощности источника по времени.

В частности, выхлопная струя или струя дыма от пожара, как источник загрязняющей примеси, заменяется эквивалентным распределенным объемным источником.

В этом соотношении:

?2z0 и ?2y0 — дисперсии распределений примеси по соответствующим осям в месте разрушения струи (в месте начала рассеивания ее вещества под действием атмосферной диффузии); х0 — расстояние от места инцидента до места разрушения струи в проекции на ось х.

Таким образом, конечность размеров источника учитывается введением дополнительных слагаемых в выражения для дисперсий выброса, т. е.

Центральным вопросом при использовании гауссовых моделей для описания полей концентраций является выбор параметров x0, ?0 и ?x, ?y.

В методах Пасквилла [50] и Бызовой [143] параметры ?x, и ?y определяются из экспериментов, а перемещение облака считается происходящим со скоростью ветра в слое диффузии на высоте источника.

В ряде работ при определении ?х,?y, x0 и у0 учитывается реальный профиль ветра, а дисперсия вертикального распределения примеси определяется по формуле:

?2z= Кt

где К = Кх = Ку = Kz — эффективное значение коэффициента диффузии, определяемое состоянием атмосферы.

Кроме того, учитывается зависимость дисперсий клубов в виде облаков от скорости ветра с помощью соотношений:

?2 = ?2T + ?2дол

где ?2T — дисперсия, определяемая только коэффициентом горизонтальной турбулентной диффузии; ?2дол — дисперсия, описывающая рассеяние примеси по горизонтали в потоках с изменяющейся по высоте скоростью за счет вертикальной турбулентности.

При сильном перемешивании примеси по вертикали и большом градиенте скорости ветра вклад слагаемого ?2дол в суммарную дисперсию может оказаться значительно большим, чем ?2T.

Такой метод позволяет учитывать реальную метеорологическую обстановку в месте инцидента, однако его вычислительный аппарат очень громоздок и сложен. Некоторые получаемые результаты, учитывая заложенную в расчет гауссову модель распределения концентраций, носят иллюстративный характер.

В работе [135], проведенной в районе испытаний ядерных энергетических установок, получена полуэмпирическая формула для расчетов концентраций радиоактивной примеси. Она записывается так:

В этой формуле предполагается использование следующих выражений для характеристик дисперсий загрязнений по координатным осям:

где U — скорость ветра в слое распространения струи ядерной энергетической установки; [U]=км/час; t — время процесса диффузии, час; г — расстояние выброса от места проведения работ, км; Ux,Uy — составляющие скорости ветра по осям х и у.

Недостатком этой формулы является узкий диапазон ее возможного применения — в месте испытаний. Кроме того, она не позволяет провести анализ влияния исходных параметров установки и среды на результаты расчетов.

Более универсальный характер имеет формула для расчета приземной концентрации на оси прохождения радиоактивного облака. Она получена путем обобщения экспериментальных после подземных ядерных взрывов [154]. В случае мгновенного выброса примеси получают:

где Q — общее количество выброшенной из источника примеси; U — как и ранее, скорость ветра в слое распространения загрязнений, считающаяся постоянной.

Дисперсии примеси описываются следующими временными зависимостями:

?2 ~ t2 при t малых;

?2 ~ 2Kt при t больших.

Распределение примеси вдоль направления распространения облака можно получить, интегрируя записанное выше уравнение по времени после подстановки в него значений метеопараметров и диффузии.

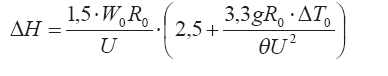
Приведем широко используемую для инженерных оценок эмпирическую формулу для расчета концентраций загрязняющих веществ при выбросах примеси из мощных источников типа дымовых труб тепловых электростанций или химических предприятий. Она имеет следующий вид:

где ? и ? — некоторые постоянные; U — скорость ветра на высоте флюгера; Q — мощность выброса.

