3.9. Выбросы в стратифицированной атмосфере

Антропогенные выбросы, за исключением терминов ядерных взрывов, обладают сравнительно небольшой энергией. Их подъем и диффузия происходят в нижней части тропосферы — пограничном слое Земли.

Полуторакилометровый атмосферный пограничный слой имеет в вертикальном направлении слоистую структуру. Причиной этого служат конвективные движения больших масс воздуха, связанные с неравномерным нагревом и теплопередачей поверхности земли. Практически беспрерывно меняются в погранслое по координате Z такие характеристики атмосферного воздуха как его влажность, температура, скорость и плотность. В горизонтальном направлении эти параметры меняются в сотни раз медленнее. Поэтому в непосредственной окрестности места образования выброса их изменением по х и по у можно пренебречь.

Внутри пограничного слоя атмосферы характерным является падение температуры с высотой (в среднем на 6,5° на 1 км). Однако в отдельные временные промежутки, от нескольких минут до многих часов наблюдаются колебания осредненных значений температуры и плотности атмосферного воздуха по высоте (стратификация). В общем случае газообразный выброс, возникающий на некоторой высоте Zобр, имеет начальную температуру выше температуры окружающей среды, при подъеме в атмосфере будет последовательно проходить отдельные слои (приземный, пограничный, тропосферный и т. д.), пока не потеряет свой динамической индивидуальности. Дальнейшее распространение его вещества будет происходить под действием диффузии в сносящем ветром потоке и подъема при наличии перегрева его вещества до уровня стабилизации. Рассмотрим эволюцию газообразных выбросов в стратифицированной атмосфере [133,152].

Различимость кратковременного выброса в атмосферном воздухе

При отсутствии инверсий температуры в пограничном слое земли выброс нагретого газа всегда теплее окружающего воздуха. Поэтому он должен был бы подниматься не только до верхней границы погранслоя, а значительно выше — теоретически до бесконечности.

Однако из повседневной практики известно, что подъем газообразных выбросов, связанных с деятельностью человека, весьма незначителен. Объясняется это воздействием турбулентных пульсаций атмосферного воздуха, «растаскивающих» выброс на отдельные фрагменты и таким образом разрушающим его. Вещество выброса перераспределяется отдельными вихрями атмосферного воздуха и распространяется по законам атмосферной диффузии.

Таким образом, критерием существования газообразного выброса как целого в атмосфере является условие его динамической различимости на уровне турбулентности атмосферы. Так как турбулентность атмосферы характеризуется энергией ее пульсационного движения Е?, то критерий существования выброса может быть записан так:

где р, р — плотность газа выброса и окружающего воздуха;

V,V?e — скорость центра массы кратковременного выброса (скорость газа струи в случае струйного выброса) и проекция скорости сносящего ветрового потока на направление движения выброса.

Критерий (3.71) означает, что выброс различим на фоне турбулентности атмосферы, если энергия его относительного движения превышает энергию турбулентных пульсаций окружающей среды.

Преодоление выбросом инверсионного слоя.

Рассмотрим общий случай состояния атмосферного воздуха около земли. Ему соответствует наличие инверсионного слоя.

На Рис. 3.16 и 3.17 иллюстрируется прохождение выбросом слоя инверсии температуры толщиной ?Z = Z3 — Z1,

где — нижняя и верхняя его высоты;

Z0,Zвыбр — уровень поверхности земли и высота

сформированного выброса.

На высоте Z2 внутри слоя выполняется условие равенства температур и плотностей газа выброса и окружающего воздуха. На больших высотах газ выброса, расширяющийся квазиадиабатически, будет холоднее окружающего воздуха, и только на высотах Z > Z4 вне инверсивного слоя температура выброса становится выше температуры окружающей среды.

При ?Z > 0 и Z1 > Z0 инверсия приподнятая.

при Z1 = Z0 и ?Z > 0 реализуется случай приземной инверсии;

случай ?Z = 0 соответствует отсутствию инверсий.

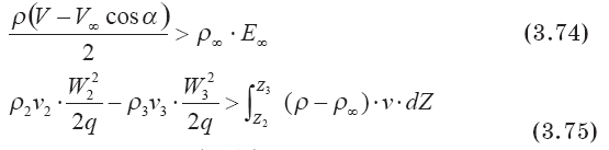
Для получения критерия преодоления выбросом слоя инверсии воспользуемся энергетическим соотношением. В общем случае работа сил плавучести на некотором интервале высот AZ равна изменению кинетической энергии выброса на этом интервале, т. е.

