3.7. Измерения геометрических и динамических характеристик выбросов

Исследование физических процессов при авариях и их последствий в различных средах, как и во многих других областях науки и практики, приводит к необходимости построения моделей различных процессов и явлений, отражающих реальность. Эти задачи настолько сложны, что для успешного их решения надо умело сочетать теоретические представления в данной области знаний с использованием экспериментальных или статистических данных, относящихся к конкретному явлению.

В области протекания процессов горения детонации и взрыва в настоящее время глубоко разработаны теоретические основы этих явлений [60, 61, 77, 80, 82, 103], заранее известна структура модели и основные зависимости. Экспериментальные данные могут служить здесь лишь для определения отдельных уточняющих параметров модели.

Совершенно иная картина в области изучения формирования и развития кратковременных выбросов в реальной атмосфере. В этой области теоретические знания далеки от точных количественных представлений, а немногочисленные эксперименты [13, 33, 48–52, 133], проведенные в узких диапазонах изменений определяющих параметров, как правило, не дают общей картины явления. Следует отметить, что и в тех областях, где сравнительно хорошо разработана количественная теория (например, подъем термина в стратифицированной атмосфере), исследователь часто сталкивается с задачами, в которых по экспериментальным или статистическим данным требуется не просто определить отдельные параметры модели, но и в существенной мере восстановить общую картину явления, которая заранее может быть ясна лишь в очень грубом приближении или совсем неясна.

К таким задачам относятся, в нашем случае, задачи интерпретации геометрических измерений, когда по данным дальномерных съемок взрывных выбросов требуется определить картину формирования первичного газопылевого выброса, а также построить модель разлета твердой фазы взрыва из источника и подъема перегретого газовоздушного объема, насыщенного твердой фазой различного состава и дисперсности.

Сложная задача построения модели явления в целом, как правило, может быть разложена на этапы и фазы, на каждой из которых с успехом могут быть использованы формализованные методы обработки данных. Такими задачами являются задачи восстановления зависимостей. При решении задачи восстановления неизвестной зависимости по эмпирическим данным первым желанием бывает [84] искать зависимость как можно более общего вида, привлекая как можно большее число аргументов. Однако такой путь неизбежно сталкивается с ограниченностью экспериментального или статистического материала, которым располагает исследователь и ограниченностью вычислительных возможностей. Это противоречие разрешается при использовании структурной минимизации задачи. Она состоит в поиске вначале предельно грубой модели, а затем эта модель постепенно усложняется до достижения оптимального соотношения между точностью аппроксимации эмпирического материала и надежностью результата в условиях ограниченного объема данных.

Важным этапом построения математических моделей физического явления является его верификация, использующая данные экспериментов.

Измерения выбросов загрязняющих веществ в реальной атмосфере, кроме организационных и финансовых затрат, имеет ряд трудностей, связанных с методическими вопросами. Сравнение результатов измерений геометрических характеристик формирующихся в атмосфере объемов, полученных разными методами, является не всегда корректным и может привести к большим различиям.

В первую очередь это связано с тем, что при проведении натурных опытов с использованием измерительных устройств теодолитного типа определяются горизонтальные и вертикальные углы при наведении на граничные контуры выбросов. При этом могут возникнуть большие погрешности, связанные с частичным затенением одних частей объема другими.

Рисунок 3.11 иллюстрирует и частично объясняет противоречивость и нестыковку многих литературных данных о размерах формирующихся в атмосфере выбросов от эквивалентных источников. Кроме неизвестных различий в турбулентной активности воздуха при различных замерах геометрии выбросов существенное значение имеет и фактор места регистрации объекта. Он проявляется в форме зависимости полученных результатов от удаления измерительной аппаратуры от объекта и от его абсолютных размеров.

Из Рис. 3.11 видно, что, например, высотные размеры выбросов измеряемые в точках А и В, дают существенно разные результаты ZAА2 — НА1 и ZB— НВ2 — Нт, причем ZА ? Zв ? Z,

где ZА и Zв — высоты выбросов при замерах в соответствующих точках; Z — истинный высотный его размер.

Такая же ситуация возникает при измерениях горизонтального размера выброса X.

Наряду с теодолитными замерами в некоторых натурных экспериментах проводятся самолетные и вертолетные зондировки, фотографирования дымовых выбросов и стереофотограмметрическая съемка [157].

Отметим, что измерения, производимые с летательных аппаратов, также не лишены недостатков. Самые существенные из них — влияние воздушных потоков на выброс и временной сдвиг в процессе измерения.