Высота источника Н, входящая в эту формулу, складывается из высоты трубы и начального (динамичного) подъема струи ?Н:

где W0,R0, и ?Т0 — начальные значения скорости газа струи, ее радиуса и перегрева; g — ускорение силы тяжести; ? — температура окружающего воздуха в абсолютной шкале.

Недостатком приведенных выше формул является отсутствие универсальности в выборе коэффициентов ? и ?, а также некорректность при U ? 0 С уменьшением скорости ветра до нуля динамический подъем струи и концентрация загрязнений неограниченно возрастают. Вместе с тем известно, что при инверсионных состояниях атмосферы эти условия заведомо не выполняются, так как существует некоторый «потолок» для начального подъема примеси.

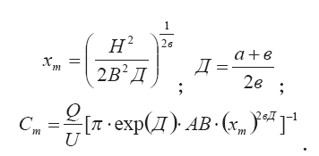
В заключение этого раздела приведем формулы для оценок влияния параметров диффузии на максимальную концентрацию примесей Сm и расстояние хm от источника до этого максимума [150]. Зависящий от устойчивости атмосферы режим распространения описывается сигма — значениями ?у и ?z, входящими в расчетную формулу гауссовой модели дымового факела:

Наиболее используемыми являются аппроксимации сигма — значений степенными зависимости:

?? = Axa ?z = Bxb

где а, в, А, В, Д — некоторые коэффициенты. При этом уравнения для расстояния хm и максимума концентрации Сm имеют следующий вид:

Анализ этих соотношений показывает, что параметр диффузии в оказывает существенное влияние на расстояние до максимума концентрации примеси от источника.

На графиках Рис. 3.28 показаны качественные зависимости изменения осевых приземных, концентраций загрязняющих веществ Ст из приподнятого над землей источника от интенсивности турбулентного движения атмосферы. Из рисунка видно, что на некоторых расстояниях Xm вдоль направления распространения потока достигаются максимальные значения осевой концентрации примеси, затем она плавно уменьшается. Причем чем сильнее турбулизована атмосфера, тем ближе к источнику расположена координата максимума загрязнений. Что касается величин Сm, то их абсолютные значения слабо зависят от турбулентной активности атмосферного воздуха. Расстояния Xm, где достигается максимумы концентраций Сm, прямо пропорциональны высоте источника при любой турбулентной активности.

Подобный подход был использован для прогнозов разовых приземных концентраций при подрывных работах по ликвидациям ракет средней и меньшей дальности, выполняемых в период с 1989 по 1991 годы на полигонах Сарыозек и Капустин Яр [62,73]. Ракеты, лежащие на поверхности земли в связках по несколько штук, подрывались при различных состояниях атмосферы.

Рис. 3.28. Качественные зависимости изменения приземных осевых концентраций загрязняющих веществ из высотного источника вдоль направления распространения примеси Ст от степени турбулентности атмосферы: 1 — сильная; 2 — средняя; 3 — слабая.

Выбросы, возникавшие после инициирующего воздействия ВВ, состояли из пылегазового взрывного клуба с высотами подъемов 2–4 км и приземного дымового выброса.

Нижняя часть выброса связывает его верхнюю часть с землей, в ней наряду с газовой фазой присутствует твердая фаза различной дисперсности. Верхняя часть выброса представляет собой огромный объем неправильной формы. Газ внутри этого объема участвует в крупномасштабных движениях; поверхность выброса крупнорельефная, тороидального упорядоченного движения в нем не наблюдается.

