4.1. Струи

Выбросы химических и радиоактивных веществ в виде струй являются наиболее распространенными источниками загрязнений природной среды. Такие выбросы возникают практически на любом промышленном предприятии или заводе, при работе транспорта и в быту. Широко распространенными являются аварийные струйные выбросы. Знание газодинамических, геометрических и концентрационных характеристик струй является необходимым условием для составления правильного прогноза возможного загрязнения окружающей среды при их истечении.

Поведение струи газа, истекающей в спокойную среду или спутный поток, изучалось в течение длительного времени, в результате чего были созданы разнообразные методы расчета газодинамических параметров струйных течений. Отличия в условиях истечения струй, а также в параметрах среды, в которых они реализуются, приводит к тому, что разработать единую математическую модель, охватывающую все встречающиеся на практике случаи, крайне затруднительно. Как правило, математические модели и инженерные методы расчета охватывают сравнительно узкие классы струйных течений, при этом в них широко используются эмпирические зависимости. Применение эмпирических соотношений позволяет получить хорошее согласие между расчетными и экспериментальными значениями, однако их обобщение на другие типы струйных течений затруднительно или вообще невозможно.

Наиболее многочисленную группу математических моделей и инженерных методов расчета составляют работы, связанные с осесимметричными газовыми струями в спокойной среде или спутном газовом потоке. Среди этих работ следует выделить монографии Г.Н. Абрамовича [91, 92], Вулиса А.С. [93, 94], Голубева В.А. [95], Шетца Дж. [97] и Гиневского А.С. [99].

Изучению затопленых струй посвящено большое количество работ [95–99]. Однако они, как правило, используют не всегда корректно полученные уравнения относительно одного или двух макроскопических параметров среды (например, массы примеси и (или) количества движения). Кроме того, их авторы в большинстве исследований ограничиваются рассмотрением течений в лабораторных условиях и не учитывают изменений макроскопических характеристик среды с высотой. Как показывает опыт, неучет реальных метеоусловий может привести к существенным ошибкам в вычислении динамических, тепловых и геометрических характеристик струи.

Целесообразно уравнения изменения основных характеристик установившегося струйного потока усреднять по его поперечному сечению с учетом уравнения статики атмосферы. При этом используется эйлеров подход рассмотрения поточных характеристик газа втекающего и вытекающего из газового объема, ограниченного контрольными сечениями, отстоящими на некотором расстоянии А/ друг от друга. Устремляя А/ к нулю, приходим к дифференциальным уравнениям, которые легко решаются при помощи ЭВМ [8, 73].

Задание равномерного по сечению струи распределения газодинамических характеристик позволяет, не теряя строгости рассмотрения, упростить задачу и свести ее к квазиодномерной. Турбулентное расширение газа струи учитывается интегрально введением понятия вовлечения окружающей среды. В результате такого рассмотрения получаются дифференциальные уравнения для определения скорости газа струи V, угла наклона оси струи к горизонту ?, концентрации i — ой примеси Сi, статической энтальпии единицы массы газа h.

Они имеют следующий вид:

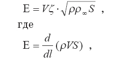
Эти уравнения замыкаются соотношением для вовлечения Е [96]

уравнением статики атмосферы

связывающим статическое давление атмосферного воздуха Р? с углом наклона ? и продольной координатой l струйного течения, а также уравнением состояния газа

Более 800 000 книг и аудиокниг! 📚

Получи 2 месяца Литрес Подписки в подарок и наслаждайся неограниченным чтением

ПОЛУЧИТЬ ПОДАРОК