Рис. 3.11. Схема зависимостей визуальных размеров выброса от места измерений на поверхности земли: 1 — выброс; А, В — точки размещения измерительной аппаратуры; X, Z — истинные продольный и высотный размеры выброса.

Стереофотограмметрия весьма трудоемка и дорога, а ее результаты часто не оправдывают возложенных надежд.

Ошибки в определении характеристик выбросов

Основными натурными измерениями характеристик атмосферных выбросов, имеющими научный интерес в части изучения их динамики, являются фото— и киносъемки, а также регистрации геометрических размеров выбросов с помощью дальномера или высотомера. Такие измерения обычно проводятся с одновременным измерением метеорологических характеристик приземного слоя атмосферного воздуха, и после статистической обработки они могут иметь представительный характер.

Под измерением понимается [155] сравнение измеряемой величины с другой величиной, принятой за единицу измерения. При кинофоторегистрации выбросов и их измерении дальномером или высотомером определяемыми характеристиками выбросов являются угловые значения и удаления верхней и нижней, а также боковых границ наблюдаемого объема. Эти характеристики могут быть сравнены с единицей измерения длины и угла при помощи измерительных приборов, проградуированных в соответствующих единицах. Такие измерения изучаемых объектов могут отсчитываться по шкале прибора. Они называются прямыми.

При косвенных измерениях измеряемая величина вычисляется при использовании результатов прямых измерений других величин, которые связаны с измеряемой величиной определенной функциональной зависимостью. Примерами косвенных измерений при проведении работ по изучению атмосферных выбросов могут служить измерения высот верхней и нижней границ объема, его поперечного размера, координат центра масс в системе координат, связанной с точкой взрыва или пожара, используя линейные и угловые координаты соответствующих частей взрывного выброса. Динамические характеристики изучаемого объема определяются при использовании измерений длин пройденного пути и соответствующих промежутков времени.

Известно, что при измерении любой величины никогда не получают истинного значения этой величины — результат измерения дает лишь приближенное значение. Это объясняется как принципиально ограниченной возможностью точности измерения, так и природой самих измеряемых объектов.

Погрешности результата измерений определяются разностью измеряемой и истинной величин и зависят от многих причин. Погрешности (ошибки) разделяются на систематические и случайные. Систематические погрешности связаны с ограниченной точностью изготовления прибора (погрешностью прибора), неправильным выбором метода измерения, неправильной установкой прибора. Они также появляются, если пренебречь действием некоторых внешних факторов.

Таким фактором может быть неучет сноса ветром облака загрязняющих веществ при определении его координат в горизонтальной плоскости и пренебрежение высотным разворотом ветра при определении горизонтального размера облака. Неправильная установка начальных углов дальномера в горизонтальной и вертикальной плоскостях приводит к появлению систематических ошибок в измерениях линейных и угловых размеров выброса.

Таким образом, систематические погрешности вызываются вполне определенными причинами, их величина при всех повторных измерениях либо остается постоянной (как в случаях округления или смещения нуля шкалы прибора и т. п.), либо изменяется по определенному закону (в случае изменения ветра с высотой). Так как причины, вызывающие систематические погрешности, в большинстве случаев известны, то эти погрешности, в принципе, могут быть исключены изменением метода измерений, введением поправок к показаниям приборов, а также учетом систематического влияния внешних факторов.

Случайные погрешности вызываются большим числом случайных причин, действие которых на каждое измерение различно и не может быть заранее учтено. Сюда могут быть отнесено различие механических и термодинамических свойств взрываемых или сгорающих изделий, наличие флуктуации метеорологических параметров за время проведения серии экспериментов, различие состава и прочностных характеристик грунта в месте проведения работ.

Кроме того, ошибки случайного характера обуславливаются качеством и чувствительностью фотоматериалов и используемых кино— фотокамер. Появление случайных ошибок связано с техникой запечатления и увеличения изображения на фотопленке и фотобумаге. На точность определения пространственных координат точек облака загрязнений влияют ошибки измерения снимков и ошибки определения элементов внутреннего и внешнего ориентирования снимков [156]. В настоящее время ошибки в снятии плоских координат X, Z соизмеримы с разрешающей способностью фотоматериалов [157], поэтому дальнейшее повышение точности измерений снимков будет бесполезным, если не повысить разрешающую способность фотоматериалов и не снизить их деформацию.