При прохождении объемного крупномасштабного источника сложной формы над местностью локальные значения концентраций примесей будут возникать в результате суперпозиции отдельных эффективных источников, соответствующих различным частям выброса и имеющих разные начальные высоты и разные объемы. Если обозначить С; — концентрацию от j-ого объема, то суммарная локальная концентрация от сформировавшегося выброса, объем которого мысленно разбит на N отдельных объемов «простой» формы, запишется в виде следующей суммы:

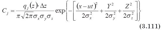
В действительности из объема сформировавшегося выброса трудно выделить отдельные клубы, проще пойти по иному пути, а именно мысленно разбить выброс на горизонтальные элементарные слои. Локальная концентрация вещества от j-ого слоя выброса толщиной ?Z в момент времени t в предположении о нормальном распределении вещества в каждом слое при его распространении запишется следующим образом [50]:

В этом соотношении: x — продольная координата, связанная со скоростью и временем t соотношением х = ut; у, z — координаты рассматриваемого слоя над землей; q — распределение загрязняющего вещества по вертикали в сформировавшемся выбросе, [q] — кг/м; ?x, ?y, ?z — текущие значения среднеквадратичных отклонений распределения концентраций примеси от ее среднего значения по координатным осям.

Чтобы получить концентрацию примеси на уровне земли, возникающую при рассеивании газообразного плоского слоя облака толщиной ?z, распространяющуюся в секторе ее рассеивания, проинтегрируем формулу (3.111) в поперечном направлении. Получаем

Среднеквадратичные значения отклонений распределений концентраций загрязняющих веществ могут быть записаны в виде сумм начальных значений ?0x, ?0y, ?0z этих отклонений по соответствующим осям и приращении

Начальные дисперсии связаны с размерами сформировавшегося выброса и определяют распределение загрязняющей примеси в соответствующих направлениях при небольших удалениях от объемного выброса. На большом удалении от него основной вклад в загрязнение окружающей среды дают приращения дисперсии ??x, ??y, ??z

Отметим, что так как выброс горизонтальными сечениями разбивается на тонкие слои, то выражение для ?z может быть записано так:

?z ? ??z

Формула (3.112) для продольной координаты, движущейся со скоростью ветра (соответствующей максимальному значению Сj) приобретает следующий простой вид:

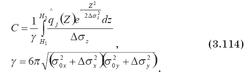
Полная концентрация загрязняющей примеси от объемного выброса найдется интегрированием выражения (3.113) по Z. Получаем:

Здесь Н1 и Н2 — нижняя и верхняя высотные координаты выброса.

Формула (3.114) при учете соотношения

(3.113) позволяет оценить приземные распределения концентраций загрязняющих веществ от объемных выбросов сложной формы, осредненные в секторе распространения примесей. Проведем такие оценки для атмосферных выбросов при ликвидациях ракет.

Анализ фотографий подрывов ракет на полигонах Капустин Яр и Сарыозек показывает, что облако продуктов подрыва в первом приближении можно представить в виде комбинации из двух прямоугольных газовых цилиндров (Рис. 3.29) — верхнего, содержащего вещество высотного клуба, и нижнего — «ножки» выброса.

Запишем распределение по высоте выброса массы загрязняющего вещества в нем в виде

где М,Мi — масса газа в выбросе и i-ой примеси в нем; ? — доля объема нижней части выброса к общему объему; ? — доля не детонировавшего топлива.

Для сформировавшегося взрывного выброса (при t > 300 с) типичные данные испытательных подрывов массы ТРТ эквивалентной 30 т ВВ дают следующие осредненные значения геометрических характеристик (радиусов по оси х — R0x и по оси у — R0u):

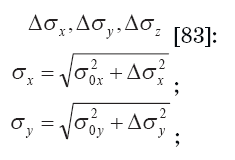
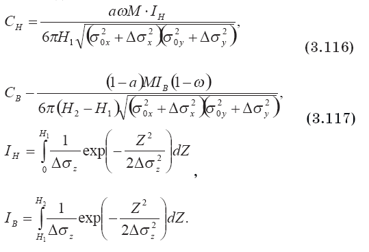
Выражение для наземной концентрации выброса в секторе распространения его вещества запишется в виде суммы слагаемых, ответственных за верхнюю и нижнюю части:

C = CB+ CH , (3.115)

Рис. 3.29. Схема представления сложного источника загрязнений в случае взрыва: 1 — модельный высотный источник; 2 — модель «ножки» выброса; 3 — расчетный сектор распространения примеси.