Здесь

? — объем выброса;

р — ускорение земного тяготения;

E?z, Е0 — кинетические энергии выброса на соответствующих высотных уровнях.

При наличии инверсионного слоя его задерживающее влияние начинает проявляться с высоты Z2 выравнивания плотностей (температур) в выбросе и вне его. Поэтому естественно приравнять работу сил плавучести в интервале (Z3-Z2) изменению энергии выброса в этом интервале, т. е.

(3.72)

где р, р?23 — текущее значение плотности газа, плотности окружающего воздуха, а также плотности газа выброса на высотах Z2 и Zs, соответственно;

W2 и Ws — вертикальные составляющие скорости выброса на этих высотах, W = V · sin ?;

? — угол наклона вектора V к горизонту. Проанализируем уравнение (3.72). Если левая часть этого соотношения больше правой, что соответствует превышению работы сил торможения выброса в задерживающем слое изменению его кинетической энергии, то выброс как динамически целый объект остановится внутри задерживающего слоя на высоте Zg. Высота остановки его динамического подъема определится из условия (W3= 0):

Если левая часть соотношения (3.72) меньше правой, (энергия выброса больше работы сил торможения), то выброс пробивает инверсионный слой и после его преодоления поднимается до уровня стабилизации, определяемого пульсациями температуры атмосферного воздуха.

Проведенный анализ движения кратковременных выбросов в атмосфере позволяет сделать следующее утверждение. Для преодоления выбросом инверсионного задерживающего слоя необходимо и достаточно выполнение следующих условий:

Условие (3.74) является необходимым, а условие (3.75) — достаточным. На практике возможно наличие нескольких слоев инверсии температуры.

Рис. 3.16. Схема прохождения струей инверсивного задерживающего слоя.

Рис. 3.17. Схема изменений температуры выброса и температуры окружающего воздуха по высотной координате, поясняющая прохождение выбросом слоя инверсии температуры.

Рис. 3.18. Траектории выбросов при различных условиях прохождения инверсионного слоя.

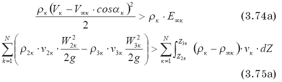
Критерий преодоления их выбросом приобретает следующий вид:

В этих соотношениях:

N — количество инверсионных задерживающих слоев; индекс «к» относится к параметрам соответствующего слоя.

Критерии подъема выбросов

Получим теперь критерий высоты подъема динамически целого выброса в стратифицированной атмосфере. Высота Z2, являющаяся нижним пределом в интеграле левой части соотношения (3.72), определяется из условия равенства плотности газа выброса плотности воздуха окружающей среды.

При движении выброса по инерции в части задерживающего слоя, где температура воздуха выше температуры газа выброса, охладившегося при адиабатическом расширении, в него посредством механизма вовлечения будет поступать более теплый воздух. В результате газ выброса нагреется и будет иметь плотность рд, меньшую плотности р2 на уровне Z2. Поэтому условие для определения высоты поднимающегося объема в виде

р — р2 =0 (3.76)

не верно. Оно не отражает физической картины явления, игнорируя инерционность выброса и его способность преодолеть инверсионный слой. Даже при мощной инверсии, которую выброс преодолеть не может, такой подход может существенно занизить высоту его подъема.

Траектория при задании критерия (3.74) получается монотонной в отличие от траектории выброса при использовании критерия (3.76), которая имеет характер затухающих колебаний (см. Рис. 3.18).

Другой критерий высоты подъема выброса, как той точки, где вертикальная составляющая его скорости равна нулю

W = V ? sin ? = 0

справедлив лишь для нетурбулизованной атмосферы. Он реализуется асимптотически при подъеме выброса и не годится при решении задачи на ЭВМ. Его использование чрезвычайно удлиняет процесс вычислений и накапливает машинные ошибки. При учете турбулентных пульсаций атмосферного воздуха может быть использован критерий высоты подъема выброса при равенстве вертикальной составляющей скорости выброса среднеквадратичному значению вертикальной составляющей пульсаций атмосферы

Однако при этом остается открытым вопрос о нахождении .

Если известна траектория движения выброса, то его подъем определяется той точкой, в которой угол между касательной к оси траектории и горизонталью достигает сравнительно небольшого значения. До настоящего времени сохраняется неопределенность в выборе степени горизонтальности выброса, т. е. величины этого угла. В работах [157,158] этот угол считают равным 10°.