Для того, чтобы правильно истолковать и использовать полученные в экспериментах результаты, необходимо знание достоверности проведенных расчетов, выявить ошибки, которые могут повлиять на точность вычислений, оценить погрешность полученного результата.

Источниками погрешностей и сшибок при вычислении могут быть недостаточно точное отображение реальных явлений их математической моделью (погрешности модели), приближенное знание величин, входящих в условие задачи (погрешности исходных данных), применение приближенных расчетных формул вместо точных (методические погрешности), особенности работы операционного устройства вычислительной машины (операционные погрешности). Дадим краткое описание этих погрешностей.

Погрешности модели.

Известно, что совокупность факторов реального физического явления невозможно в полной мере отразить в его математической модели. Чем больше факторов учитывается, тем сложнее анализ явления и расчет по его математической модели. Поэтому целесообразно принять различные условия и допущения, упрощающие решение задачи, но не искажающие ее физическое содержание. Необходимо помнить, что сколь бы ни было точным математическое решение задачи, оно не может быть точнее тех приближенных предпосылок, на которых основано.

Основные предпосылки при решении задачи формирования и движения антропогенных выбросов в атмосфере являются следующие:

— выброс представляется в виде правильного геометрического тела. В случае взрывного выброса — это полусфера. В случае газообразного облака — это либо сфера, либо эллипсоид;

— твердая фаза выброса представляется в виде частиц сферической формы;

— вещество выброса считается равномерно распределенным по его объему, все его газодинамические характеристики осреднены по объему, а центр приложения массовых сил совпадает с геометрическим центром выброса.

Погрешности исходных данных.

При проведении экспериментов, обработке статистических данных и округлении результатов предыдущих расчетов приходится работать с приближенными числами. Присущие им погрешности обуславливают погрешности результата, причем для каждой операций по-своему. Анализируя точность задания исходных данных, можно сделать заключение о возможней точности результата вычислений.

Основными исходными данными задачи изучения атмосферных выбросов являются характеристика аварийного объекта и метео данные. Массовые характеристики горящих объектов или взрываемых изделий могут быть определены с точностью до 4^-5%; термодинамические и теплофизические характеристики продуктов горения или топлив — с точностью до 10 %. Точность линейных размеров + 0,1 м. Метеорологические параметры определяются со следующей погрешностью:

— плотность воздуха + 0,01 кг/мЗ;

— скорость ветра ± 1 м/с;

— направление ветра I град;

— градиенты скорости ветра и температуры атмосферного воздуха ± 0,01.

Методические погрешности

Методические погрешности при решении задачи возникают, при использовании приближенных формул вместо точных. Этот прием используется при замене функций их разложением в ряды (при интерполяции скорости ветра и температуры атмосферного воздуха в виде полиномов по Z), замене производной — разностью (при замене дифференциальных уравнений — конечноразностными), при заменах интегралов — суммами и т. д. Используя приближенные формулы, применяемые многократно вместо сложной точной формулы, удается в процессе последовательных приближений найти эффективное решение задачи. При этом всегда надо знать диапазон аргумента, для которого они применимы, и точность вычисления по ним. В общем случае при вычислениях на ЭВМ погрешность метода целесообразно выбирать такой, чтобы она была в несколько раз меньше погрешности исходных данных.

Погрешности измерений дальномером

При наблюдении с поверхности земли геометрических характеристик, газообразных аварийных выбросов, а также скоростей их перемещения в пространстве как целого из-за погрешностей визуального определения границ их объемов могут быть допущены существенные ошибки в определении указанных величин. Подобные ошибки неизбежно появляются из-за кучевой неоднородной структуры поверхности газообразных выбросов, когда их отдельные выступающие части заслоняются другими [133, 158, 159].

Оценим ошибки в определении характеристик некоторых модельных выбросов.

Первичный полусферический выброс.

Случай приземного полусферического выброса реализуется в первые мгновения после взрывной аварии. Исследователь, наблюдающий взрывной выброс радиуса R под углом а к горизонту (Рис. 3.12), фиксирует видимый его размер г = R · Cos ?.

Из геометрических построений этого рисунка легко получить для дефекта радиуса следующее выражение

?R = R— г = R(1 — Cos ?)

На графике этого рисунка приводится зависимость относительной ошибки в определении радиуса выброса  от угла ?. Как следует из этого графика  резко увеличивается при увеличении угла наблюдения ? ? 18 ? 20°. Приемлемые (менее 5 %) ошибки будут при ? < 20°.

Сферический выброс.