где

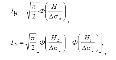
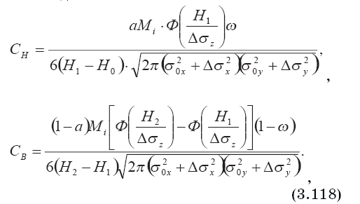
Вводя замену переменных , получаем для интегралов Iн и /B следующие выражения

где  интеграл вероятности, значения которого затубулированы.

Формулы (3.116) и (3.117) при учете значений Iн и Iв принимают следующий окончательный вид:

Расчет концентраций загрязняющих веществ на уровне земли от верхней и нижней частей взрывного клуба при ликвидации ТТР массой около 30 тонн ВВ представлены на графиках Рис. 3.30 и 3.31.

В качестве загрязнителей рассматривался хлористый водород, концентрация которого в твердом топливе принималась равной 16 %. Предполагалось, что все топливо участвует в химических реакциях горения, то есть нет дробления и разноса твердой фазы.

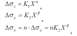
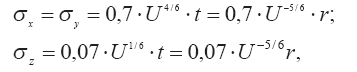
Стандартные отклонения распределений примесей в клубе в направлениях координаты осей аппроксимировались степенными зависимостями [50]:

где n — экспериментальный коэффициент, значения для которого можно взять, например, из работы [163]. В этой работе рассматривались закономерности рассеивания примеси в поперечном и продольном относительно ветра направлениях. В случае наименее мелких частиц со скоростями оседания W< 1 м/с в зависимости от состояния атмосферы получены значения для n в диапазоне 2–5, причем чем легче примесь, тем больше отличие продольной дисперсии от поперечной.

Значения коэффициентов степенных зависимостей приращений дисперсий можно использовать, например, из работы [50], в которой для расстояний Х< 10 км от источника загрязнений рекомендованы следующие интерполяции.

Для нейтральной атмосферы (класс D):

К1 = 0,15; К2 = 0,06; ? = 0,7; ? = 0,92; для неустойчивой атмосферы (класс В):

К1 = 0,53; К2= 0,14; ? =0,73; ? = 0,92; для очень устойчивой атмосферы (класс G):

К1 = 0,05; К2= 0,02; ? = 0,61; ? = 0,92.

Рис. 3.30. Распределение концентраций хлористого водорода в секторе распространение примесей при подрыве 30 т РТР для разных состояний атмосферы.

Для сравнительной оценки максимальных значений концентраций загрязняющих примесей на уровне земли при расчетах эти данные экстраполировались на расстояния, большие 10 км.

Рис. 3.31. Распределение концентрации загрязняющих веществ в секторе распространения примеси при подрыве ракет РСД-10 при неустойчивом состоянии атмосферы (класса «В»): 1 — наземная концентрация от нижней части выброса; 2 — наземная концентрация от верхней части выброса; 3 — суммарное значение наземной концентрации. Начальная масса загрязнений 18 т.

Из графиков Рис. 3.30 следует, что для очень устойчивой атмосферы для одинаковых удалений от источника загрязнения, усредненные в поперечном направлении значения приземных концентраций загрязняющих веществ значительно выше, чем для менее стабильных атмосферных условий. Значения параметра С для классов В и D при X < 10 км отличаются слабо, при X >10 км значения С неустойчивой атмосферы уменьшаются медленнее, чем для нейтральной. Из графиков Рис. 3.31 видно, что наибольший вклад в значения концентраций на уровне земли вносит «ножка» выброса, высотный клуб на удалениях от места взрыва, меньших 8 км дает пренебрежимо малый вклад в суммарное значение С. Наибольший его вклад в суммарную концентрацию происходит в диапазоне значений X > 15 км.