Очевидно наилучшим критерием высоты подъема выброса, отражающим физическую сущность неразличимости динамических характеристик выброса в окружающей среде, является энергетический критерий. Он формулируется так.

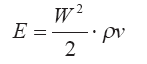
Выброс теряет свою динамическую индивидуальность в окружающей среде, когда избыточная энергия его поступательного движения становится равной энергии турбулентных пульсаций атмосферного воздуха.

Сравниваются энергии единичных объемов выброса и окружающей среды. Получаем:

При наличии инверсионного слоя к этому условию следует добавить условие остановки выброса в задерживающем слое.

Следует отметить, что тормозит движение выброса не только часть инверсионного слоя AZ = (Z3 — Z1), но и более высокие воздушные слои, где температура окружающего воздуха еще превышает температуру выброса.

На графике Рис. 3.17. этот слой имеет толщину AZ = Z4 — Z3. Подъем выброса при наличии инверсии определяется уравнением (3.73). Запишем его в несколько иной форме:

Искомая высота подъема в этом уравнении является верхним пределом интегрирования.

Практически процесс определения высоты подъема динамически индивидуального выброса при наличии инверсий в атмосфере сводится к следующему:

1) На каждом текущем значении высоты в процессе подъема выброса проверяется выполнение соотношения (3.77). Если это условие выполняется на какой-то высоте, то она и служит высотой подъема выброса.

2) Если условие (3.77) не выполняется при подходе к инверсии и внутри нее (левая часть (3.77) больше правой), то проверяют выполнение соотношения (3.78). Если условие (3.78) выполняется на некоторой высоте внутри задерживающего слоя, то соответствующая высота является высотой подъема выброса.

3) Если условия (3.77) и (3.78) не выполнены при подъеме выброса до задерживающего слоя и внутри него, то выброс преодолевает этот слой. Его подъем выше этого слоя определяется равенством энергии подъема единицы объема выброса и энергии турбулентности единичного объема окружающей среды, т. е. соотношением (3.77).

Стационарные выбросы формируются в виде струй большой протяженности. Продукты выброса последовательно проходят вдоль направления движения газа в сторону возрастающей высотной координаты Z. В случае стационарного выброса соотношение (3.74) как и в случае кратковременного выброса является необходимым условием преодоления выбросом задерживающего инверсионного слоя [153].

При его выполнении текущие значения газодинамических величин отличаются от соответствующих характеристик окружающей среды, а единичный объем выброса не теряет своей индивидуальности по сравнению с аналогичным объемом окружающей среды.

Для получения достаточного условия преодоления стационарным выбросом инверсионного задерживающего слоя рассмотрим ту же схему (Рис. 3.17) изменений температуры выброса и температуры окружающей среды по высотной координате.

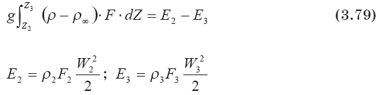
Приравняем работу сил плавучести горизонтальных сечений единичной толщины струи в интервале высот инверсии AZ = Z3 — Z2 изменению кинетической энергии этих сечений на нижней и верхней границах инверсии.

Получаем

где F,F2,F3 — текущее значение площади горизонтального сечения струи, а также значения этой площади в сечениях Z2 и Z3, соответственно; W = V ? sin ? — вертикальная составляющая осредненной по сечению скорости газа струи.

Значение F может быть связано с площадью нормального поперечного сечения струи и углом ее наклона к горизонту соотношения:

уравнение (3.79) при подстановке в него соотношения (3.80) приобретает следующий вид:

Достаточное условие преодоления струей инверсионного слоя толщиной ?Z запишется так:

Динамическая высота подъема струи Zd внутри задерживающего слоя ?Z=Z4-Z2 определится из соотношения (W3=0):

Процедура определения высоты подъема струйного выброса в общем случае его движения в стратифицированной атмосфере точно такая же, как и для кратковременного выброса. Только вместо уравнения (3.78) надо использовать уравнение (3.82).

Проведенный выше анализ показывает, что подъем выбросов в реальной атмосфере будет обязательно прерван на некоторой высоте.

Более 800 000 книг и аудиокниг! 📚

Получи 2 месяца Литрес Подписки в подарок и наслаждайся неограниченным чтением

ПОЛУЧИТЬ ПОДАРОК