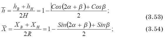
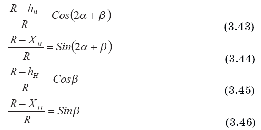
Кратковременный выброс после отрыва от земли хорошо моделируется сферой. Он характеризуется радиусом R, геометрическими координатами центра масс X и (Z+R) (см. Рис. 3.13), а также углами ? и ?. Эти углы определяются видимыми наблюдателю из точки М частями поверхности выброса — дугами К А и КД. Как следует из этого рисунка наблюдатель видит выброс уменьшенным в вертикальном направлении на величину (hB +hH), а в горизонтальном направлении на величину (Хв + Хн). Найдем эти характеристики из геометрических построений рисунка. Из рассмотрения прямоугольников МАО, АВО, СДО и ДОМ находим центральные углы АО В и СОД:

?AОВ = 2? + ?;

?СОД = ?.

Из прямоугольных треугольников АОВ и СОД получаем связь геометрических параметров в виде:

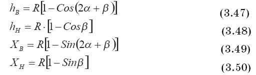
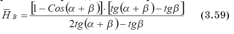
Откуда для наблюдаемых дефектов вертикальных и горизонтальных размеров сферического выброса находим:

Таким образом, вертикальный и горизонтальный видимые размеры сферического приподнятого выброса описываются следующими соотношениями:

Найдем относительные ошибки в визуальном определении геометрических характеристик выброса [133].

Из соотношений (3.47) — (3.50) находим относительную ошибку в определении вертикального  и горизонтального  размеров сферического приподнятого выброса. Получаем:

Рис. 3.12. Зависимость относительной ошибки в определении радиуса первичного выброса от угла наблюдений.

Найдем теперь относительную (относительно геометрической высоты) ошибку в определении верхней границы облака. Из соотношения (3.47) получаем:

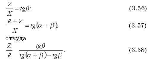
Из прямоугольных треугольников МОЕ находим

Подставив соотношение (3.58) в формулу (3.55), получаем окончательное выражение для относительной ошибки в определении верхней граница сферического приподнятого выброса:

Аналогично находится относительная ошибка в определении нижней границы выброса. Получаем:

На графике рис. 3.14 представлено изменение относительной ошибки в определении вертикального размера приподнятого сферического выброса в зависимости от угла ? для различных полууглов наблюдения ?.

Как следует из этих графиков угол возвышения выброса над местностью ? существенно влияет на величину . Еще большее влияние на ошибку в определении высоты выброса оказывает величина полуугла его наблюдения ?. Для ? > 200 h превышает 20 % для любых значений угла ?.

Рис. 3.13. Схема для расчета ненаблюдаемых с земли и реальных размеров сферического приподнятого выброса.

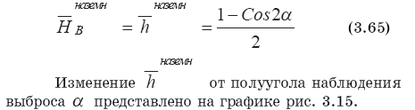
Оптимальное соотношение углов ? и ?, обеспечивающее возможность четкого наблюдения деталей выброса и не более чем десятипроцентную ошибку в определении его высотного размера является ? ? 15° и ? ?10°. Для нахождения видимых геометрических параметров наземного сферического выброса следует в полученных нами выражениях перейти к пределу при ? ? 0. Получаем для дефектов вертикальных видимых размеров следующие выражения, (т. к. tg ? = R / X):

Как следует из формулы (3.62) для наземного выброса его нижняя граница определяется точно.

Видимый вертикальный размер облака Hназемнвид запишется так:

Рис. 3.14. Изменение относительной ошибки в определении вертикального размера приподнятого сферического выброса в зависимости от угла над местностью ? для различных полууглов наблюдения выброса ?.

Рис. 3.15. Изменение относительной ошибки в определении вертикального размера выброса в зависимости от полуугола его наблюдения.

Относительную ошибку в определении вертикального размера облака находим из соотношения

Как видно из анализа соотношения (3.55) при ? ? 0 относительная ошибка в определении верхней границы облака Hназемнв для наземного сферического выброса в точности равна относительной ошибке визуального определения вертикального размера облака, т. е.

Как следует из этого графика при ? > 200 ошибка в определении высоты выброса превосходит 10 % и резко возрастает с увеличением полуугла наблюдения ?. На практике для уменьшения ошибки в определении вертикального размера облака следует его наблюдение вести на относительно больших удалениях.

Более 800 000 книг и аудиокниг! 📚

Получи 2 месяца Литрес Подписки в подарок и наслаждайся неограниченным чтением

ПОЛУЧИТЬ ПОДАРОК