На рис. 3.32 приводится сравнение расчетов распределения концентрации хлористого водорода в секторе его распространения с продуктами подрыва при ликвидации связки трех ракет РСД-10 с экспериментальными данными. Эксперименты проводились 22 марта 1988 г. сотрудниками ИПГ, ИБФ и НПО «Тайфун». В день подрыва скорость ветра в 3-х километровом приземном воздушном слое менялась от 5 до 14 м/с, направление ветра — от 80 до 152 градусов, температура от 4,4 до 9,1 — градуса.

По классификации Пасквилла-Тернера при высоте солнца (35–60) град, и умеренной инсоляции, которые наблюдались в эксперименте, состояние атмосферы может быть охарактеризовано как слегка устойчивое (класс «С»). Мы не располагаем значениями коэффициентов K1, К2, ? и ? для этой категории устойчивости, поэтому воспользовались данными для близких к нему значений устойчивости. Расчеты, выполненные для устойчивых (кривая 2 на рис. 5.11) и нейтральных (кривая 1 на том же рисунке) условий показывают, что реальное значение концентраций загрязняющей примеси находится в «коридоре» между этими кривыми.

Отметим, что учет особенностей формирования вторичного атмосферного источника позволяет уточнить предварительный прогноз радиационной или химической обстановки при некоторых аномальных метеорологических условиях, отличных от неблагоприятных, принятых в методиках типа [74]. Так, если авария произошла в условиях штиля, нередко сопровождаемого инверсией температуры, то конфигурация вторичного атмосферного источника может быть описана в виде полусферы с гауссовским распределением равновесных концентраций загрязняющей примеси по координатным осям. Причем интеграл всей радиоактивности по объему вторичного источника будет зависеть от периода накопления и особенностей изотопного состава радионуклидов в выбросе (от периода полураспада и преобразований в радиоактивных цепочках) — при выбросе из ядерного объекта или от временных характеристик разложения токсикантов для объекта химического.

При разрушении атмосферной инверсии температуры и появлении ветра вся накопленная активная масса полютанта будет распространяться и рассеиваться в направлении ветра в соответствии с параметрами устойчивости атмосферы по траектории движения загрязненных воздушных масс.

Следует иметь в виду, что замена реальных выбросов на некоторые эквивалентные может привести к появлению некоторых ошибок. Например, не вполне корректно продолжительный выброс превращать в эквивалентный кратковременный, при котором не учитывается разбавление примеси вследствие изменения направления ветра за время протекания аварии. Для корректного решения задачи с учетом сложной конфигурации вторичного атмосферного источника последний разбивается на совокупность одиночных «простых» — объемных или площадных источников с заданной интенсивностью выброса. Это позволяет провести расчет суммарного поля концентраций от скомбинированного таким образом вторичного атмосферного источника по существующим методикам, заменив его суперпозицией одиночных источников.

Рис. 3.31. Распределение концентраций хлористого водорода в секторе распространения примесей при подрыве 3-х ракет РСД-10, 1,2 — расчет, 0 — экспериментальные данные при ликвидации 22.03.1988 г. в слабоустойчивой атмосфере.

В случае, когда облако, образовавшееся при кратковременном выбросе, перемещается по траектории движения воздушных масс, переходя из зоны одной категории устойчивости атмосферы в другую, представляется возможным использование следующего методического приема. Сечение поля концентраций облака, полученное при одних метеоусловиях, трансформируется во вторичный атмосферный источник с разбиением на единичные источники. Расчет концентраций от совокупности выбросов этих источников производится уже при других метеоусловиях (например, по методике МАГАТЭ [81]).

Более 800 000 книг и аудиокниг! 📚

Получи 2 месяца Литрес Подписки в подарок и наслаждайся неограниченным чтением

ПОЛУЧИТЬ ПОДАРОК