3.5. Аэродинамическое сопротивление движению в потоке

При решении задач подъема в атмосфере неизотермических струй и клубов загрязняющих примесей, возникающих при штатной работе и авариях на промышленных объектах, необходимо знать некоторые интегральные характеристики выброса и ветрового потока.

В частности, в уравнения движения струи или клуба в сносящем потоке входят коэффициент вовлечения окружающей среды в выброс g и параметр, характеризующий отклонение струйного потока как целого от ветра — Сх.

Рассмотрим сопротивление струи в ветровом потоке, определяемое коэффициентом аэродинамического сопротивления Сх.

В литературных источниках существуют подходы, когда газообразное «тело» струи заменяют эквивалентным твердым цилиндром, обладающим соответствующим коэффициентом Сх, либо считают, что на самом деле из-за вовлечения в струю сносящего потока ее коэффициент Сх будет отличаться от Сх соответствующего твердого тела, т. к. ветровой поток передает струе свой импульс.

Для выяснения физического смысла этого параметра и его числовых значений рассмотрим условие динамического равновесия контрольного газообразного элемента струи ?? в ветровом потоке в проекции на ось х.

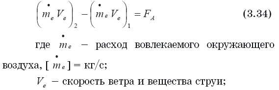
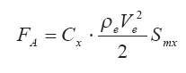
Объем ?? ограничен сечениями «1» и «2» (Рис. 3.7), имеет длину ?l и радиус R. Приравниваем изменение количества движения рассматриваемого элемента ?? импульсу действующей на него силы аэродинамического сопротивления FA. Получаем за интервал времени:

индексы «1» и «2» относятся к параметрам в соответствующих сечениях; индекс «е» к характеристикам окружающей среды;

?,?е — плотность струи и наружного воздуха;

Sm — площадь миделева сечения контрольного газового элемента.

Подставим в (3.34) вместо FA его выражение и разделим обе части этого уравнения на ?l. Получим:

Выражение для площади нормально ориентированного к потоку миделева сечения элемента ?? (Рис. 3.7) Smx может быть записано в следующем виде:

Smx= 2R ?l • sin ? + ?s (3.36)

где R — радиус струи; ?s — площадь нормальных потоку ветра миделевых поперечных сечений торцев элемента Аг за счет их наклона к вектору Ve; ? — угол наклона продольной оси газового объема ?? к горизонту.

Струя, истекающая в носящий ветровой поток реальной атмосферы под некоторым начальным углом, как правило, не достигает горизонтальной ориентации из-за деструктивного воздействия турбулентных молей. Текущие значения угла наклона струи ограничены некоторыми значениями ?0 и ?Р. При ? = ?Р, зависящем от турбулизации вещества струи и сносящего потока, начинается разрушение струйного течения; при ? = ?/2 выражение для коэффициента Сх имеет особенность и математически неопределимо. Таким образом, область определения ? находится в интервале

?Р ? ? ? ?/2 — ?0 (3.37)

Приведенные оценки показывают, что и при выполнении соотношения (3.37)

Из этой формулы видно, что Сх пропорционален ? и ?, т. е. сопротивление струи увеличивается с турбулизацией окружающей среды и ростом плотности газа.

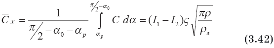
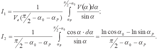
Получим среднее значение аэродинамического сопротивления струи в ветровом потоке как целого, для чего усредним (3.41) в диапазоне изменений угла ?:

Рис. 3.7. Схема обтекания контрольного газообразного элемента струи

где

Знание V(a) из расчета динамики струи позволяет вычислить интеграл I1 и, подставляя его значение и значение I2 в (3.42), получить осредненное значение коэффициента аэродинамического сопротивления.

Более 800 000 книг и аудиокниг! 📚

Получи 2 месяца Литрес Подписки в подарок и наслаждайся неограниченным чтением

ПОЛУЧИТЬ ПОДАРОК