4.7. Ветровой перенос пыли
После аварий на крупных химических и радиационных объектах в окружающую среду может попасть огромное количество загрязняющих веществ в виде частиц в широком диапазоне размеров — от грубодисперсных частиц до мелкодисперсных аэрозолей. Их ветровой перенос приводит к загрязнению больших ареалов радиоактивной или химически активной пылью.
Несмотря на то, что пыль, связанная с деятельностью человека, стала выступать в качестве загрязняющего фактора достаточно давно, систематическое изучение этой проблемы находится еще в начальной стадии [63,64]. Причиной такого положения является, по нашему мнению, как недооценка пыли как важного загрязняющего фактора, так и сложность определения сил, действующих на частицы со стороны воздушного потока, и отсутствие надежных данных о величинах молекулярных сил, препятствующих отрыву частиц от земли и друг от друга.
Вопрос об уносе тяжелых частиц с подстилающей поверхности и их распространении в потоке рассматривался рядом исследователей [86,89,63–68]. Было показано, что если в потоке имеются достаточно тяжелые частицы, то его турбулентная энергия заметно уменьшается из-за затрат на отрыв частиц от подстилающей поверхности и поддержания их во взвешенном состоянии. В этом случае необходимо взаимосвязанно рассматривать распространение частиц в потоке и движение самого потока. Отмечается, что если работа, затрачиваемая потоком на взвешивание частиц, мала, то структура потока практически не меняется из-за наличия в нем частиц. В этом случае распространение частиц в потоке можно рассматривать в рамках диффузионной теории.
В работе [90] предлагается принять гипотезу о том, что при
(w — скорость осаждения частиц, v — динамическая скорость, % — постоянная Кармана) частицы переносятся потоком путем последовательных подскоков и падений. Такой процесс называется сальтацией. Он является основным механизмом переноса частиц, например, во время песчаных бурь.
По современным представлениям [65] частицы в общем случае под действием ветрового потока могут перемещаться тремя способами: качением или скольжением по подстилающей поверхности, скачками и путем перехода во взвешенное состояние. Отрыву частиц от земли практически всегда предшествует стадия скольжения или перекатывания. Этот вид энергии требует наименьших затрат энергии, поэтому транспортирующая способность такого потока является наибольшей. Основная масса частиц переносится скачками.
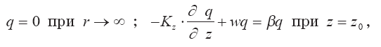
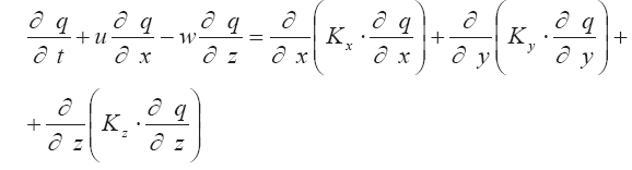
Крупные аварии промышленных объектов, сопровождающиеся пожарами, взрывами и токсическими выбросами, приводят к появлению локальных температурно-ветровых неоднородностей и, как их следствие, к возникновению интенсивных перемещений насыщенных частицами воздушных потоков типа пыльных бурь. Отметим, что образование естественных пыльных бурь происходит при термодинамической неустойчивости атмосферы, обусловленной сильным нагревом почвы или вторжением холодных масс воздуха с атмосферным фронтом. Для возникновения пыльных бурь кроме большой скорости ветра необходима еще его конвергенция [66]. При пыльных бурях, вызванных потоками теплого воздуха, четкого пылевого фронта не образуется. Вертикальные потоки воздуха над нагретой поверхностью вызывают иногда появление пылевых столбов радиусом от 5 до 100 м и высотой до 2 км. При сильном ветре, вызывающем появление пылевой бури, перенос мелких частиц в виде взвеси составляет от 3 до 40 % от величины суммарного переноса. Теория переноса витающего аэрозоля не учитывает взаимодействия твердой и газовой фаз, поскольку концентрация аэрозоля считается пренебрежимо малой. Поэтому величина переноса определяется произведением концентрации пассивной примеси на скорость ветра. В случае распространения консервативной примеси с концентрацией q полуэмпирическое уравнение турбулентной диффузии имеет следующий вид [65,67]:
где u — скорость ветра; w — скорость седиментации частиц; Кх, Ку, Кz — коэффициенты турбулентной диффузии по осям координат.
В качестве граничных условий на бесконечности полагают концентрацию примеси равной нулю, и на высоте шероховатости z0 задают величину вертикального потока. Они записываются так:
где ? — некоторый коэффициент, характеризующий взаимодействие пыли с подстилающей поверхностью; 
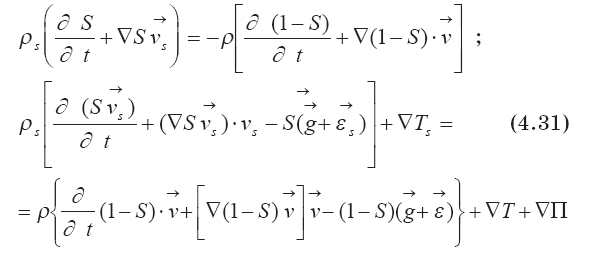
Для описания движения грубодисперсных аэрозолей используют [68,69] подходы двухфазных турбулентных потоков, учитывающих взаимное влияние фаз. Однако необходимо отметить, что для разрешимости системы уравнений необходимо ввести дополнительные предположения. При подобных подходах предполагается несжимаемость среды и учитываются возможные межфазовые переходы типа сублимации. Уравнения неразрывности и сохранения количества движения газовой и твердой фаз в предположении, что тензор мгновенных напряжений внутри частиц и среды изменяется непрерывно, записываются в следующем виде [65, 69]:
где S — объемная концентрация твердой фазы; v,vs — векторы осредненной скорости среды и твердой фазы относительно земли; ?,?s — массовые плотности среды и частицы; g — ускорение силы тяжести; ?,?s — ускорения негравитационных массовых сил; T, Ts — осредненные тензоры напряжений, вызванных перемешиванием и столкновением твердых и газовых частиц; П — осредненный тензор мгновенных напряжений внутри твердых частиц и среды.
Для решения уравнений (4.31) оценивается порядок отдельных членов в уравнениях и показывается, что влиянием электризации частиц на их подъем в воздухе можно пренебречь по сравнению с гравитационными силами. Кроме того, пренебрегается межфазовыми переходами. Величина Ts опускается из-за невозможности ее определения и для двухфазного потока используется приближенное выражение обобщенного тензора касательных напряжений для однофазной жидкости. Такая вынужденная замена сразу же приводит к расхождению теории с экспериментом в области, где взаимное влияние фаз наиболее выражено, т. е. в зоне больших концентраций у поверхности земли. Формально это влияние проявляется в кажущемся увеличении параметра шероховатости подстилающей поверхности.
Важным фактором в понимании механизма развития движения пылевых образований типа пыльных бурь является обнаруженное и экспериментально подтвержденное распределение частиц по размерам над поверхностью земли. При ветровом переносе пыли крупные частицы сосредотачиваются вблизи поверхности почвы, мелкие поднимаются выше. Поскольку мелкодисперсные частицы поднимаются на большую высоту, они уносятся ветром дальше, что вызывает изменение спектрального состава аэрозоля по мере его удаления от очага пылеобразования. Вертикальный профиль переноса характерен резким убыванием концентрации и потока примеси с высотой.
Более 800 000 книг и аудиокниг! 📚
Получи 2 месяца Литрес Подписки в подарок и наслаждайся неограниченным чтением
ПОЛУЧИТЬ ПОДАРОК